Название: Ціноутворення на ринках факторів виробництва
Вид работы: курсовая работа
Рубрика: Экономика
Размер файла: 80.83 Kb
Скачать файл: referat.me-382238.docx
Краткое описание работы: На ринку факторів виробництва з боку попиту виступають фірми для споживання виробничих факторів, з боку пропозиції – власники факторів – домогосподарства. Стратегія ціноутворення - вибір підприємством динаміки зміни вихідної ціни товару в умовах ринку.
Ціноутворення на ринках факторів виробництва
План
Вступ
Розділ 1
Загальна характеристика ринків факторів виробництва
1.1 Поняття факторів виробництва
1.2 Особливості ринків факторів виробництва
Розділ 2
Ціноутворення на ринках факторів виробництва
2.1. моделі, які застосовуються для розрахунку ціноутворення
2.2. Ціноутворення на ринках факторів виробництва
Розділ 3
Застосовування математичних моделей на практиці
3.1. Ціноутворення на ресурсів АПК
3.2. Шляхи оптимізації ціноутворення на ринках ресурсів
Висновки
Список використаної літератури
Вступ
Для сучасного ринку характерна наявність великої кількості різних галузевих ринків товарів і послуг, множинність цін. На практиці ціна на конкретну продукцію того самого ринку може істотно розрізнятися. В умовах ринкової економіки ціна визначається співвідношенням попиту та пропозиції. Тому важливим є питання ціноутворення на ринках факторів виробництва.
Ринки факторів – це спеціальні ринки, де на відміну від ринків продукції, з боку попиту виступають фірми, які споживають виробничі фактори, з боку позиції – власники факторів – домогосподарства. На ринках факторів визначаються ціни та обсяги використання факторів. Ринки факторів виробництва вважаються вторинними по відношенню до ринків готової продукції, тому що стан перших визначаються станом других.
Процес ціноутворення на ринках багато в чому залежить від типу ринку, у рамках якого діє відповідний суб'єкт торгівлі. Сучасному ринку характерна множинність цін. Для вивчення і використання на практиці цінових показників необхідно знати основні джерела даних про ціни. Механізм ціноутворення аналіз попиту та пропозиції, проектування цін - виходячи із ситуації на ринку - і формування контрактної ціни.
У даній роботі ми докладно розглянемо дане питання.
Темою роботи є: «Ціноутворення на ринках факторів виробництва».
Мета роботи: дослідити особливості ринку факторів виробництва, розглянути основні моделі ціноутворення, застосувати набуті знання на практиці, визначити шляхи оптимізації ціноутворення на ринках факторів виробництва.
Для досягнення мети роботи автор поставив перед собою наступні завдання:
Визначити методи і напрями дослідження;
Дослідити поняття і особливості ринків факторів виробництвіа;
Розглянути основні моделі ціноутворення;
Дослідити сутність ціноутворення на ринках факторів виробництва;
Розглянути ціноутворення ресурсів на прикладі АПК Криму;
Визначити шляхи оптимізації ціноутворення на ринках факторів виробництва;
Систематизувати інформацію;
Написати роботу.
При написанні роботи використовувались наступні джерела:
Наукова і науково-популярна література;
Довідники, посібники;
Інформація ЗМІ.
Теоретичне значення роботи полягає у дослідженні моделей ціноутворення на ринках факторів виробництва.
Практичне значення роботи полягає у визначені ціноутворення на прикладі АПК Криму і шляхів оптимізації ціноутворення на ринках факторів виробництва.
Розділ 1
Загальна характеристика ринків факторів виробництва
1.1. Поняття факторів виробництва
Ринок — це також широке соціально-економічне поняття, що охоплює всі сфери економічної, суспільної і політичної діяльності суспільства. Тому ринок передбачає свободу господарювання для всіх економічних суб'єктів, їхнього об'єднання, співробітництва і конкуренції, а у випадку банкрутства — припинення їх діяльності. У ринковій економіці суб'єктами господарювання можуть бути не тільки вітчизняні, але й іноземні юридичні та фізичні особи.
Ринки факторів – це спеціальні ринки, де на відміну від ринків продукції, з боку попиту виступають фірми, які споживають виробничі фактори, з боку позиції – власники факторів – домогосподарства. На ринках факторів визначаються ціни та обсяги використання факторів. Ринки факторів виробництва вважаються вторинними по відношенню до ринків готової продукції, тому що стан перших визначаються станом других.[№17, с. 201].
Ринок факторів виробництва включає в себе:
Ринок праці;
Ринок капіталу;
Ринок ресурсів;
Ринок землі.
Розглянемо більш докладно особливості ринків факторів виробництва.
1.2. Особливості ринків факторів виробництва
Ринки факторів – це спеціальні ринки, де на відміну від ринків продукції, з боку попиту виступають фірми, які споживають виробничі фактори, з боку позиції – власники факторів – домогосподарства. На ринках факторів визначаються ціни та обсяги використання факторів. Ринки факторів виробництва вважаються вторинними по відношенню до ринків готової продукції, тому що стан перших визначаються станом других.
Функціонування ринків факторів виробництва здійснюється за тими ж принципами, що і ринки продукції. Типу ринкової структури дослідження, як формується попит на фактори, які чинники його визначають, як формується пропозиція факторів, і які чинники визначають цю пропозицію.
Взаємодії попиту і пропозиції дозволяє дослідити проблеми ціноутворення на фактори виробництва, а також вплив державної політики на стан цих ринків.
Структура ринку повного фактора виробництва пов’язана із особливостями рішень, які приймаються формами і домогосподарствами цін і обсягу факторів на ринках. Попит на ресурси в умовах конкурентного ринку.
Важливий метод визначення попиту на ресурс полягає в міркуванні, що фірма діє на певний ресурс на ринку із конкуренцією. На ринку ресурсів конкуренція означає, що фірма купує такий невеликий об’єм загальної пропозиції ресурсу, що придбана фірма кількість ресурсу ніяк не впливає на ціни.
Попит фірми на фактора визначається попитом споживачів на ринках готової продукції, тому попит на фактори виробництва називається вторинним попитом.
Ресурси задовольняють потреби споживачів не прямо, а через виробництво товарів і послуг. Стабільність попиту на ресурс залежить від: 1) продуктивності ресурсу при створенні товару. 2) ринкової вартості, чи ціни товару, який створений за допомогою даного ресурсу. Попит на ресурс: реалізація продукту в умовах чистої конкуренції.
3) Попит на ресурси в умовах недосконалої конкуренції.
Попит на ресурс: реалізація продукту в умовах недосконалої конкуренції. На ринку із недосконалою конкуренцією – по двом причинам: зменшується граничний продукт і падає ціна на продукт, так як зростає випуск продукції. Підприємець в умовах досконалої конкуренції буде виробляти продукту менше, ніж при чистій конкуренції.
Розділ 2
Ціноутворення на ринках факторів виробництва
2.1. Моделі, які застосовуються для розрахунку ціноутворення
Моделі ціноутворення. У ціновій політиці фірми дуже важливий вибір моделі ціноутворення. Цей процес повинен враховувати попит на продукт і його еластичність, витрати, ціни конкурентів. Витрати формують нижній рівень ціни, ціни на товари-замінники і аналоги орієнтують на передбачувану ціну, купівельна оцінка характеристик продукту встановлює верхній кордон ціни.
В реальності проблема вибору моделі ціноутворення вирішується з врахуванням трьох найважливіших умов:
1) кожне підприємство повинне економічно забезпечити своє існування, тобто ціна повинна покривати витрати (короткострокові і довгострокові), пов'язані з діяльністю підприємства;
2) поряд з покриттям витрат підприємство націлене на здобуття максимальному або достатньому прибутку, тому необхідно уточнювати ціни окремих сегментів ринку;
3) в умовах конкуренції ціна, яку споживач готовий платити за товар, істотно залежить від цін конкурентів. [№13, с. 57]
Моделі ціноутворення, орієнтовані на витрати.
Політика цін, орієнтована на витрати, ставить своєю за мету покриття всіх або, принаймні, значній частині витрат. Розрахунок витрат будується на основі даних виробничого обліку і планерування (з розрахунку собівартості). З моделей ціноутворення, орієнтованих на витрати, найчастіше застосовуються наступні:
1. модель повних витрат;
2. модель повернення інвестицій;
3. модель маржінальних витрат.
Модель повних витрат найширше поширений і полягає в перевищенні ціни над витратами, що забезпечує деякий рівень рентабельності. Більшість підприємств і організацій використовують цю модель шляхом додавання до витрат виробництва і звернення певного відсотка. Деякі підприємства ускладнюють цю модель введенням "спеціального" (зниженого) відсотка для певних клієнтів (наприклад уряди). Недоліком моделі повних витрат є ігнорування поточного попиту, купівельної оцінки і конкуренції, що навряд чи сприяє визначенню оптимальної ціни. Передбачимо, виробник продасть не 50 000, а 30 000 кавоварок. Його витрати на одиницю виростуть за рахунок збільшення долі постійних витрат, а очікуваний дохід знизиться. Отже, ця модель застосуємо тоді, коли очікуваний об'єм продажів збігається з реальним, а це можливо лише при високій передбаченості ринку, хорошому знанні попиту і конкуренції.
В той же час дана модель ціноутворення залишається популярною з ряду причин:
а) підприємцям легко орієнтуватися на витрати, чим на складно прогнозований попит;
б) при використанні моделі повних витрат більшістю виробників галузі ціни набувають тенденції до вирівнювання;
в) "справедливість" моделі в цілому як для покупців, так і для продавців: останнім у будь-якому випадку забезпечується здобуття закріпленого доходу, при цьому вони не можуть підняти ціну на товар при збільшенні попиту.
Модель рентабельності інвестицій полягає в тому, що підприємство встановлює ціну такій, щоб вона забезпечила так званий рівень повернення інвестицій (РПІ). Модель широко застосовується на підприємствах громадського харчування, транспорту, зв'язку, в освітніх установах і охороні здоров'я, тобто в організаціях які обмежені в здобутті "справедливого" і достатнього доходу від своєї діяльності. Таким чином, встановлення надбавки на витрати орієнтується на певну величину, забезпечуючу РПІ. А які ж дороги виходу з ситуації, коли реальний об'єм продажів не досяг планованого? Перший можливий варіант дій – якнайскоріше збільшити об'єм продажів за допомогою стимулювання збуту, що призводить до зниження витрат на одиницю. Крім того, необхідно створити цінові переваги щоб перемкнути на себе хоч би частина попиту на продукцію конкурентів, а значить — понизити ціни. Таким чином, бажана мета — здобуття запланованого прибутку — стає менш досяжною, навіть при збільшенні виробництва і зниженні ціни. Можливий і другий варіант дій (на перший погляд може здатися, що він протіворечит логіці і взагалі небезпечний для фірми); скорочення обсягу виробництва і продажів. Проте саме другий варіант приведе до бажаної мети. Цілі — здобуття доходу — можна досягти, понизивши граничний обсяг виробництва, тобто наблизивши точку беззбиткової до своїх виробничих можливостей. Граничний об'єм можна понизити, зменшивши постійні витрати і збільшивши ціни. На жаль, модель рентабельності інвестиції не враховує кон'юнктури ринку, тобто при формуванні ціни орієнтований перш за все на внутрішні чинники. [№1, с 42]
Модель маржінальних витрат передбачає використання системи обліку витрат "дірект-костінг". Суть моделі полягає в роздільному обліку умовно змінних і умовно постійних витрат. Формування ціни відбувається шляхом додавання до загальної величини змінних витрат суми, що покриває умовно постійні витрати і що забезпечує нормальний прибуток (маржінальная прибуток). Таким чином, особливістю даного моделі є розрахунок верхньої і нижньої меж ціни. Верхня межа повинна забезпечити відшкодування всіх витрат і здобуття планованого прибутку. Нижня межа ціни орієнтована на покриття змінних витрат. Модель маржінальних витрат враховує попит, і це є його принциповою відмітною особливістю. Іншою істотною перевагою цього методу є відмова від необхідності розподілу накладних витрат на одиницю продукції.
Моделі ціноутворення, орієнтовані на споживачів. Ця група методів враховує конкурентні переваги товарів і підприємств-виробників. Моделі використовуються в рамках активної стратегії ціноутворення, орієнтованої на певну комбінацію ціни і якості товару. Застосовуючи такі моделі, підприємства виходять з готовності споживача платити певну ціну (верхній кордон цін). Якщо не враховувати необхідності оперувати цінами вище за нижній кордон, то при орієнтації на споживачів не існує безпосереднього зв'язку між витратами і встановленням цін. Маючи свої уявлення про максимальну ціну, яку вони готові заплатити, споживачі встановлюють певний кордон, за яким попит на продукт припиниться або унаслідок фінансових обмежень, або тому, що за такою ціною можна придбати якісніший товар.
З моделей ціноутворення, орієнтованих на споживачів, найчастіше застосовуються наступні:
1. модель ціноутворення по цінності, що відчувається;
2. тендерний метод.
3. ціноутворення по цінності, що відчувається. Все більше число підприємств формує ціни, базуючись на купівельній оцінці продукту (а не на витратах виробництва і звернення). Для створення купівельної оцінки використовуються нецінові обмежень, або тому, що за такою ціною можна придбати якісніший товар. Все більше число підприємств формує ціни, базуючись на купівельній оцінці продукту (а не на витратах виробництва і звернення). Для створення купівельної оцінки використовуються нецінові маркетингові важелі.
Описувана модель ціноутворення добре поєднується з позиціюванням товару на ринку, тобто ситуацією, коли компанія створює концепцію продукту для конкретного ринку, плануючи якість і ціну. Менеджер оцінює об'єм продукції, який він передбачає реалізувати за даною ціною, і це визначає планований обсяг виробництва, інвестицій і витрат на одиницю товару. Наступним етапом є оцінка достатності долі прибули на одиницю при встановленій ціні і витратах. Якщо розрахунки задовільні, можна починати виробництво, якщо ні — ідею залишають до кращих часів. Ключем до використання цієї моделі є ретельне визначення купівельного сприйняття (оцінки) пропонованого товару. Маючи такі дані, за допомогою нескладного розрахунку можна легко виправдати запрошувану ціну. Для підрахунку і визначення купівельної оцінки використовуються відповідні методики. Ціноутворення тендерним методом більшою мірою орієнтоване на купівельне сприйняття ціни порівняно з конкурентними цінами. Якщо підприємство хоче виграти конкурс (тендер), йому необхідно правильно сформувати свою ціну. При цьому заниження ціни в порівнянні з конкурентними далі певної межі (нижній рівень ціни, що забезпечує покриття всієї суми витрат) неможливо. Чим вище за ціну підприємства, тим менше вірогідність здобуття контракту. Використання цього критерію при встановленні ціни має сенс лише в тому випадку, якщо підприємство широко використовує вказану модель.
Граючи на різниці цін, можна досягти максимуму прибули і в довгостроковій перспективі. Епізодичне ж використання даної моделі практично не дає переваг. Моделі ціноутворення, орієнтовані на конкурентів. Залежно від структури ринку, числа і сили конкурентів, однорідності продукту підприємство вибирає один з трьох напрямів дії:
1. пристосування до ринкової ціни;
2. послідовне заниження цін;
3. послідовне підвищення цін (засноване на високій репутації і якості продукту). Політика низьких цін, орієнтована на конкурентів, часто застосовується при введенні нових продуктів з метою швидкого залучення великого числа покупців, використання переваг масового виробництва і усунення потенційних конкурентів. Представлені напрями дій не виключають один одного. Існує той, що зв'язує ці три моделі ціноутворення метод, званий методом калькуляційного вирівнювання. Він застосовується в основному при одночасному встановленні цін на велику кількість товарів. Його специфіка полягає у відмові від витратно-орієнтованого ціноутворення на продукти, які є "індикаторами" можливостей підприємства. Суть моделі полягає в тому, що значення продуктів, що входять у виробничу програму, неоднаково з точки зору їх впливу на кінцевий результат — це є наслідком конкретних умов конкуренції і попиту. Високі доходи, що отримуються за рахунок одних продуктів, повинні принаймні компенсувати збитки по реалізації інших. В рамках цінової конкуренції може застосовуватися значна кількість моделей ціноутворення. Найбільш популярною в умовах ринку стала модель ціноутворення за існуючими цінами, яка ґрунтується на оцінці цін конкурентів з меншою увагою до своїх витрат і попиту на продукт. Підприємство може маневрувати, встановлюючи такі ж, як у конкурентів, а також нижчі або вищі ціни. У промислових олігополіях, що продають сталь, папір добрива, зазвичай встановлюється ціна, рівна ціні конкурентів. Невеликі підприємства вибирають політику "дотримання за лідером". Вони міняють свої ціни із зміною цін лідера частіше, ніж цього вимагають попит або їх витрати. Деякі підприємства вводять невеликі знижки йди премії, але вагання зазвичай невелике. [№13, с. 59]
Модель цільових витрат вперше розроблена в Японії. Суть її полягає в тому, що планерування майбутньої собівартості продукції починається зі встановлення цільової величини, в яку слід укластися, з тим, щоб продаж продукції за існуючими ринковими цінами забезпечив не лише покриття майбутніх витрат, але і здобуття прибули. Отже, верхньою обмежувальною межею є ринкові ціни в тому регіоні, де передбачається реалізація продукції, наміченої до випуску. Дана модель ціноутворення вельми поширена. Оскільки витрати на одиницю продукту частенько насилу піддаються оцінці, покластися на конкурентні ціни — хороше рішення питання.
Проте можуть виникнути труднощі, пов'язані з відсутністю достовірної інформації про ціни конкурентів із-за надання останніми знижок або нарахування додатковій премії на ціну за обслуговування або установку. В цілому модель хороша тим, що сталі ціни забезпечують гарантований дохід, пом'якшують цінову конкуренцію і стабілізують ринок.
2.2. Ціноутворення на ринках факторів виробництва
Встановлення ціни товару є наступним важливим рішенням, підприємством, що приймається, після виробництва товару. Підприємству слід встановити таку ціну товару, від продажу якого воно може отримати максимально можливий прибуток. У основі формування ціни товару лежить його собівартість, тобто витрати, витрачені на виробництво і реалізацію цього товару.
Залежно від стадії руху товару, на якій знаходиться товар, виділяють три види цін:
1. Відпускні ціни підприємства - це та ціна, по якій підприємство-виготівник випускає товар. Вона включає собівартість і прибуток підприємства.
2. Оптова ціна торгівлі це ціна, що включає націнку, окрім собівартості і прибутку підприємства.
3. Роздрібна ціна, по якій товар пропонується споживачеві. Вона є завершуючою ціною процесу ціноутворення. Окрім оптової ціни, роздрібна ціна включає торгівельну націнку, що забезпечує прибуток продавця. Таким чином, ціна складається з собівартості і прибутку.
Процес ціноутворення складається з декількох етапів:
1. Виявлення зовнішніх по відношенню до підприємства чинників, що впливають на ціни.
2. Постановка цілей ціноутворення.
3. Вибір методу ціноутворення.
4. Розробка цінової стратегії.
5. Ринкове коректування цін.
6. Страхування ціноутворення від несприятливих зовнішніх дій.
Основними чинниками, що впливають на ціни, є споживачі, ринкове середовище, учасники каналів руху товару (постачальники товарів, енергії і тому подібне), держава. Також ціна товару формується залежно від цілей, які прагне досягти підприємство. Цілями можуть бути: збут (має на увазі низький рівень цін і носить довгостроковий характер), поточний прибуток (рівень цін високий, характер мети короткостроковий), виживаність (рівень цін украй низький, короткостроковий період), якість (високий рівень цін, довгостроковий характер мети). Після встановлення мети, підприємство вибирає метод ціноутворення.
Виділяють п'ять методів встановлення цін:
1. Витратний. У основі формування ціни лежать витрати виробництва, до яких додається відсоток прибутку підприємства.
2. Агрегатний. Ціна по цьому методу визначається підсумовуванням цін на окремі складові частини товару. Цей метод застосовується для товарів, що складаються з наборів окремих виробів, наприклад, меблевий гарнітур, кавовий сервіз, для товарів, що складаються з окремих вузлів, наприклад, світильники, кухонні комбайни, годинник.
3. Параметричний. У основі цього методу лежить співвідношення якісних параметрів виробу, на основі чого визначається ціна товару.
4. Метод поточних цін. Використовується для товарів масового вжитку, що мають попит.
5. Метод на основі аналізу беззбиткової і забезпечення цільового прибутку.
Цей метод використовується підприємством для досягнення певної конкретної величини прибули. Виходячи з цієї величини, визначається ціна товару. Під стратегією ціноутворення розуміють вибір комерційним підприємством можливої динаміки зміни вихідної ціни товару в умовах ринку щонайкраще відповідною цілям підприємства в області ціноутворення. Після встановлення ціни товару і визначення напряму її зміни необхідно скоректувати ціну з врахуванням впливу ринку. Ціна товару визначається договором купівлі-продажу. Але щоб уникнути несприятливих наслідків в результаті можливої зміни ситуації на ринку, в договорі необхідно вказати "обмовки": можливості підвищення або пониження витрат, від вагання ринкової ціни. Підприємства виробляють свою продукцію за допомогою чинників виробництва.Чинники виробництва - це продуктивні сили, які беруть участь в створенні життєвих благ, використовуваних суспільством для задоволення своїх потреб. Чинники виробництва можна розділити на два види: особистий чинник працівники, і речовий чинник засобу виробництва. Для погодженого функціонування чинників виробництва необхідно використовувати їх в правильних кількісних співвідношеннях. Необхідно знайти таке співвідношення цих чинників, яке дозволить отримати найбільшу вигоду з їх використання. Тобто, потрібно визначити таке поєднання чинників виробництва, при якому витрати підприємства були б мінімальними, а ефективність виробництва максимальної. Це поєднання постійно міняється в результаті зміни цін на чинники виробництва.
Ринків робочої сили. Ринок праці або ринок робочої сили дозволяє її вільний продаж за ринковою ціною, яка є ціною угоди між постачальником робочої сили і наймачем з врахуванням передбаченого законом мінімальної заробітної плати. Інструментом, регулюючим стосунки в умовах ринку між працівником і наймачем, є контракт, що добровільно укладається. В процесі функціонування ринку праці взаємодіють ринковий попит на трудові послуги і ринкову пропозицію послуг праці. Під ринковим попитом на трудові послуги розуміють сукупний, загальний об'єм попиту на ці послуги при певній ціні з боку всіх підприємств. Під ринковою пропозицією послуг праці розуміють сукупний об'єм пропозиції цих послуг при певній ціні всіма працівниками. Ринок праці - ринок, на якому в результаті взаємодії попиту на працю і пропозиції трудових послуг формується ціна на трудові ресурси. Існує ряд чинників, які впливають на рівень попиту на трудові послуги і їх пропозицію. Попит на трудові послуги змінюється під впливом наступних чинників: рівень цін на трудові послуги; попит на продукцію, вироблену за допомогою трудових послуг; ціни і об'єми пропонованих ресурсів-замінників праці; технологічні зміни. Зміни в пропозиції трудових послуг можуть викликати такі чинники як: чисельність працівників, що пропонують свою працю; чисельність населення; фізичні здібності працівників; альтернативна вартість найманої праці; доступність інших джерел доходу, окрім заробітної плати. Праця можна розділити на декілька видів залежно від його кількісних і якісних характеристик: кваліфікований і некваліфікований, простий і складний, чоловічий, жіночий і дитячий. На всіх цих ринках рівень оплати праці диференційований. Ринок праці пов'язаний з проблемою зайнятості. При перевищенні пропозиції трудових ресурсів над попитом на них, на ринку праці присутнє безробіття, тобто проблема із зайвою робочою силою. Виникає ситуація неповної зайнятості. Безробіття буває структурна, фрикційна, циклічна, добровільна і вимушена. Структурне безробіття викликане нерівномірністю розвитку галузей народного господарства і надлишком спеціальностей, які застаріли. Фрикційне безробіття пов'язане із зміною місця роботи. Циклічне безробіття пов'язане із зміною фаз економічного циклу (криза, депресія, пожвавлення, під'їм). Вимушене безробіття виникає при встановленні ціни за працю вище рівноважної в результаті боротьби профспілок або державного регулювання. В цьому випадку підприємству доводиться зменшувати кількість найманих робітників. Добровільне безробіття існує за таких умов праці, які не владнують робітників або за наявності незайнятих місць. [№7, с. 45]
Ринки капіталу і природних ресурсів. Виділяють ринок капіталів і ринок природних ресурсів. Під капіталом розуміють створені людьми ресурси, які використовуються для виробництва товарів і послуг, тобто вони не можуть задовольняти потреби людини безпосередньо. Капіталволодіє рядом властивостей: властивістю збільшення, приросту капіталу по відношенню до первинної величини; відтворюваністю капіталу, збереженням капіталу. На ринку капіталів відбувається організація купівлі-продажу засобів виробництва, будівель, споруд, верстатів, устаткування. Попит на капітальні засоби існуватиме тоді, коли дохід від вкладення в них перевищуватиме відсоток від володіння коштовними паперами. Якщо величина відсотка знижується, то попит на засоби виробництва зростає. Також ринок капіталів характеризується його високою неоднорідністю і великою різноманітністю товарів. Ринок капіталів відрізняється великими масштабами об'єктів цього ринку і їх вартості. Цей ринок можна розділити на дві частини: 1. Ринок засобів виробництва. До нього відносяться: устаткування, засоби праці, виробничі будівлі, споруди і тому подібне 2. Ринок сировини, матеріалів, енергії, напівфабрикатів, з використанням яких і вживанням засобів праці виробляється продукт. "Ринок ресурсів визначають як ринок, на якому домогосподарства продають економічні ресурси, а фірми купують ці ресурси" (До. Р. Макконнелл, С. Л. Брю). Ціни на ці ресурси визначаються шляхом взаємодії пропозиції ресурсів домогосподарствами і попитом на них з боку підприємств. Закон попиту діє і на ринку ресурсів, тобто чим нижче ціна на конкретний ресурс, тим попит на нього вищий. Ринок ресурсів включає: природні, людські і створені людиною ресурси. Природні ресурси економісти об'єднують в понятті земля. Вони включають всі природні блага, природні ресурси, які людина може використовувати у виробництві. Наприклад, водні ресурси, земельні, різні родовища корисних копалини, ліси. Власники природних ресурсів надають їх на ресурсний ринок для здобуття грошового доходу від їх використання у виробництві. Основним доходом власників природних ресурсів є рента. Важлива особливість цих ресурсів полягає в їх рідкості, обмеженому кількості. Наявність земельних ресурсів, корисних копалини і ін. обмежено певною межею. У свою чергу їх рідкість обмежує процес виробництва, тобто ми не можемо виробити такий об'єм товарів і послуг, який необхідний для задоволення наших безмежних потреб. Таким чином, підприємство вимушене приймати рішення про те, що виробляти, а від виробництва чого відмовитися через рідкість ресурсів. Тобто, воно приймає рішення про ефективність використання обмежених природних ресурсів.
Розділ 3
Застосовування математичних моделей на практиці
3.1. Ціноутворення на ресурсів АПК
Використовуючи теоретичні знання, отримані у минулому розділі, автором була оцінена ресурсна потреба АПК Криму і наведений прогноз джерел її фінансування; розроблена модель ціноутворення на ресурси і структурна модель управління ризиками формування та функціонування ринку матеріально-технічних ресурсів АПК.
Була визначена прогнозна потреба сільгоспвиробництва на 2003р. з основних видів ресурсів: в дизпаливі і автомобільному бензині - 256тис. тонн; азотних добрив - 69,34 тис. тонн; фосфорних - 48,2тис.тонн; калійних – 37 тис.тонн; в коштах хімічного захисту - протравлювачі - 216,4 тонн, хімікатів для обробки посівів – 770 тонн, хімікатів для обробки багаторічних насаджень -3,9 тис.тонн.
В розрахунках з урахуванням середньорічної динаміки цін на нафтопродукти, мінеральні добрива, кошти захисту рослин щорічна потреба АПК, що прогнозується в фінансових ресурсах на придбання нафтопродуктів складе 384 млн. грн, протравлювачів насіння – 43 млн. грн, мінеральних добрив - 169,8 млн. грн, ядохімікатів і засобів захисту рослин - 97,7 млн. Таким чином, загальна потреба АПК Криму в фінансуванні ресурсних потреб складе 695 млн. грн.
Гостра ситуація склалася в АПК Криму з фінансуванням ресурсних потреб агровиробництва. У 2000р. більше як 70% ресурсних потреб АПК Криму фінансувалися за рахунок коштів господарств, в тому числі і притягнених ними кредитів фінансових установ. Відповідно до прогнозу ресурсних потреб АПК Криму на 2007 р. здійснений прогноз джерел покриття потреб (рис.1).

Рис. 1 Прогноз розподілу джерел покриття ресурсної потреби АПК Криму на 2007 р.
Головною особливістю системи ціноутворення АПК є порівняно низька еластичність попиту на споживані ресурси, а також низька міра взаємозамінності ресурсів.
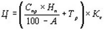
Як один з оптимальних механізмів ефективного поєднання і оптимізації зацікавленості сільськогосподарських товаровиробників і постачальників ресурсів пропонується використати подвійну модель формування цін на різні види ресурсів з боку їх виробників (постачальників) і з позицій самих сільгоспформувань (споживачів). Формула, що пропонується для розрахунку рівня ціни на ресурси, що поставляються для АПК:
(1)
де Ц- ціна на ресурси, що поставляються, Нп- планова норма прибутку, Тр- витрати на транспортування ресурсів, А- акцизний збір на даний вигляд ресурсу, Кс- коефіцієнт сезонності, що має тенденцію до росту з урахуванням коливань сезонної потреби.
Для сільськогосподарських формувань з метою розрахунку, прогнозування і зіставлення цін споживаних ресурсів і виробничої собівартості продукції, що виробляється пропонується використати формулу:
Ц=(Зср+Тр+Тт)*Кск (2)
де Ц - ціна на споживані ресурси, Зср - середньорічні витрати даного ресурсу на од. продукції або од. площі, Тр - транспортні витрати, Тт - торгові витрати, Кск - коефіцієнт сезонної знижки, що згладжує сезонні піки потреби в ресурсах.
Запропонований подвійний підхід до ціноутворення на ресурси для агропромислового комплексу заслуговує уваги, виходячи з перспективного визначення рівня держпідтримки аграрного сектора. Різниця в цінах, з точки зору постачальника і споживача ресурсу, за своїм економічним змістом відображає частину витрат, пов’язаних з веденням сільгоспвиробництва, яку повинно оплачувати суспільство, а не конкретний споживач.
Одним з основних чинників успішного господарювання в економічних умовах, що змінилися, є своєчасний моніторинг з основних видів ризиків. Ризик формування і функціонування ринку матеріально-технічних ресурсів агропромислового комплексу - це імовірність наступу всіх видів втрат в результаті недостачі, невчасного постачання, неналежної якості, або неефективного використання ресурсів.
По причинах виникнення та числу об’єктів, що зазнають ризику, виділимо фундаментальні і специфічні ризики на ринку матеріально-технічних ресурсів. Серед фундаментальних ризиків виділені групи економічних ризиків, політичних і соціальних. Їх вплив, оцінений нами в динаміці, за період 1990-2007гг. Величина сукупного ризику формування і функціонування ринку матеріально-технічних ресурсів АПК за період реформ зросла майже в 3 рази (з 3,21 в 1990р. до 9,21 в 2007р.). Найбільший ріст відмічений в групі соціальних ризиків - в 4,3 рази.
Нами була проведена оцінка основних груп специфічних ресурсних ризиків по окремих сферах АПК, що дозволило скласти ранжируваний ряд по мірі імовірності настання ризикових подій в кожній зі сфер: соціальна інфраструктура (1,82), харчова промисловість (1,05), виробнича інфраструктура (0,94), сільське господарство (0,89) і сфера галузевої науки (0,82).
Найбільш важливим етапом управління ризиками є аналіз і оцінка їх сукупного рівня, який в запропонованій нами методиці може проводитись як на рівні окремих господарюючих суб’єктів, так і на рівні галузей, окремих сфер і АПК загалом.
Оцінка складу сукупного (для АПК в цілому) специфічного ризику формування і функціонування ринку матеріально-технічних ресурсів (17,9) виявила, що по мірі імовірності настання ризикових подій найбільш суттєвими є група фінансових ризиків (11,48), техніко-технологічних (2,25) і природно - екологічних (1,96).
3.2. Шляхи оптимізації ціноутворення на ринках ресурсів
Установити ціну товару складно тому, що вона - величина принципово хитлива. Тому питання ціноутворення на ринку ресурсів є дуже важливим, оскільки ціна товару безпосередньо впливає на нього.
При розробці ціни на ринках факторів виробництва варто брати до уваги:
Яке місце займає ціна на фактори виробництва серед засобів конкурентної боротьби на кожнім ринку, на яких діє фірма?
Який метод розрахунку ціни повинний бути обраний?
Якою повинна бути цінова політика у відношенні до факторів виробництва? [27, c.11]
По ступені впливу різних факторів на рівень установлюваної ціни іноземні фірми ранжують їх у такий спосіб:
витрати виробництва;
ціни конкурентів-експортерів у даній країні;
ціни місцевих фірм-конкурентів;
величина попиту;
транспортні витрати;
надбавки і знижки на користь посередника;
ввізні мита й інші збори;
реклама й інші елементи стимулювання збуту.
Перш ніж розробити стратегію формування ціни, фірма повинна проаналізувати всі зовнішні фактори, що впливають на рішення. Рішення за цінами, так само як і по товароруху, значно залежать від зовнішніх факторів. У цьому їхня відмінність, наприклад, від рішень по продуктах і просуванню, що у більшому ступені контролюються фірмою.
Існують п'ять етапів розробки цінової стратегії - це формулювання цілей ціноутворення, загальна політика ціноутворення, безпосередньо цінова стратегія, реалізація цінової стратегії, пристосування цін. Коротко розглянемо їх.
Цілі ціноутворення . Стратегія ціноутворення повинна бути ув'язана з загальними цілями фірми і відбивати їх. Природно тому, що стратегії можуть розрізнятися в широкому діапазоні. Існують три основні цілі ціноутворення, з яких може вибирати фірма: вони засновані на збуті, на прибутках і на існуючому положенні. У першому випадку підприємство зацікавлене в росту експорту чи максимізації частки на ринку, у другому - у максимізації прибутку, у третьому - нейтралізувати дії конкурентів, зменшити запити постачальників чи стабілізувати ціни.
У першому випадку підприємство вибирає такі мети по одній з наступних причин: воно зацікавлено в насиченні ринку збуту як важливому кроці на шляху до контролю над ринками і стабільними надходженнями валюти, підприємство прагне максимізувати обсяг збуту і може піти на зниження доходу з одиниці виробу для одержання більшого прибутку (валютних надходжень); воно припускає, що більший обсяг збуту дозволить знижувати розмір відносних витрат [27, c.17].
В другому випадку підприємство встановлює як мету одержання високої маси прибутку, установлюючи стабільний її розмір протягом ряду років. Прибуток може виражатися у відносному чи абсолютному вимірі. Високі відносні прибутки звичайно спираються на престижні ціни, а високий загальний доход звичайно пов'язаний з цінами проникнення.
Загальна політика ціноутворення . У рамках такої політики рішення за цінами погоджуються з цільовим ринком (ринками) фірми, характером і структурою маркетингу. Вона передбачає скоординовану сукупність дій і стратегію, що включає коротко- і довгострокові цілі.
При визначенні загальної цінової політики окремі рішення (взаємозв'язок цін на товари в рамках асортименту, використання спеціальних знижок і змін цін, співвідношення своїх і цін конкурентів, метод формування цін на нові товари) погоджуються в інтегровану систему. Як відзначав один американський експерт, можливості стратегії ціноутворення фірми визначають наступні п'ять факторів: реальні витрати і прибуток, цінність для споживача в порівнянні з пропозиціями конкурентів, розходження між сегментами ринку чи факторами попиту споживачів, можливі реакції конкурентів і маркетингові цілі фірми.
Цінова стратегія базується на витратах, попиті чи конкуренції. У першому випадку ціни визначаються виходячи з витрат виробництва, вартості обслуговування і накладних витрат, до яких додається розрахунковий прибуток. В другому випадку ціна визначається після вивчення попиту споживачів і встановлення цін, прийнятних для цільового ринку. Такий вид стратегії використовується по товарах, для яких ціна – ключовий фактор у прийнятті рішень споживачами. У третьому випадку ціни можуть бути на рівні ринкових, вище чи нижче їх. Такий тип ціноутворення розповсюджений при конкуренції аналогічних видів продукції. Усі три підходи знаходяться у взаємозв'язку і взаємодії.
Реалізація цінової стратегії. При її реалізації крім загальних концепцій, розглянутих вище, використовується велика кількість різних рішень, пов'язаних між собою. У їхнє число крім інших входять наступні:
установлення стандартних і мінливих цін;
використання єдиних і гнучких цін;
застосування концепції взаємозв'язку ціни і якості;
використання концепції цінового лідерства;
установлення цін на масові закупівлі;
використання практики цінових ліній.
Стандартні ціни встановлюються на порівняно тривалий період часу. Замість перегляду цін при збільшенні витрат виробництва фірми можуть зменшити розмір упакування, вагу товару. При перемінному ціноутворенні фірма спеціально змінює ціни, щоб зреагувати на зміни в витратах чи попиті споживачів. Можливе сполучення стандартних і мінливих цін. У рамках системи єдиних цін фірма встановлює єдину ціну для всіх споживачів, що хотіли б придбати товар (послугу) при аналогічних умовах. Така політика зміцнює довіру споживачів, її легко здійснювати, при ній не треба торгуватися. Гнучке ціноутворення дозволяє змінювати ціни в залежності від здатності споживачів торгуватися чи їхньої купівельної сили [27, c.18-19].
Зв'язок ціни і якості - це концепція, що враховує думку споживачів про те, що високі ціни означають високу якість, а низькі - низьку якість. При встановленні цін це особливо важливо для ситуацій, коли про якість можна судити тільки за ціною. Важливо, однак, щоб ціни належним чином відбивали якість і образ, що фірма хоче створити для своєї продукції. У випадках престижних цін, заснованих на цій концепції, передбачається, що споживачі не отримують товари (послуги) за цінами, що вважаються занадто низькими.
При ціновому лідерстві фірма рекламує і продає ключову продукцію зі свого товарного асортименту за ціною, що забезпечує частку прибутку нижче звичайної. Цим виробник прагне підвищити інтерес споживачів до всієї асортиментної групи.
Установлення цін на масові закупівлі являє собою практику, при якій фірма пропонує споживачам знижки за покупки у великих кількостях, щоб збільшити обсяг реалізації. Цінові лінії пов'язані з продажем продукції в діапазоні цін, де кожна ціна відбиває визначений рівень якості. Замість встановлення однієї ціни для окремої моделі товару фірма продає дві чи більше моделей (з різними рівнями якості) за різними цінами.
Пристосування ціни. Практична реалізація цінової стратегії вимагає систематичного "настроювання" цін, що враховує зміни у витратах, співвідношенні попиту та пропозиції, конкуренції, митному регулюванні і т.д. Пристосування цін відбувається за посередництвом змін у прейскурантах, застережень, націнок, надбавок, знижок, компенсацій. Важливо, однак, щоб ціна використовувалася як адаптивний механізм.
Отже, ведення цінової політики, розробка цінових стратегій, їхня практична реалізація - проблема не тільки винятково складна, але і "тонка". Її рішення вимагає відмінного знання обстановки на ринку, високій кваліфікації осіб, що приймають рішення, творчого підходу, інтуїції. Установлюючи ціни, варто не тільки знати їхню нижню і верхню межі, за границями яких їхнє застосування економічно невиправдане чи психологічно шкідливо, але і гнучко маневрувати цінами в цих межах, з огляду на усі фактори, причому так, щоб у кожен відрізок часу ці ціни були оптимальними для продавця і споживача.
Узяти, наприклад, ціни на престижні товари і товари, розраховані на "звичайного" покупця. Престижні ціни завжди високі, вони призначені для залучення ринкового сегмента, що більш зацікавлений як товар, чи його унікальному статусі і менш звертає увагу на ціну. Зовсім інша справа - реакція масового покупця на ціни звичайних товарів.
Зростаюче число закордонних фірм при розрахунку ціни і її встановленні починають виходити з цінності своїх товарів, що відчувається споживачами. Основним фактором ціноутворення вони вважають не свої витрати, а купівельне сприйняття товару і його виробника. Для формування у свідомості споживачів представлення про цінність товару вони використовують у своїх комплексах маркетингу нецінові прийоми. Ціна в цьому випадку покликана відповідати ціннісній значимості товару, що відчувається [27, c.22].
У політекономії ціна - це грошове вираження вартості товару, економічна категорія, що служить для непрямого виміру величини витраченого на виробництво товару суспільно необхідного робочого часу [17, c.52]. Однак у практиці торгівлі використовують безліч видів цін, пов'язаних з різними особливостями купівлі-продажу. Для позначення цих цін існують спеціальні прикметники, уживання яких обов'язково (інакше може виникнути плутанина, чревата великими збитками).
Виходячи зі сказаного, ціна може бути: базисна, використовувана для визначення сорту чи якості товару; її погодять на переговорах між продавцем і покупцем; вона служить вихідної для визначення ціни фактично поставленого товару, коли властивості останнього відрізняються від обговорених у контракті; при цьому в контракті обмовляються знижки і надбавки, що можуть також залежати і від кон'юнктури ринку; купівлі / продажу (чи фактурна), обумовлена умовами постачання, обумовленими в контракті; для стислості фактурну ціну постачають ще однією вказівкою: "сіф", "фоб", "фор" і "Франко": сіф (вартість, страховка, фрахт - по-англійські) означає, що продавець зобов'язаний за свій рахунок зафрахтувати судно, оплатити вартість перевезення (фрахт), оплатити митні витрати і страховку і взяти на себе ризик загибелі чи псування товару до того моменту, як вантаж перетне лінію борта судна при навантаженні, а покупець бере на себе ризик загибелі чи псування після перетинання лінії борта, фоб (вільний на борті - по-англійські) означає, що продавець оплачує всі транспортні, страхові і митні витрати до моменту доставки товару на борт судна, а покупець фрахтує судно, страхує вантаж і несе ризик його загибелі чи ушкодження; у США (і тільки в цій країні!) термін "фоб" має те ж значення, що і "Франко"; фор (вільний на рейках - по-англійські) означає теж же саме, що і "франко-вагон", тобто що продавець повинний за свій рахунок і ризик відправити вантаж на залізничну станцію і завантажити товар у залізничний вагон, а всі інші витрати несе покупець; Франко - умова продажу, відповідно до якої продавець зобов'язується доставити товар у визначене місце за свій рахунок і ризик, причому в ціну включаються транспортні, страхові і митні витрати; можуть бути умови "франко-завод постачальника" (чи вартість товару на місці виробництва без яких-небудь надбавок, викликаних подальшим перевезенням, страховкою і т.д.), "франко-вагон (судно) станції (порту) відправлення", "франко-вантажівка", "франко-границя", "франко-вагон (судно) на станції (у порту) призначення.", "франко-склад", і т.д.; світова, обумовлена в залежності від виду товару: по одних товарах (звичайно сировинних) - рівнем цін експортерів чи країн-імпортерів, по іншим - цінами бірж, аукціонів, а по готових виробах - цінами товарів ведучих у світі фірм, що спеціалізуються у виробництві й експорті продукції даного виду; ціни ці також розрізняються в залежності від того, чи обговорений платіж у вільно конвертованій валюті чи ні; монопольними, установлюваними монополіями вище чи нижче ціни виробництва; звичайно монополії встановлюють можливо більш високі ціни збуту своїх товарів і можливо більш низькі ціни на товари, що купуються в інших фірм; номінальна, яка публікується в прейскурантах, довідниках і біржових котируваннях; оптова, по якій поставляється великими партіями товар (надаються послуги) при продажі торговим і промисловим підприємствам; публикуємі в різного роду джерелах дані про оптових цінах далеко не завжди відбивають дійсне положення справ, тому що експортери зацікавлені показати більш високі, а імпортери - більш низькі ціни; пропозиції - зазначена в оферті (офіційній пропозиції продавця) без знижок; виробництва, рівна витратам виробництва плюс середній прибуток на весь авансований капітал; роздрібна, по якій продаж ведеться окремим покупцям дуже малими партіями (1-3 шт.); заснована на сумі витрат виробництва і звертання товарів плюс прибуток виробничих і збутових організацій, плюс (але не завжди встановлюваний) податок з обороту; ринкова, по якій йде купівля-продаж на даному ринку; ковзна, котра встановлюється договором у залежності від деяких умов (біржового котирування, інфляції і т.д.) на визначену дату (наприклад, постачання товару покупцю; фактичного одержання товару і т.д.); нерідко є ринковою на дану дату; довідкова (особливі види - номінальна, прейскурантна) звичайно відбиває рівень фактично укладених угод за деякий минулий період (тиждень, місяць) і використовується в переговорах для установлення вихідної ціни; найчастіше застосовується при терміновому продажі невеликих партій товарів, а при великих партіях до довідкової ціни застосовують ті чи інші знижки; довідкові ціни регулярно публікує видання ООН "Monthly Bulletіn of Statіstіcs; попиту, що складається на ринку покупця; тверда, котра встановлюється в договорі закупівлі-продажу і не підлягає зміні [25, c.89-93].
Таким чином, можна констатувати, що оптимізація процесу ціноутворення повністю пов’язана із тим типом ринку де працює компанія та видом продукції, що вона пропонує. Оптимізація процесу ціноутворення являє собою вибір із існуючих видів цін найбільш вигідного для компанії і, саме основне, можливість застосування даної ціни при укладанні контракту.
Висновки
Ринки факторів – це спеціальні ринки, де на відміну від ринків продукції, з боку попиту виступають фірми, які споживають виробничі фактори, з боку позиції – власники факторів – домогосподарства. На ринках факторів визначаються ціни та обсяги використання факторів. Ринки факторів виробництва вважаються вторинними по відношенню до ринків готової продукції, тому що стан перших визначаються станом других.
Функціонування ринків факторів виробництва здійснюється за тими ж принципами, що і ринки продукції. Типу ринкової структури дослідження, як формується попит на фактори, які чинники його визначають, як формується пропозиція факторів, і які чинники визначають цю пропозицію.
Взаємодії попиту і пропозиції дозволяє дослідити проблеми ціноутворення на фактори виробництва, а також вплив державної політики на стан цих ринків.
Під стратегією ціноутворення розуміють вибір комерційним підприємством можливої динаміки зміни вихідної ціни товару в умовах ринку щонайкраще відповідною цілям підприємства в області ціноутворення. Після встановлення ціни товару і визначення напряму її зміни необхідно скоректувати ціну з врахуванням впливу ринку. Ціна товару визначається договором купівлі-продажу. Але щоб уникнути несприятливих наслідків в результаті можливої зміни ситуації на ринку, в договорі необхідно вказати "обмовки": можливості підвищення або пониження витрат, від вагання ринкової ціни. Підприємства виробляють свою продукцію за допомогою чинників виробництва.Чинники виробництва - це продуктивні сили, які беруть участь в створенні життєвих благ, використовуваних суспільством для задоволення своїх потреб. Чинники виробництва можна розділити на два види: особистий чинник працівники, і речовий чинник засобу виробництва. Для погодженого функціонування чинників виробництва необхідно використовувати їх в правильних кількісних співвідношеннях. Необхідно знайти таке співвідношення цих чинників, яке дозволить отримати найбільшу вигоду з їх використання. Тобто, потрібно визначити таке поєднання чинників виробництва, при якому витрати підприємства були б мінімальними, а ефективність виробництва максимальної. Це поєднання постійно міняється в результаті зміни цін на чинники виробництва.
Список використаної літератури
1. Блауг М. Економічна теорія в ретроспективі. Київ: Видавництво Соломії Павличко "Основи", 2001, 670 с.
2. Ватаманюк З.Г., Панчишин С.М., Реверчук С.К. Економічна теорія: макро- і мікроекономіка. Київ: Видавничий дім "Альтернативи", 2001, 608 с.
3. Воробйов Є.М., Гриценко А.А., Лісовицький В.М., Соболєв В.М. Економічна теорія. Харків, Київ: ТОВ "Карвін", 2003, 704 с.
4. Гальчинський А.С., Єщенко П.С., Палкін Ю.І. Основи економічних знань . Київ: Вища школа, 2002, 543 с.
5. Гіл Ч.В.Л. Міжнародний бізнес: Конкуренція на глобальному ринку. Київ: Видавництво Соломії Павличко "Основи", 2001, 856 с.
6. Заблоцький Б.Ф. Перехідна економіка. Київ: Видавничий центр "Академія", 2004, 512 с.
7. Климко Г.Н., Нестеренко В.П. Основи економічної теорії: політекономічний аспект. Київ: Вища школа- Знання, 1997, 743 с.
8. Ковальчук В.М. Загальна теорія економіки (теоретична економіка). Тернопіль: ТАНГ - "Астон", 1998, 368 с.
9. Козик В.В., Панкова Л.А., Даниленко Н.Б. Міжнародні економічні відносини. Київ: Знання-Прес, 2002, 406 с.
10.Крайник О.П., Клепикова З.В. Фінансовий менеджмент. Львів, Київ: Державний ун-т "Лвівська політехніка", Дакор, 2000, 260 с.
11.Лановик Б.Д., Матисякевич З.М., Матейко Р.М. Економічна історія України і світу. Київ: Вікар, 2001, 477 с.
12.Литвиненко Я.В. Сучасна політика ціноутворення. Київ: МАУП, 2001, 152 с.
13.Лищишин О. Основи ринкової економіки. Львів: Фонд Євразія в Україні, 1995, 450 с.
14.Майорова Т.В. Інвестиційна діяльність . Київ: ЦУЛ, 2003, 376 с.
15.Малуй О.О., Гриценко О.А., Гриценко Л.В., Дарнопих Г.Ю. Основи економічної теорії. Київ: Юрінком Інтер, 2003, 480 с.
16.Мочерний С.В. . Економічна теорія. Київ: Видавничий центр "Академія", 2001, 656 с.
17.Мочерний С.В. Політична економія. Київ: Знання-Прес, 2002, 687 с.
18.Мочерний С.В., Устенко О.А., Фомішин С.В. Політична економія. Херсон: "Дніпро", 2002, 794 с.
19.Мочерний С.В., Устенко О.А., ЧеботарС.І. Основи підприємницької діяльності. Київ: Видавничий центр "Академія", 2001, 280 с.
20.Носаченко І.М. Зовнішньоекономічні аспекти ринкової економіки. Львів: Світ, 2000, 112 с.
21.Рогач О.І., Філіпенко А.С., Шемет Т.С. Міжнародні фінанси. Київ: Либідь, 2003, 784 с.
22.Рогач О.І., Шнирков О.І. . Транснаціоналізація світового господарства та перехідні економіки. Київ: ВЦ "Київський університет", 1999, 302 с.
23.Савченко А.Г., Пухтаєвич Г.О., Тітьонко О.М. Макроекономіка. Київ: Либідь, 1999, 288 с.
24.Суторміна В.М., Федосов В.М., Рязанова Н.С. Фінанси зарубіжних корпорацій. Київ: Либідь, 1993, 247 с.
25.Філіпенко А.С., Боринець С.Я., Вергун В.А. Міжнародні економічні відносини.Сучасні міжнародні економічні відносини. Київ:Либідь, 1992,255с.
26.Філіпенко А.С., Будкін В.С., Бутенко О.В. Міжнародні економічні відносини. Історія міжнародних економічних відносин. Київ: Либідь, 1992, 191 с.
27.Циганкова Т.М. Міжнародний маркетинг. Київ: КНЕУ, 1998, 120 с.
28.Червань В.П., Рум`янцев А.П., Романенко Л.Ф. Міжнародна економічна діяльність. Київ: Видавничий Дім "Слово", 2003, 280 с.
Похожие работы
-
Ринкова пропозиція та ринок досконалої конкуренції
Реферат на тему: "Ринкова пропозиція та ринок досконалої конкуренції" 1. Ринкова пропозиція Розглянемо фактори, що впливають на поведінку підприємства при прийнятті рішення щодо обсягу продукції, який пропонуватиметься для продажу на ринку.
-
Характерні риси олігополій
Особливості поведінки фірм в умовах олігополії. Характерні риси олігополії. Бар’єри входження в олігополістичну галузь. Ефект масштабу. Ефект злиття. "Жорстка олігополія” та "розмита олігополія". Таємна змова фірм. Теорія ігор.
-
Структура ринку і функціонування його основних елементів
Особливості взаємозв'язку ринків ресурсів та продуктів. Домашні господарства як основні суб'єкти ринкової економіки. Специфіка ринків товарів, послуг, факторів виробництва (землі, капіталу, праці), їх визначальні характеристики та умови існування.
-
Монопольна влада і цінова дискримінація
Реалізація монопольної влади на основі цінової стратегії монополії. "Витрати плюс" як принцип монополістичного ціноутворення. Приблизне правило ціноутворення. Показник "відносної націнки" - індекс Лернера. Види цінової дискримінації.
-
Особливість ринку факторів виробництва
Ринки факторів виробництва Ринки факторів – це спеціальні ринки, де на відміну від ринків продукції, з боку попиту виступають фірми, які споживають виробничі фактори, з боку позиції – власники факторів – домогосподарства. На ринках факторів визначаються ціни та обсяги використання факторів. Ринки факторів виробництва вважаються вторинними по відношенню до ринків готової продукції, тому що стан перших визначаються станом других.
-
Міжнародна торгівля
Реферат на тему: Міжнародна торгівля 1. Міжнародна торгівля: визначення, основні поняття, рівновага на світовому ринку 2. Товари, що торгуються та товари, що не торгуються
-
Методичні підходи до визначення ціни
Встановлення ціни як один із найважливіших етапів цінової політики підприємства. Інформація про урядову політику та власне виробництво. Методи обліку ціни продукції в рамках витратного підходу. Методи визначення ціни на основі попиту споживачів.
-
Утворення похідного попиту і монопсонія
Зв'язок попит на продукти завжди пов’язувався з максимізацією корисності їх для споживачів, а пропозиція - з максимізацією прибутку виробників. Утворення попиту домогосподарствами, а пропозиції – підприємствами. Галузевий та ринковий попит на ресурс.
-
Моделі олігополістичного ціноутворення
Дві тенденції олігополістичного ціноутворення. Моделі олігополістичного ціноутворення. Модель "ламаної кривої попиту". "Дилема олігополістів". Цінові стратегії у випадку дилеми олігополістів. Максимізація сукупних прибутків. Картель.
-
Кон'юнктурні дослідження попиту і пропозиції
Ринковий механізм рівноваги в економіці, його закономірності та основні етапи. Чинники, що визначають рівень попиту та пропозиції на ринку, їх динаміку. Співвідношення попиту і пропозиції на фазах економічного циклу. Еластичність економічних процесів.