Название: Уровень и качество жизни населения
Вид работы: курсовая работа
Рубрика: Экономика
Размер файла: 67.18 Kb
Скачать файл: referat.me-382114.docx
Краткое описание работы: Теоретические подходы к определению уровня и качества жизни населения, индикаторы их измерения. Показатели уровня и качества жизни населения России: совокупность экономических отношений. Основные направления повышения уровня жизни населения России.
Уровень и качество жизни населения
План
Введение
Глава 1. Теоретические подходы к определению уровня и качества жизни населения
1.1 Понятие уровня и качества жизни населения
1.2 Индикаторы измерения уровня и качества жизни
Глава 2. Основные показатели уровня и качества жизни населения
2.1 Показатели уровня и качества жизни населения России
2.2 Основные направления повышения уровня жизни населения России
Заключение
Список литературы
Введение
В эпоху глобализации и углубления интеграционных процессов, расширения внешнеэкономических связей и различных форм экономического сотрудничества наличие сопоставимой информации является необходимым условием для оценки экономического и социального положения страны в мире. В настоящее время результаты сопоставлений широко используются международными организациями, национальными государственными органами и неправительственными организациями разных стран, журналистами и учеными для аналитических и практических работ.
Уровень жизни занимает центральное место в социально-экономической жизни общества. В цивилизованных странах главная задача государства - это обеспечение достойного уровня и качества жизни населения. В современных преобразованиях рыночной экономики проблема повышения уровня и качества жизни становится очень важной. Именно с социальной функцией политики государства общество связывает всевозрастающие ожидания относительно повышения качества и уровня жизни. От решения данной проблемы во многом зависит направленность и темпы дальнейших преобразований в стране и в конечном счете политическая, а следовательно и экономическая стабильность в обществе. В связи с этим необходимо четко представлять сущность данного понятия, его роли в жизни государства. В последние годы тема стала особенно актуальна, так как вследствие мирового экономического кризиса показатели уровня и качества жизни значительно снизились. Кризис заставил по новому взглянуть на индикаторы и показатели уровня и качества жизни. Очень важно знать от каких показателей зависит качество и уровень жизни, поэтому необходимость теоретического исследования взаимосвязи уровня экономического развития страны и составляющих качества жизни населения предопределяют актуальность моего исследования и его практической значимости.
Изучению вопросов повышения жизненного уровня были посвящены работы многих экономистов. Значительную роль в разработке их методологических основ сыграли труды К. Маркса. Исследованиями в этой области занимались С.Л. Брю, Дж.М. Кейнс, Ф. Котлер, А. Маслоу, С. Фишер и др. Зарубежными авторами разработаны национальные модели уровня жизни, показатели их оценки, механизмы регулирования.
В нашей стране развитие систематических оценок уровня жизни населения принадлежит одному из выдающихся ученых - Вайнштейну
Немалый вклад внесли: Бузляков Н.И., Капустин Е.И., Майер В.Ф., Римашевская Н.М. и др. Отдельно следует отметить исследования Всероссийского центра уровня жизни, проведенные под руководством В.Н. Бобкова. В трудах отечественных авторов нашли отражение проблемы повышения уровня жизни, разработка и классификация индикаторов уровня жизни.
В последние десятилетия смысл, который ученые придают термину "уровень жизни", и вкладываемое в него содержание претерпели серьезные изменения. До недавнего времени специалисты в области измерения уровня жизни располагали всего двумя давно сложившимися, традиционными подходами к решению этой задачи. Оба подхода, как выяснилось, имеют серьезные недостатки, осмысление которых позволило поставить вопрос об идеальном с теоретической точки зрения показателе уровня жизни, т. е ориентире, к которому следует стремиться в прикладных исследованиях и практических измерениях. Существующие разногласия в методологии определения уровня жизни, недостаточно целенаправленный анализ его показателей, высокая социальная цена осуществленных в России экономических реформ обусловливают необходимость тщательного изучения указанных позиций и подтверждают актуальность темы данной курсовой работы.
Основная цель данной работы - проанализировать специфику понятий "уровень жизни" и "качество жизни", изучить наиболее важные показатели и рассмотреть состояние уровня и качества жизни в Российской Федерации.
В связи с этой целью, поставлены основные задачи работы - дать определение понятий уровень жизни и качество жизни, описать индикаторы измерения, раскрыть важность изучения данных понятий, на основе анализа определить современное состояние уровня и качества и качества жизни населения России, а также обозначить основные направления повышения уровня жизни РФ.
Предмет исследования определяется как совокупность экономических отношений, обусловливающих уровень жизни населения. Объектом исследования является уровень жизни населения и влияющие на него условия как определенный срез социально-экономических отношений.
Курсовая работа состоит из 4 глав, введения, заключения, списка литературы и необходимого приложения.
Глава 1. Теоретические подходы к определению уровня и качества жизни населения
1.1 Понятие уровня и качества жизни населения
Понятия "уровень жизни" и "качество жизни" являются предметом изучения многих дисциплин. В современной научной литературе эти понятия трактуются по-разному в зависимости от целей и задач исследования.
Подход с точки зрения производства рассматривает уровень жизни в зависимости от уровня развития производительных сил, структуры и эффективности общественного производства. Так, Н.И. Бузляков отмечает: "… в экономической литературе наиболее распространено представление об уровне жизни как о количестве потребляемых материальных, культурно-бытовых и социальных благ и степени удовлетворения потребностей в них на достигнутой стадии развития производительных сил" [4, с.72].
Несколько иной подход к пониманию уровня жизни населения определяет И.И. Елисеева: "Под уровнем жизни понимаются обеспеченность населения необходимыми материальными благами и услугами, достигнутый уровень их потребления и степень удовлетворения разумных потребностей", "денежная же оценка благ и услуг представляет собой стоимость жизни" [3, с.34].
Директор Всероссийского центра уровня жизни В. Бобков рассматривает уровень жизни с точки зрения потребления: "В современной интерпретации понятием "уровень жизни" характеризуются доходы, людей не как таковые, а выраженное в денежной и условно денежной форме потребление ими разнообразных потребительских комплектов" [12, с.58]
А.Г. Крыжановская дает следующее определение: "Качество жизни - категория, с помощью которой характеризуют существенные обстоятельства жизни населения, определяющие степень достоинства и свободы личности каждого человека". [22, c.273]
Представляется достаточно обоснованным определение уровня жизни в узком и широком смысле.
В узком понимании - через характеристику уровня потребления населения и степени удовлетворения потребностей (изменение доходов, расходов и потребления населением благ и услуг). Потребность можно определить как непосредственное выражение необходимости, которая требует своего удовлетворения, благодаря чему выступает исходной причиной деятельности. Одной из фундаментальных особенностей развития потребностей является их кумулятивный характер роста, а именно: появление новых потребностей не приводит к исчезновению старых. Привычки, вкусы, наклонности и предпочтения человека влияют на формирование различных потребностей. Это влияние носит субъективный характер. Но на формирование потребностей оказывают влияние не только субъективные факторы. В качестве объективного "раздражителя" потребностей выступают различные внешние рычаги, которые могут быть экономическими, социально-психологическими или организационными. В совокупности они составляют объективные факторы формирования потребностей [7, с.43].
Классификация потребностей отличается огромным разнообразием. Многие экономисты предпринимали попытки "разложить по полочкам" все многообразие потребностей людей. Так, выдающийся экономист А. Маршалл отмечает, что потребности можно подразделять на абсолютные и относительные, высшие и низшие, неотложные и могущие быть отложенными, прямые и косвенные, настоящие и будущие и другие. В учебной экономической литературе часто используется деление потребностей на первичные (материальные) и вторичные (духовные) [2, с.32].
При изучении уровня жизни в узком смысле в большинстве случаев речь идет о материальных и важнейших духовных потребностях.
К материальным, как правило, относят потребности в питании, одежде, жилье, предметах быта, транспорте, здоровье и других. К духовным в свою очередь относят потребности в образовании, культурном развитии. Важно подчеркнуть, что практически все потребности имеют материальную основу, то есть требуют материальных затрат, а источником их покрытия является доход. Именно поэтому доход применительно к уровню жизни следует трактовать как потребность и как источник удовлетворения потребностей. Следует заметить тот факт, что выделенная совокупность потребностей может изменяться в соответствии с уровнем социально-экономического развития общества и природными условиями существования человека - одни потребности исключаются из ряда необходимых, другие, напротив, добавляются к их числу. Потребности человека не остаются неизменными; они развиваются по мере эволюции человеческой цивилизации и это касается, прежде всего, духовных потребностей [6, c.23].
Таким образом, в узком смысле слова уровень жизни выражается в количестве и в качестве потребляемых человеком благ и услуг, или, иначе - как отношение уровня доходов населения к стоимости жизни.
В широком понимании уровень жизни представляется через характеристику уровня человеческого развития (состояние здоровья и возможности населения для удовлетворения потребностей) и условий жизнедеятельности населения (состояние среды обитания и безопасности населения). Другими словами, уровень жизни в данном аспекте рассматривается как совокупность реальных социально-экономических условий жизнедеятельности, направленных на удовлетворение материальных и духовных потребностей населения [3, с.33-34].
Уровень жизни существует и используется вместе с целым семейством синонимичных и близких по значению терминов: народное благосостояние, качество жизни и другие.
Прежде всего - это народное благосостояние, наиболее широкое и емкое понятие из этого набора. "Под народным благосостоянием понимается сложный социально-экономический феномен, интегрирующий характеристики уровня, образа и качества жизни населения, каждая из которых представляет лишь некоторый срез единого, но многогранного и объемного общественного организма. В конечном счете, народное благосостояние отражает развитие потребностей людей, состояние и способы их удовлетворения применительно к основным сферам жизнедеятельности: сфере труда, потребления, культуры, репродуктивного поведения, общественно-политической жизни" [14, с.9].
К настоящему времени "народное благосостояние" стало постепенно утрачивать популярность, будучи, во-первых, термином, относящимся к устаревающему словарю централизованной плановой экономики, во-вторых, под влиянием растущей употребимости понятий уровня и качества жизни и, в-третьих, в связи с определенной несовместимостью термина "благосостояние", имеющего позитивный смысловой оттенок, со значительным падением уровня жизни большинства населения страны.
Качество жизни определяется как субъективная оценка степени удовлетворения материальных и духовных потребностей людей. Российские ученые активно обратились к исследованию проблем качества жизни, прежде всего в связи с обострением системного кризиса и углублением социально-экономических противоречий в обществе, что выражается, главным образом, в снижении реальных доходов населения, углублении имущественной дифференциации, росте заболеваемости населения и постепенном сокращении продолжительности его жизни [17, c.57-58].
Качество жизни, следовательно, следует рассматривать как совокупность определенных характеристик жизненно важных для человека сторон, процессов и явлений, отражающих его современное существование, как в аспекте трудовой деятельности, так и в аспекте жизнедеятельности вообще.
Современный экономический словарь определяет термин "качество жизни" как социально-экономическую категорию, представляющую обобщение понятия "уровень жизни" и включающей в себя "не только уровень потребления материальных благ и услуг, но и удовлетворение духовных потребностей, здоровье, продолжительность жизни, условия среды, окружающей человека, душевный комфорт". На наш взгляд, проблема исследования состоит не в том, чтобы к понятию "уровень жизни" добавить понятие "качество жизни", а в том, чтобы при анализе и оценке уровня жизни отразить качество жизни, для чего необходима соответствующая систематика потребностей людей и надлежащая оценка уровня их развития и степени удовлетворения [3, с.47-50].
Необходимо отметить, что качество жизни как категория экономической науки взаимосвязана с такими, близкими по своему происхождению и содержанию понятиями, как образ жизни, стиль жизни, уровень жизни человека.
Образ жизни есть сплав объективных условий и субъективной стороны деятельности людей, выражение, прежде всего, их социально-экономической активности. Образ жизни "ведут", практикуют, он является как бы общей формулой повседневного бытия личности. Другими словами образ жизни - это типичные, практикуемые нормы, поведения людей, способ их повседневной деятельности в сфере труда и быта, в производстве и потреблении как материальных, так и духовных ценностей.
Таким образом, качество жизни отражает степень удовлетворения целого комплекса разнообразных материальных, духовных, интеллектуальных, культурных, эстетических и других потребностей людей.
1.2 Индикаторы измерения уровня и качества жизни
Для определения уровня и качества жизни населения необходимо четко иметь понятие о тех элементах, которые помогают оценить социально-экономическое положение в стране.
Следует не за бывать и том, что эти понятия испытывают воздействие множества факторов.
Интегральными индикаторами измерения уровня жизни являются: реальные доходы на душу населения, реальная заработная плата, поступления доходов от вторичной занятости, от реализации продукции личного подсобного хозяйства, дивидендов (по акциям и облигациям), процентов по вкладам населения, пенсий, пособий, стипендий.
С помощью этих индикаторов изучаются и прогнозируются уровень, динамика и структура доходов из различных источников.
Реальные доходы населения Д р определяются делением общей суммы денежных доходов на индекс потребительских цен:
![]()
где Д Д - общая сумма денежных доходов населения;
- индекс потребительских цен.
Различаются реальные доходы населения без учета услуг и с учетом услуг.
Реальные доходы без учета услуг - часть ВВП, используемая населением для удовлетворения материальных и культурных потребностей.
Реальные доходы с учетом услуг - часть ВВП, используемая населением на потребление и накопление материальных благ и услуг. [3,c.34]
Для характеристики роста (снижения) реальных доходов исчисляются индексы реальных доходов всего населения, а также индексы реальных доходов в разрезе социальных групп.
При исчислении индексов реальных доходов должна быть обеспечена сопоставимость цен; для этого при расчетах учитывается изменение цен за сравнимый период - индекс потребительских цен.
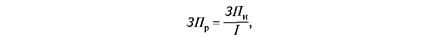
Реальная заработная плата работников - составная часть реальных доходов (с учетом услуг).
Она определяется путем деления номинальной (начисленной) заработной платы на индекс потребительских цен на товары и услуги:
![]()
где ЗП р - реальная заработная плата,
ЗП Н - номинальная заработная плата;
- индекс потребительских цен.
В политике доходов и заработной платы далеко непоследнее место занимают также индикаторы, характеризующие их дифференциацию.
Дифференциация доходов и заработной платы позволяет оценить происходящие социальные изменения, уровень социальной напряженности и определить характер политики доходов и заработной платы.
Индикаторами дифференциации доходов и заработной платы являются:
распределение населения по уровню среднедушевых доходов - показатель удельного веса или процента населения в тех или иных заданных интервалах среднедушевых денежных доходов;
распределение общего объема денежных доходов по различным группам населения - показатель (в процентах) доли общего объема денежных доходов, которой обладает каждая из 20% -ных (10% -ных) групп населения;
децильный коэффициент дифференциации доходов - соотношение среднедушевых денежных доходов, выше и ниже которых находятся десятые доли наиболее и наименее обеспеченного населения;
коэффициент дифференциации доходов населения по субъектам Федерации - соотношение наибольшего и наименьшего уровня средне-душевых доходов в субъектах Федерации;
коэффициент дифференциации заработной платы - соотношение наибольшего и наименьшего уровней заработной платы между отраслями, регионами, профессиями, внутри отраслей и предприятий и т.д. [4,c.72]
Одними из наиболее распространенных индикаторов дифференциации доходов являются также коэффициент концентрации доходов (индекс Джини) и кривая Лоренца, позволяющие судить о степени удаления от состояния равенства в распределении доходов. Расчет индекса Джини связан с кривой Лоренца.
График неравенства доходов (кривая Лоренца) изображен на рис.4.1

Прямая линия ОА называется линией абсолютного равенства распределения доходов. Она отражает ситуацию, когда 20% людей принадлежат 20% доходов, 40% людей - 40% доходов и т.д. Кривая ОВ показывает долевое распределение доходов по группам семей в действительности.
Усиление неравенства в распределении доходов выражается в изменении конфигурации кривой Лоренца в сторону увеличения ее вогнутости по отношению к линии абсолютного равенства.
Коэффициент концентрации доходов (индекс Джини) представляет собой величину отклонения фактического распределения доходов населения от линии их равномерного распределения. Он определяется отношением площади фигуры, образованной кривой Лоренца и линией абсолютного равенства, к площади всего треугольника ОАС. Величина коэффициента может варьировать от 0 до 1 или от 0 до 100%. Следует отметить что, чем выше значение показателя, тем более неравномерно распределены доходы в обществе.
Для определения общего направления изменений в распределении доходов используется коэффициент направленности процесса стратификации населения - отношение численности населения с доходами ниже прожиточного минимума к численности населения с доходами выше бюджета высокого достатка в расчете на 1 тыс. человек. Динамика коэффициента стратификации характеризует нарастание или снижение поляризации общества.
В России на долю 20% наименее обеспеченных приходится 6% доходов, а на долю 20% наиболее обеспеченных - 47%. Это соотношение близко к среднему по странам. Аналогично распределены доходы, например, в Великобритании, Эстонии, Киргизии. Более низкое соотношение доли доходов 20% наиболее и наименее обеспеченных людей - в Словакии (12% к 31%), Чехии (10% к 37%), Венгрии (9% к 37%). В ряде развивающихся стран это соотношение намного выше - в ЮАР (3% к 63%), Чили (3% к 61%), Мексике (4% к 51%).
Коэффициент Джини в России составляет 38%, что также находится на среднем уровне. Это ниже, чем в ЮАР (58%), Чили (56%) и Мексике (50%), но выше, чем в Венгрии (17%), Словакии (19%), Чехии (26%), Польше (27%).
К частным индикаторам уровня жизни относятся показатели потребления отдельных товаров и услуг - на душу населения, семью, по социальным группам, регионам, - показатели обеспеченности товарами длительного пользования, жильем, коммунально-бытовыми удобствами. Среди них выделяют натуральные и стоимостные индикаторы.
Натуральные индикаторы характеризуют уровень потребления, обеспеченности теми или иными благами. Для того чтобы получить представление об уровне удовлетворения конкретной потребности, может быть использовано несколько показателей. Например, для того чтобы охарактеризовать уровень удовлетворения потребностей в продуктах питания, необходимы данные о количестве потребляемых человеком продуктах и их калорийности, их сопоставление с научно обоснованными нормами.
При этом потребление основных продуктов питания на душу населения определяется с учетом потребления как произведенных в стране, так и импортированных продуктов независимо от вида потребления и способа продажи продуктов населению.
Уровень удовлетворения потребностей в услугах школьного образования характеризуется с помощью данных о доле детей школьного возраста, посещающих школы, численности учащихся в платных и бесплатных школах и обучающихся за границей. Необходимо учитывать также техническое состояние и благоустройство учебных заведений, уровень образования преподавательского состава.
Стоимостные индикаторы отражают затраты на удовлетворение конкретных потребностей и их динамику. Эти индикаторы группируются по видам потребностей, например затраты на питание, оплату жилья, коммунальных услуг, одежду, предметы длительного пользования, отдых, удовлетворение культурных потребностей и т.д.
Общее потребление материальных благ и услуг в стоимостном выражении включает все расходы на приобретение товаров и услуг и денежную оценку потребленных благ собственного производства, например продукции личного подсобного хозяйства. Расчет этого показателя позволяет рассматривать уровень и структуру потребления во взаимосвязи с совокупными доходами населения и дает достаточно полную характеристику удовлетворения его личных потребностей.
К интегральным, обобщающим, индикаторам качества жизни относятся индекс развития человеческого потенциала (индекс человеческого развития), индекс интеллектуального потенциала общества, человеческий капитал на душу населения, коэффициент жизнеспособности населения.
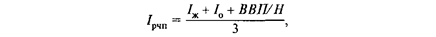
Важнейшим индикатором является индекс развития человеческого потенциала. Однако он очень слабо улавливает качественные характеристики жизни, имеет существенные недочеты и поэтому требует корректировки. Он представляет собой среднеарифметическое трех индексов - ожидаемой средней продолжительности жизни, уровня образования и ВВП на душу населения (в долларах, по паритету покупательной способности):
![]()
где ж - индекс ожидаемой средней продолжительности жизни;
о - индекс уровня образования;
ВВП/Н - валовой внутренний продукт на душу населения.
Он варьируется от 0,252 в Эфиопии до 0,960 в Канаде.
В 90-е гг. значение индекса развития человеческого потенциала в России уменьшилось (с 0,85 до 0,77). При этом в наибольшей мере сократились индексы ВВП на душу населения и ожидаемой средней продолжительности жизни. Близкие к российскому значения этого индекса характерны для некоторых постсоциалистических стран - Белоруссии, Болгарии, Румынии, Литвы. Более высокое значение отмечается в развитых странах - Германии, Нидерландах, Швеции, Финляндии, Японии (свыше 0,9). За ними идут Венгрия, Польша, Словакия, Чехия, Аргентина, Мексика, Чили - свыше 0,8.
Важным индикатором качества жизни является также индекс интеллектуального потенциала общества. Интеллектуальный потенциал общества отражает уровень образования населения и состояния науки в стране. При расчете индекса интеллектуального потенциала учитываются уровень образования взрослого населения, удельный вес студентов в общей численности населения, доля расходов на образование в ВВП, удельный вес занятых в науке и научном обслуживании в общей численности занятых, удельный вес затрат на науку в ВВП.
За период рыночных реформ в России индекс интеллектуального потенциала общества снизился почти наполовину. Это произошло в результате сокращения расходов на науку, снижения образовательного уровня молодого поколения. Эта тенденция сохранится в ближайшие годы.
Индикатором качества жизни является также человеческий капитал на душу населения. Он отражает уровень затрат государства, предприятий и граждан на образование, здравоохранение и другие отрасли социальной сферы в расчете на душу населения. Чем выше уровень экономического развития страны, тем больше уровень человеческого капитала и его удельный вес в структуре всего капитала. Человеческий капитал даже в бедных странах превосходит воспроизводимый, включающий материально-вещественные условия производства.
К индикаторам качества жизни относится и коэффициент жизнеспособности населения. Он характеризует возможности сохранения генофонда, интеллектуального развития населения в условиях проведения социально-экономической политики, осуществляемой в момент обследования в стране. Этот коэффициент измеряется по пятибалльной шкале. По результатам исследования ЮНЕСКО и ВОЗ (Всемирной организации здравоохранения) в 2006 г. коэффициент жизнеспособности населения России был определен в 1,4 балла. Балл ниже 1,5 означает кризисное положение, падение уровня и качества жизни до той черты, за которой начинается вымирание населения.
Коэффициент жизнеспособности населения по разным группам стран имел следующее значение:
5 баллов - не имеет ни одна страна в мире;
4 балла - Швеция, Голландия, Бельгия, Дания;
3 балла - США, Япония, Германия, о. Тайвань, Сингапур, Южная Корея и др.;
2 балла - Китай, Иран, Бразилия, Аргентина, Монголия, Турция, Вьетнам и др.;
1,6 балла - Сомали, Гаити, Бирма (с 1989 г. Мьянма);
1,5 балла - Босния, Западная Сахара.
Частные индикаторы характеризуют какие-то отдельные стороны качества жизни. К ним относятся следующие:
социально-демографические - продолжительность жизни, динамика заболеваемости, рождаемости, смертности;
экономической активности населения - уровень безработицы, миграция населения и ее причины;
социальной напряженности - участие в политических мероприятиях, забастовках, доля теневой экономики в ВВП, динамика преступности;
развития социальной сферы - доля расходов на образование, науку, здравоохранение и культуру в ВВП, число учащихся и студентов, в том числе обучающихся бесплатно и платно, среднее число учащихся на одного преподавателя;
экологические - содержание вредных веществ в атмосфере, почве, воде, продуктах питания, доля затрат на экологию в ВВП, инвестиции в основной капитал, направленные на охрану окружающей среды и рациональное использование природных ресурсов.
Эти индикаторы могут быть использованы для анализа уровня и качества жизни в России.
Глава 2. Основные показатели уровня и качества жизни населения
2.1 Показатели уровня и качества жизни населения России
Показатель является численной характеристикой отдельных сторон деятельности. Социально-экономические показатели уровня жизни населения формируются на основе статистических данных, характеризующих объем, состав, основные направления использования и распределения между отдельными группами денежных доходов населения, а также, с привлечением других данных, отражающих конечный результат экономической и социальной политики в областях, затрагивающих различные аспекты уровня жизни населения. Социально-экономические показатели выражаются через средние величины, темпы изменения, коэффициенты частоты, концентрации, дифференциации и покупательной способности.
Об уровне жизни населения можно судить, оценив его материальное положение, социально-экономические аспекты развития общества за исследуемый период. Для оценки материального положения необходима характеристика структуры денежных доходов населения и их использования.
Денежные доходы населения являются одним из основных показателей уровня жизни. Денежные доходы населения включают выплаченную заработную плату наемных работников, пенсии, пособия, стипендии и другие социальные трансферты, доходы от собственности в виде процентов по вкладам, ценным бумагам и другие доходы. Денежные доходы за вычетом обязательных платежей и взносов представляют собой располагаемые денежные доходы населения [13, с.43-44].
Среднедушевые денежные доходы исчисляются делением общей суммы денежных доходов на численность населения. Как видно из данных приложения 1 среднедушевые доходы населения ежегодно возрастали и в 2004 г. составили 6457 рублей, что на 24,6% больше, чем в 2003 году. Реальные располагаемые денежные доходы в период с 2005 г. по 2006 г. возросли на 1,1%, с 2007 г. по 2008 г. - увеличились до 14939,2руб.
По данным Госкомстата денежные доходы населения в 2008 году сложились в сумме 25561,2 млрд. рублей и увеличились по сравнению с 2007 годом на 19%.
В 2007 г. в России рост потребительских цен, опережавший динамику денежных доходов населения, привел к падению покупательной способности доходов и увеличению численности населения с денежными доходами ниже прожиточного минимума. Такое изменение социальной и экономической ситуации сопровождается резким усилением дифференциации населения по основным социально-экономическим характеристикам: оплате труда, жилищной обеспеченности, располагаемому имуществу, денежным сбережениям.
Статистика представляет два вида распределения доходов среди населения: распределение населения по размеру среднедушевых денежных доходов и распределение общего объема денежных доходов населения, что в совокупности дает относительно полное представление о распределении доходов.
Данные таблицы "Распределение населения по величине среднедушевых денежных доходов" приложения 2 позволяют судить о численности различных доходных групп населения и дают возможность произвести разбивку на более крупные группы, лучше всего по их соотношению с прожиточным минимумом.
Величина прожиточного минимума в соответствии с Федеральным законом №134-ФЗ "О прожиточном минимуме в Российской Федерации" представляет собой стоимостную оценку потребительской корзины, включающей минимальные наборы продуктов питания, непродовольственных товаров и услуг, необходимых для сохранения здоровья человеческого обеспечения его жизнедеятельности, а также обязательные платежи и сборы [1, с.34].
Величина прожиточного минимума определяется ежеквартально и устанавливается правительством РФ - в целом по России, органами исполнительной власти субъектов РФ - в субъектах РФ.
Начиная с квартала 2004 г. расчеты величины прожиточного минимума производятся на основе данных Госкомстата России на уровне потребительских цен на товары и услуги, определяющие потребительскую корзину, а также о расходах по обязательным платежам и сборам в соответствии с методикой исчисления величины прожиточного минимума в целом по РФ.
В приложении 3 приведены данные величины прожиточного минимума за 1-4 кварталы 2000-2008 годов, установленные Правительством РФ [9, с.185].
В 2007 г. средний прожиточный минимум составлял 4005 рублей. Численность населения, имеющего денежные доходы ниже величины прожиточного минимума, установленной в целом по РФ, в квартале 2007г. составила 18,7 млн. человек (13,3% от общей численности населения). В 2008 году Правительство установило официальный прожиточный минимум в стране, рассчитанный по итогам четвертого квартала 2008 года он оказался весьма небольшим - 4693 руб. на душу населения в месяц. По категориям населения прожиточный минимум дифференцируется так: для трудоспособного населения - 4971 руб., для пенсионеров - 3644 руб., для детей - 4389 руб. По сравнению с третьим кварталом 2007 года прожиточный минимум вырос на 814 руб. - примерно на 10%, хотя потребительские цены за четвертый квартал 2007 года, по официальным данным, выросли на 11,1%.
Рассмотрим на основании таблицы приложения 3 расчетные сопоставления по уровню жизни между работающими, пенсионерами и детьми по данным за 2000-2008г., используя показатель соотношения среднедушевых денежных доходов и прожиточного минимума по каждой из названных категорий граждан. Учитывая приведенный выше анализ, что в 2007 г. Среднедушевой денежный доход по всему населению составил 12602,7 рублей и прожиточный минимум - 3847 рублей, то усредненный уровень жизни может быть оценен в процентах как отношение12602,7: 3847 или приблизительно 327%. В 2008 г. - 14939,2: 4593, что приблизительно равно 325%.
Детский прожиточный минимум был равен в 2008 году 4389 рублей, а значит уровень жизни ребенка равен 181,5%. В 2007 году - 253,5%. Наконец, уровень жизни пенсионера в 2007 году равнялся среднему размеру пенсии, деленному на его прожиточный минимум, или 76,3%. В 2008 году этот показатель составлял 117%.
В приложения 4 приводятся данные о распределении общего объема денежных доходов населения по 20% -м группам, где наблюдается усиление неравномерности. Так, наиболее обеспеченная группа населения сконцентрирована в 2006 г. 47,3% против 47,9% в 2007 г., а доля наименее обеспеченной группы в общем доходе уменьшалась на протяжении с 2006 по 2008 года, и составила 5,1%.
В структуре использования денежных доходов в 2005 г. по сравнению с 2003 г. отмечался некоторый прирост финансовых активов. В период с 2006 по 2008 г. - рост финансовых активов. Изменения в структуре использования денежных доходов с 2003 г. по 2008 г. прослеживаются в таблице приложения 5.
Из общей суммы денежных доходов в 2007 г. было израсходовано на потребительские цели (покупка товаров и оплата услуг) 14831,4 млрд. рублей (на 21,7% больше чем в 2006 г), на оплату налогов и взносов - 3331,8 млрд. рублей (на 60,9%), на накопления сбережений во вкладах и ценных бумагах - 2731,9 млрд. рублей (на 43,5%), на покупку валюты - 4534,5 млрд. рублей (на 11,8%). Наличие денег на руках у населения в 2007 г. составило 819,0 млрд. рублей, превысив уровень 2006 г. на 29% [9, с.117-118].
Для граждан, занятых на предприятиях и в организациях, основную часть объема денежных доходов составляет оплата труда. В 2007 г. номинальная начисленная заработная плата одного работающего составила 13593,4 рублей, о чем свидетельствуют данные таблицы приложения 6. Реальный уровень оплаты труда по сравнению с 2006 г. вырос на 24%.
По-прежнему сохраняется значительная дифференциация уровня среднемесячной заработной платы в различных отраслях экономики. Так в 2008г. наиболее высокая заработная плата сложилась у работников кредитования, финансов, страхования, транспорта, промышленности, строительства и управления. Наименьшую заработную плату имели работники образования, сельского хозяйства, оптовой и розничной торговли, общественного питания.
Еще одним показателем уровня жизни населения является уровень бедности. В 2007 г. бедность основной части населения, по-прежнему оставалась главной социальной проблемой страны [24, c. 19-21].
Бедность - это социально-экономическое положение части населения и домашних хозяйств, стоящих на относительно низком уровне обеспечения денежными, имущественными и другими ресурсами, а, следовательно, и на низком уровне удовлетворения своих естественно-физиологических, материальных и духовных потребностей. Основу официально публикуемых данных об уровне бедности составляет индекс численности бедного населения, определяемый в российских условиях как доля населения с доходами ниже прожиточного минимума. На рисунке 1 приложения 8 приведена динамика этого показателя за годы реформ, из которого следует, что в течение прошедших 12 лет наблюдались заметные колебания индекса. До 1995 года показатели бедности устойчиво снижались. В 1994 году произошло особенно сильное снижение. Главный фактор радикального уменьшения численности бедных в тот период - изменение методики построения ряда распределения по доходам.
В 1995 году наблюдался некоторый рост масштабов бедности, что связывают с банковским кризисом, после чего отмечалась тенденция снижения бедности, вплоть до августовского кризиса 1998 года. После этого нового кризиса, последствия которого наиболее ярко проявились в 1999 году, наблюдается устойчивое сокращение бедности, которое объективно произошло еще в 2000 году. Однако, именно в 2005 году, Россия перешла к более дорогому прожиточному минимуму, поэтому рост реальных доходов населения не нашел своего отражения в динамике численности населения с доходами ниже прожиточного минимума. Начиная с 2001 года, наблюдается устойчивая тенденция снижения численности бедного населения, что свидетельствует о позитивном влиянии экономического роста на уровень доходной обеспеченности населения [19, c.132-138].
Теперь обратимся к показателю дефицита доходов, измеряемому в процентах от величины прожиточного минимума и указывающему на то, сколько нужно доплатить бедным для того, чтобы подтянуть их доход к величине прожиточного минимума, то есть, чтобы они перестали быть бедными. В среднем по всем бедным дефицит дохода составил 28,7%. Данный результат дает основания утверждать, что российская бедность неглубокая. Представленные на рисунке 2 приложения 8 данные иллюстрируют тот факт, что для большинства бедных семей дефицит дохода не превышает 20% от величины прожиточного минимума, и только у 8,5% он выше 60% прожиточного минимума.
Такие оценки позволяют сделать вывод о том, что значительная часть российских бедных домохозяйств сконцентрирована у черты бедности и только для десятой их части бедность означает практически отсутствие средств существования. Для политики это позволяет определить два принципиально разных направления целевой деятельности. Во-первых, за счет программ, направленных на поддержку тех, кто расположен у черты бедности, можно существенно сократить численность бедного населения при минимальных издержках. Во-вторых, порядка 10% бедных семей будут продолжать оставаться таковыми даже в том случае, если к ним перераспределить существенную часть доходов, поэтому для них необходимы специальные программы, направленные на сокращение глубины бедности. Тот факт, что бедность неглубокая, следует рассматривать как позитивный результат с точки зрения динамики уровня жизни, а концентрация бедных преимущественно около черты бедности еще указывает на возможную высокую временную бедность [19, c.140-142].
Таким образом, масштабы бедности, несмотря на все экономические успехи и благоприятные изменения в области доходов населения в 2005 г., являются по-прежнему одной из наиболее острых социальных и политических проблем.
Расходы также являются одним из основных показателей уровня жизни. Денежные расходы населения - это использование доходов населения на покупку товаров и оплату услуг и различного рода платежи: обязательные платежи и профсоюзные взносы (налоги, сборы, платежи по страхованию, взносы в общественные и кооперативные организации, возврат банковских ссуд, проценты за товарный кредит и др.), покупку иностранной валюты, а также прирост сбережений во вкладах и ценных бумагах. При этом в Системе Национальных Счетов проводиться различие между расходами на конечное потребление и объемом фактического конечного потребления. В качестве источника информации используется выборочные бюджетные обследования, баланс денежных доходов и расходов населения, торговая статистика.
Расходы на конечное потребление домашних хозяйств состоит из потребительских расходов, стоимости натуральных поступлений продуктов питания и стоимости представленных в натуральном выражении дотаций и льгот.
Потребляемые населением товары удовлетворяют различные потребности. Возрастающую роль в потреблении населения играют разнообразные услуги, оказываемые населению и удовлетворяющие потребности человека.
В объеме услуг, производимых для собственного конечного использования, учитываются два вида услуг: по проживанию в собственном жилище - они оцениваются приближенно, в размере затрат на обеспечение проживания в жилище, и домашние услуги, производимые наемными работниками, их стоимость определяется оплатой труда этих работников, включая все виды компенсаций в натуральной форме (питание, жилье и т.п.).
Различают услуги материальные (производственные - ремонт одежды, обуви, предметов бытового и хозяйственного назначения) и нематериальные (культурные, образовательные, медицинские и др.), услуги подразделяются на платные (рыночные) и бесплатные (нерыночные) [3, с.32].
Денежные расходы населения представляют собой форму реализации населением своих денежных доходов. Потребительские расходы населения в среднем за месяц в расчете на члена обследуемого домохозяйства в 2008 г. составили 8561,8 рубля и возросли на 31,8% по сравнению с 2007 г.
Рост денежных доходов населения приводит к изменениям в структуре потребительских расходов. Это проявляется в том, что с увеличением доходов семей снижается доля затрат на питание. Чем ниже эта доля, тем выше уровень благосостояния. Эти изменения прослеживаются приложении 8 [8, с.47 - 48].
Наибольший рост расходов на покупку продуктов питания по данным таблицы в период с 2003 по 2008 г. отмечался в 2003 г. (на 35,8%), наименьший - в 2007 г. На непродовольственные товары наибольшие расходы составили в 2006 году, наименьшие в 2003 г. Наконец, наибольшие расходы на услуги составили в 2006 г., наименьшие - в 2003 г.
Под влиянием доходных организаций и динамики цен усилилась и дифференциация в расходах на отдельные виды товаров между группами населения с различным уровнем благосостояния. Рост дифференциации в расходах для населения с различным уровнем среднедушевых располагаемых ресурсов был неравномерен по продуктам питания, входящим в состав той или иной группы продовольственных товаров. Среднедушевые денежные расходы на покупку непродовольственных товаров (в среднем за месяц) в 2005 году составили 397,1 рублей и увеличились на 8% по сравнению с 2004 г.
Наибольший удельный вес в структуре расходов на оплату услуг в 2008 г. занимали жилищно-коммунальные услуги (10,4%), услуги пассажирского транспорта (3,1%), услуги связи и услуги в системе образования (по 1,6%).
Также одним из наиболее важных показателей уровня жизни является уровень здравоохранения. Анализ таблицы приложения 9 показывает, что в период с 2004 по 2007г. в России значительное число учреждений здравоохранения сократились с 9,8 тыс. в 2004 г. до 6,8 тыс. в 2007 году, число врачебных амбулаторно-поликлинических учреждений в этот период также уменьшилось с 22,1 тыс. до 18,3 тыс. Число женских консультаций, детских поликлиник и амбулаторий сократилось с 15,2 тыс. до 11,5 тыс. в период с 2004 по 2007г. Число фельдшерских пунктов в период с 2004 по 2007 г. резко уменьшилось с 43,2 тыс. до 39,8 тыс. [8, с.175-177].
Таким образом, за 4 года число больниц уменьшилось на 3,6%, количество врачебных амбулаторно-поликлинических учреждений на 0,3%, число женских консультаций, детских поликлиник и амбулаторий уменьшилось на 0,5%, а фельдшерско-акушерских пунктов снизилось на 0,8%.
Трудное положение складывается с формированием и развитием школьной сети. Данные приложения 10 показывают, что в период с 2003 г. по 2009 г. в России число государственных общеобразовательных учреждений сократилось на 11,4 тыс. и составило в 2009 г.55,1 тыс. Количество негосударственных учреждений в 2008 - 2009 учебном году составляло 691, число средних специальных учебных заведений - 2624, высших учебных - 1134, государственных вечерних - 1720. Общее число общеобразовательных учреждений в период с 2003 по 2009 г. сократилось на 11,7 тыс., составив 55,1тыс.
Одним из важнейших показателей, характеризующих уровень жизни населения, по-прежнему остается обеспеченность жильем. В России жилищная проблема стоит очень остро. В очереди на получение жилья и улучшение жилищных условий на начало 2007г. насчитывалось 31% от общего числа семей. В последние годы происходит децентрализация финансирования жилищного строительства. В условиях ограниченности бюджетных финансовых ресурсов основными источниками финансирования жилищного строительства остаются средства населения, собственные средства предприятий и организаций.
Таким образом, существует множество показателей, характеризующих различные стороны уровня жизни населения и являющиеся неотъемлемыми компонентами социальных программ, а также использующиеся в качестве инструмента измерения результатов влияния экономических реформ на уровень жизни населения. На основе проделанного анализа можно сделать вывод, что в России уровень жизни населения не достиг совершенства, и необходим поиск путей его повышения. Многие показатели ближе к 2009 значительно снизились.
2.2 Основные направления повышения уровня жизни населения России
В связи с мировым экономическим кризисом многие предприятия производственной сферы и предоставляющие услуги столкнулись с серьезным снижением спроса на свой продукт. Крупные организации такие как "Автоваз", "Сбербанк" и другие были вынуждены в значительных объемах сокращать штат своих сотрудников и оптимизировать их работу. Таким образом, сотни тысяч по всей стране оказались невостребованными, покупательная способность их резко упала. ВВП страны начал снижаться, доходы бюджета существенно сократились из-за этого государство было вынуждено приостановить рост расходов на здравоохранение, часть бюджета связанную с культурно-просветительской деятельностью. Все это в общей картине вылилось на остановку и без того не высоких темпов роста уровня жизни в стране.
Сейчас очень часто говорят об уровне жизни населения, о качестве жизни. Чтобы решить существующие проблемы в этой сфере, следует разобраться в этом понятии, знать, из чего оно состоит, и на основе этих знаний создавать программы повышения уровня и качества жизни.
Говоря о качестве жизни населения, нельзя забывать, что это важнейшая составляющая развития экономики. От уровня жизни населения зависит качество его жизни и наоборот. Качество жизни можно описать, исходя из набора определенных показателей качества и уровня жизни населения. Проводя определенную экономическую политику, государство изменяет эти показатели, следовательно, уровень жизни улучшается или ухудшается.
Эти показатели можно разделить в широком смысле на четыре блока. Во-первых, финансово-экономические показатели. Например, национальное богатство, доходы и расходы населения, уровень инфляции. Во-вторых, показатели материального благосостояния населения, которые включают в себя занятость, труд, жилье, коммунальное хозяйство и др. В-третьих, медико-экологические показатели, включающие здоровье населения, уровень медицины, состояние окружающей среды и т.д. И, наконец, показатели духовного состояния населения. Это уровень образования, культуры, а также политика и общая занятость населения.
Основываясь на этих показателях, можно разрабатывать меры по улучшению качества и уровня жизни. Нельзя не заметить, что эти показатели связаны, и изменение одного повлечет за собой изменение другого. Высокий уровень жизни можно обеспечить, повышая доходы населения, особенно работникам, занятым в социальной сфере. Каждый из нас знает о проблеме учителей и врачей. Достойная зарплата решит хотя бы частично проблему занятости в этой сфере. Повышение доходов повлечет повышение расходов, следовательно, уровень жизни повысится [18, c.35].
Показатели материального благосостояния, такие, как труд и занятость, оказывают значительное влияние на экономику страны, поэтому государство, в первую очередь, должно быть заинтересовано в их улучшении. Это могут быть меры по снижению безработицы, повышению уровня занятости населения путем создания благоприятных условий труда, сохранения длительной трудоспособности (снижение смертности, повышение уровня здоровья населения). Эффективным представляется повышение профессионально-квалификационного уровня основной части специалистов, особенно высококвалифицированных работников, во всех отраслях народного хозяйства. Реально создание и использование различного рода учебных программ, где специалисты при финансовой поддержке своих фирм могут выполнять собственные исследования. Обязательны поддержка профессионально-технического обучения и повышения квалификации, особенно работников социально значимых сфер, обеспечение социальной защиты в области занятости, проведение специальных мероприятий, способствующих обеспечению занятости.
За последние пять лет экономика России выросла на 40%, и давно уже пришла пора каждому почувствовать данный статистически впечатляющий рост. Увеличение реальных доходов населения, опять же по статистике, составляет 10% в год, но судя по этому говорить, что каждый из нас живет лучше нецелесообразно. И если учитывать, что основным доходом большинства населения является заработная плата, то при повышении заработной платы надо учитывать и то, что цены на товары и услуги не остаются неизменными, что каждый год они дорожают на определенный процент, то, следовательно, чтобы повысить покупательную способность населения, надо повышать заработную плату на более высокий процент, чем дорожают товары и услуги [19, с.6-8].
Государство должно обратить пристальное внимание на малообеспеченные слои общества (а за чертой бедности у нас живет 25 миллионов человек), прежде всего на работников бюджетной сферы. Нужно сосредоточиться на приоритетных национальных проектах, которые определяют социальное самочувствие общества и создают необходимые стартовые условия для развития “человеческого капитала” [22, с.17-18].
К числу основных направлений повышения уровня жизни следует отнести необходимость ускорения темпов экономического роста, так как развитие производства, обеспечивающее экономический рост, определяет совокупность, уровень развития человеческих потребностей и степень их удовлетворения через количество и качество производимой продукции, объем получаемых доходов. Не менее существенна значимость обратной связи: экономический рост возможен только при условии достижения необходимого уровня жизни населения.
В условиях рыночной экономики велика значимость поддержки и развития отечественного производства. Требуют немедленного осуществления меры по стимулированию инвестиционной активности, по облегчению доступа к кредитам. Большую роль может сыграть эффективная антимонопольная политика, защита отечественного производства посредством введения антидемпинговых квот и технических барьеров, поддержка малого и среднего бизнеса.
Особую важность представляют меры по сохранению и развитию отечественного научно-технического потенциала. Среди них субсидирование затрат на защиту интеллектуальной собственности и поддержание прав на нее в России и за рубежом, освобождение от налогов затрат на НИОКР. Действенным также видится сохранение информационной инфраструктуры научно-исследовательских работ, субсидирование затрат научно-технических организаций на пользование информационными сетями и базами данных.
Достойный уровень жизни населения государство сможет обеспечить, решив квартирный вопрос, ведь от качества жилья во многом зависит здоровье людей, их семейное благополучие. Однако более комфортная квартира или дом, по сути, пока остаются лишь мечтой для миллионов российских семей.
Особое значение следует придавать ипотеке - кредитам на покупку жилья под залог самого этого жилья. Это особенно важно для молодых семей, которые просто не в состоянии полностью заплатить наличными за приобретаемую квартиру.
Сравнительный анализ показывает, что по жилищным условиям Россия в значительной степени отстает от развитых стран. В России в современных условиях для решения жилищной проблемы людьми со средним достатком необходимо развитие системы доступного кредитования, приведения в соответствие качества жилья и величины оплаты за него, упорядочение деятельности жилищно-эксплутационных служб. Оправдывает себя практикуемая для отдельных категорий населения система жилищных сертификатов. Важно отметить, что размеры тарифов на общественный транспорт, ЖКХ и связь должны быть не выше пределов, установленных федеральным правительством.
Основой формирования здорового и деятельного общества является состояние здоровья граждан. Ни для кого не секрет, что в “плачевном состоянии" находятся у нас в стране муниципальные сети здравоохранения. Государство должно выделять достаточно средств на повышение уровня медицинского обслуживания. Необходимо оснастить новым диагностическим оборудованием более десяти тысяч муниципальных поликлиник (из них более трети на селе), значительное число районных больниц и фельдшерских пунктов. Важно уделить внимание обеспечению сферы здравоохранения достойными квалифицированными кадрами, постоянному повышению квалификации и переподготовке кадров. Необходимо обновить автопарк “скорой помощи”, включая приобретение реанимобилей, медоборудования и современных систем связи [21, c.12-14].
Финансирование системы здравоохранения целесообразно осуществлять посредством прямой оплаты услуг населением и целевых взносов предпринимателей и работников (в отличие от входящих в общий налог отчислений, существующих в РФ в современных условиях). Целевое финансирование обеспечит весомые позиции здравоохранения в иерархии общественных приоритетов, а взносы направятся непосредственно на нужды охраны здоровья. В сфере государственного регулирования особую значимость приобретают целевая помощь нуждающимся в дорогостоящем лечении, направленность медицины на поиск новых, менее затратных и более действенных путей профилактики и лечения заболеваний, обеспечение гарантий бесплатности необходимого набора медицинских услуг.
Нуждается в изменении организационно-правовая форма медицинских учреждений. Необходима разработка новой системы нормирования и оплаты труда медработников для повышения их заинтересованности в результатах труда.
Граждан необходимо не только хорошо лечить, но и хорошо учить. Для этого нужно выделить значительные суммы на приобретение вузами и школами, активно внедряющими инновационные образовательные программы, лабораторного оборудования, программного обеспечения. Эти деньги должны пойти также на модернизацию учебных классов и подготовку преподавателей.
Требует немедленного осуществления поиск путей совершенствования системы образования в России, улучшения качества и повышения уровня образования подготавливаемых специалистов. Первые шаги к созданию современной системы уже сделаны - принята Доктрина об образовании, основные положения которой призывают качественно изменить систему финансирования образования, создать социально-экономические условия для приоритетного развития системы образования, обеспечить развитие высших учебных заведений и усилить контроль деятельности негосударственных вузов, сделать систему образования более гибкой, восприимчивой к переменам.
Все преобразования в сфере здравоохранения, в социальной сфере должны быть связаны с проведением мер по повышению рождаемости и уменьшению уровня смертности. Говоря о здоровье населения, нельзя забывать об экологии и состоянии окружающей среды, особенно в наши дни.
Для того чтобы повысить уровень жизни населения наше правительство должно работать именно в этих направлениях, так как именно эти компоненты являются важнейшими составляющими уровня жизни. На 2006-2008 год В.И. Путин объявил о своей новой социальной программе, где именно этим проблемам он уделил много внимания, сказав, что пока у нас нет "экономически здорового населения", добиться высокого экономического роста невозможно.
Заключение
Таким образом уровень жизни - это комплексная социально - экономическая категория, которая отражает уровень развития физических, духовных и социальных потребностей. Уровень и качество жизни населения является одной из важнейших характеристик социально-экономической системы. Из содержания работы видно, что в конце 1999 г. произошли серьезные изменения в уровне жизни населения, которые продолжились вплоть до 2008 г. и продолжаются до сих пор. Благоприятные тенденции положительно сказались на показателях доходов и уровня жизни населения в течение минувших лет, отмечался реальный рост денежных доходов населения, включая заработную плату и пенсии. Адаптация к новым условиям позволила предпринимателям ряда отраслей улучшить ситуацию с оплатой труда, включая и рост номинальных заработных плат.
Вместе с тем, несмотря на позитивную динамику макроэкономических показателей, сохраняется значительная дифференциация населения по уровню доходов, низкая зарплата в ряде отраслей экономики, высокий уровень бедности. На основе анализа, проведенного в курсовой работе, следует отметить, что в период с 2004 по 2008 г. продолжилось повышение жизненного уровня населения. Номинальные денежные доходы населения выросли и достигли 25561,2 млрд. рублей. Реально располагаемые денежные доходы снизились на 10,2%. Объем денежных расходов составил 23960,3 млрд. рублей. Превышение доходов над расходами достигло 1600,9 млрд. рублей. Основные расходы были направлены на приобретение продуктов питания и предметов первой необходимости.
Реализация изложенных в данной курсовой работе предложений призвана послужить решению важнейших задач проводимой в России социально-экономической политики, направленной, прежде всего, на повышение жизненного уровня населения нашей страны.
Повышение уровня жизни населения является главной целью любого прогрессивного общества. Государство обязано создавать благоприятные условия для долгой, безопасной, здоровой и благополучной жизни людей, обеспечивая экономический рост и социальную стабильность в обществе.
Список литературы
Законодательные и методические материалы:
1. Федеральный Закон РФ от 24.10 2005 №134-ФЗ "О прожиточном минимуме в РФ" // Собр. Законодательства РФ - 2008 - №30.
2. Федеральный Закон РФ от 20.11.1999 № 201-ФЗ (с изм. от 21.07.2004)"О потребительской корзине в целом по Российской Федерации" // Собр. Законодательства - 2005 - №30.
Книги:
3. Булатов А.С. Экономика: Учебник. - М.: Бек, 2006.
4. Горелов Н.А. Политика доходов и качество жизни населения: Учеб. пособие. - СПб.: Питер, 2003.
5. Гусаров В.М. Статистика: Учеб. пособие для вузов. - М.: Юнити-дана, 2005.
6. Ефимова М.Р., Бычкова С.Г. Социальная статистика: Учеб. пособие - М.: Финансы и статистика, 2006.
7. Елисеева И.И. Социальная статистика: Учебник. - М.: Финансы и статистика, 2007.
8. Российский статистический ежегодник: статистический сборник. М.: Госкомстат России, 2009.
9. Россия в цифрах: статистический сборник. М.: Госкомстат России, 2009.
Статьи из журналов:
10. Байгереев М.В. Анализ российской бедности: причины, особенности и методика счета // Человек и труд. - 2007. - №8.
11. Бобков В. Структура общества // Экономист. - 2006. - №9.
12. Бобков В. Уровень социального неравенства // Экономист. - 2006. - №3.
13. Болотин Б. Разрыв в доходах населения: данные мировой статистики // Мировая экономика и международные отношения. - 2006. - №7.
14. Жеребин В.М., Ермакова М.А. Межгрупповые сопоставления уровня жизни населения // Вопросы статистики. - 2007. - №6.
15. Подузов А. А Неравенство и бедность населения: опыт решения проблемы в России и за рубежом // Проблемы прогнозирования. - 2008. - №6.
16. Кремлев М.Д. Проблемы оценки уровня жизни населения // Вопросы статистики. - 2006. - №8.
17. Курченков В.В. Уровень и качество жизни на юге России: тенденции и перспективы // Финансы и кредит. - 2007. - №27.
18. Маневич В.Е. Социально-экономическое положение России в зеркале научной периодики // Бизнес и банки. - 2007. - №4.
19. Ржаницына Л.А. Бедность в России: причины, особенности, пути уменьшения // Экономист. - 2005. - №4.
20. Тихонов А.А. Обладает ли "запасами прочности" уровень жизни россиян? // Социологические исследования. - 2007. - №7.
21. Френкель А.А. Российская экономика // Вопросы статистики. - 2007. - №12.
22. Крыжановская А.Г. Теоретические подходы к определению качества жизни населения // Финансы, денежное обращение и кредит. - 2009. - №5.
Похожие работы
-
Социально-ориентированная рыночная экономика
Вопросы “Куда идем?” “К чему переходим?” воспринимаются теперь уже не так болезненно, как раньше, поскольку главный ответ известен: “к социально ориентированной рыночной экономике”. Однако вслед за этим ответом возникают новые вопросы: где истоки новой экономики? Кто, где и когда выдвинул такие идеи? В чем их суть? Как и насколько они обоснованны? Проверены ли практикой?
-
Реструктуризация предприятия как инструмент повышения эффективности предприятия
Реструкт предприятия как инструмент повышения эффективности предприят. Актуальность темы исследования. Перемены и преобразования, происходящие в современной России, расширение рыночных отношений, и, как следствие, смена отношений собственности, реорганизация структур управления, развитие рынка строительной продукции оказало существенное влияние на инвестиционно-строительную деятельность.
-
Качество продукции как экономическая категория
12.КАЧЕСТВО ПРОДУКЦИИ КАК ЭКОНОМИЧЕСКАЯ КАТЕГОРИЯ Качество продукции - это совокупность ее свойств, обусловливающих пригодность удовлетворять определенные потребности в соответствии с назначением.
-
Анализ мотивации труда 2
ВВЕДЕНИЕ ГЛАВА 1. ТЕОРЕТИЧЕСКИЕ ПОДХОДЫ К ИЗУЧЕНИЮ МОТИВАЦИИ ТРУДОВОЙ ДЕЯТЕЛЬНОСТИ 1.1 Сущность понятия мотивация 1.2 Система мотивации персонала предприятия
-
Статистика уровня жизни населения
Понятие и система социально-экономических показателей уровня жизни населения. Методика определения статистических показателей доходов населения, сбережений, дифференциации доходов, уровня бедности населения, совокупных денежных и натуральных доходов.
-
Качество жизни
Качество жизни рассматривается как система показателей, характеризующих степень реализации жизненных стратегий людей, удовлетворения их жизненных потребностей. Программные улучшения качества жизни рассматривается как социальный проект, направленный на увеличение возможностей людей решать свои проблемы, добиваться личного успеха и индивидуального счастья.
-
Индекс нищеты населения
С 1997 года ПРООН использует Индекс нищеты населения (ИНН) для измерения распространения крайней обездоленности. Для расчета ИНН существуют две методики: для промышленно развитых - ИНН-2, и для развивающихся стран - ИНН-1. По международной классификации (ООН и Всемирного Банка) страны б. СССР относятся к промышленно развитым.
-
Билеты Экономика и социология труда за осенний семестр 2000 года
Экзаменационный билет по предмету ЭКОНОМИКА И СОЦИОЛОГИЯ ТРУДА Билет № Предмет экономики труда: сущность и практическое значение. Сущность внутрицеховой кооперации и совмещения профессий.
-
Уровень жизни 2
Уровень жизни (уровень благосостояния) — уровень материального благополучия, характеризующийся объемом реальных доходов на душу населения и соответствующим объемом потребления.
-
Качество и уровень жизни населения
КАЧЕСТВО И УРОВЕНЬ ЖИЗНИ НАСЕЛЕНИЯ Статьи - Анализ ТЕРРИТОРИАЛЬНЫЙ РАЗРЕЗ (ПО ДАННЫМ ЗА 2007 Г.) В. Бобков, д-р экон. наук, профессор В. Васильев, А. Гулюгина,