Название: Экономические системы
Вид работы: учебное пособие
Рубрика: Экономика
Размер файла: 51.04 Kb
Скачать файл: referat.me-383041.docx
Краткое описание работы: Понятие и разновидности экономических систем, их отличительные признаки. Модели и назначение разных форм экономики, решаемые ими задачи. Сущность и основные черты рыночного хозяйства. Основы теории спроса и предложения. Конкуренция в рыночной системе.
Экономические системы
1. Экономические системы
Экономическая система представляет особый механизм, созданный для решения двухсторонних проблем редкости и выпуска. Поскольку экономические ресурсы ограничены по сравнению с потребностями общества в товарах и услугах, необходимы определенные способы их размещения между альтернативными направлениями использования.
Экономическая система – упорядоченная совокупность социально-экономических и организационных отношений между производителями и потребителями благ и услуг.
В основе выделения экономических систем могут лежать различные критерии:
– экономическое состояние общества на определенном этапе развития (Россия эпохи Петра I, фашистская Германия);
– стадии социально-экономического развития (общественно-экономические формации в марксизме);
– хозяйственные системы, характеризуемые тремя группами элементов: духом (основными мотивами экономической деятельности), структурой и субстанцией в немецкой исторической школе;
– типы организации, связанные со способами согласования действий хозяйствующих субъектов в ордолиберализме;
– общественно-экономическая система, основанная на двух признаках: форме собственности на экономические ресурсы и способе координации экономической деятельности.
В современной научной и учебной литературе наибольшее распространение получила классификация по последнему из выделенных критериев. Исходя из этого различают традиционную, командную, рыночную и смешанную экономику.
Традиционная экономика основана на господстве традиций и обычаев в хозяйственной деятельности. Техническое, научное и социальное развитие в таких странах весьма ограничено, т. к. оно вступает в противоречие с хозяйственным укладом, религиозными и культурными ценностями. Эта модель экономики была характерна для древнего и средневекового общества, но сохраняется и в современных слаборазвитых государствах.
Командная экономика обусловлена тем, что большинство предприятий находится в государственной собственности. Они осуществляют свою деятельность на основе государственных директив, все решения о производстве, распределении, обмене и потреблении материальных благ и услуг в обществе принимаются государством. Сюда относят СССР, Албанию и т.д.
Рыночная экономика определяется частной собственностью на ресурсы, использованием системы рынков и цен для координации экономической деятельности и управления ею. В экономике свободного рынка государство не играет никакой роли в распределении ресурсов, все решения принимаются рыночными субъектами самостоятельно, на свой страх и риск. Сюда обычно относили Гонконг.
В сегодняшней реальной жизни нет примеров чисто командной или чисто рыночной, полностью свободной от государства экономики. Большинство стран стремятся органически и гибко сочетать рыночную эффективность с государственным регулированием экономики. Такое объединение образует смешанную экономику.
Смешанная экономика представляет такую экономическую систему, где и государство, и частный сектор играют важную роль в производстве, распределении, обмене и потреблении всех ресурсов и материальных благ в стране. При этом регулирующая роль рынка дополняется механизмом государственного регулирования, а частная собственность сосуществует с общественно-государственной. Смешанная экономика возникла в межвоенный период и по сей день представляет наиболее эффективную форму хозяйствования. Можно выделить пять основных задач, решаемых смешанной экономикой:
– обеспечение занятости;
– полное использование производственных мощностей;
– стабилизация цен;
– параллельный рост заработной платы и производительности труда;
– равновесие платежного баланса.
Их достижение осуществлялось государствами в разные периоды по-разному, с учетом взаимного опыта. Условно можно выделить три модели смешанной экономики.
Неоэтатистская (Франция, Англия, Италия, Япония) характеризуется развитым национализированным сектором, активной антициклической и структурной политикой, проводимой в соответствии с индикативными планами, развитой системой трансфертных платежей.
Неолиберальная модель (Германия, США) также предполагает меры антициклического характера, но основной упор делается на обеспечение государством условий для нормального функционирования рынка. Она рассматривается как наиболее эффективная система регулирования. Государство, по существу, вмешивается лишь для защиты конкуренции.
В основе модели согласованного действия (Швеция. Голландия, Австрия, Бельгия) лежит принцип согласия представителей социальных сторон (правительства, профсоюзов, работодателей). Через специальные налоги на инвестиции правительство препятствует «перегреву» экономики, регулирует рынок труда. Специальные законы воздействуют на соотношение роста заработной платы и производительности труда, прогрессивное налогообложение способствует выравниванию доходов. В странах этой модели создана мощная система социального обеспечения, проводится активная структурная политика.
В настоящее время в России существует эклектическая экономическая система, состоящая из элементов административно-командной системы, рыночной экономики свободной конкуренции и современной рыночной системы. В бывших советских азиатских республиках к этому конгломерату добавляются еще и элементы традиционной системы. Поэтому назвать существующие в нашей стране имущественные отношения и организационные формы экономической системой (пусть даже эклектичной) можно достаточно условно. Отсутствует важная особенность системы – ее относительная стабильность. Ведь в отечественной хозяйственной жизни все находится в движении, имеет переходный характер. Этот переход, судя по всему, растягивается на десятилетия, и с этой точки зрения переходная экономика тоже может быть названа системой.
Переходная экономика – экономика, которая находится в состоянии изменений, перехода от одногосостояния в другое, как в пределах одного типа хозяйства, так и от одного к другому типу хозяйства занимает особое место в развитии общества.
От переходной экономики следует отличать переходный период в развитии общества, в ходе которого совершается смена одного типа экономических отношений на другой.
Для переходных экономик стран бывшего «социалистического лагеря» сегодня существует широкий спектр перспектив: от деградации к зависимой все более отстающей системе хозяйствования развивающихся стран до превращения в новые индустриальные государства; от сохраняющих «социалистические» атрибуты и базирующихся на общественной собственности экономик типа китайской до праволиберальных, основанных на частной собственности систем, начавших с реализации принципов «шоковой терапии». При этом в переходной экономике каждой страны пересекаются три фундаментальные тенденции. Первая из них заключается в постепенном умирании (как естественном, так и искусственном) «мутантного социализма», получившего свое название по сравнению не с теоретическим идеалом, а с реальной существующей в мировой практике тенденции социализации. Вторая тенденция связана с генезисом отношений постклассического мирового капиталистического хозяйства (современной рыночной экономики, основанной на частно-корпоративной собственности). Третья тенденция заключается в усилении процесса социализации – возрастания роли общественных (групповых, национальных и интернациональных) ценностей в экономическом развитии и гуманизации общественной жизни как предпосылки любых современных трансформаций. Очевидно, что в таких условиях окончательный выбор экономической системы в России будет зависеть в конечном счете от соотношения политических сил в стране, характера проводимых преобразований, масштабности и эффективности осуществляемого реформирования всех сфер общественной жизни, а также от адаптации общества к переменам.
Подводя итог, отметим, что экономические системы многомерны. Они могут быть формализованы: ES = f (A1, A2, A3 … An). Иначе говоря, экономическая система (ES) определяется своими свойствами (А), где существует n таких свойств. Это и означает, что экономическая система не может быть определена в терминах единственной характеристики.
2. Сущность и основные черты рыночного хозяйства
Эволюция общественных форм производства и хозяйства привела к возникновению современной рыночной системы.
Рынок – это любое взаимодействие, в которое люди вступают для торговли с друг другом, это сфера обмена внутри страны и между странами, связывающая между собой производителей и потребителей продукции.
Некоторые рынки имеют формальные правила и функционируют в определенном месте (фондовые биржи), другие – децентрализованы и неформальны (устные информационные системы, связанные с поиском работы).
Углубленное понимание категории «рынок» требует учета его места во всей системе общественного воспроизводства, которая включает четыре стадии: производство, распределение, обмен и потребление. Конечной целью экономической жизни является потребление, однако без производства невозможно создание товарной массы. Распределение играет важную роль в складывании социальных отношений, в определении материального положения различных слоев общества. Обмен также оказывает сильное обратное воздействие на производство, обеспечивая его непрерывность и согласованность. Распределение и обмен опосредуют связь между производством и потреблением, образуя своеобразный механизм их взаимодействия.
Информационная функция проявляется в том, что через постоянно меняющиеся цены, процентные ставки на кредит рынок дает участникам производства объективную информацию об общественно необходимом количестве, ассортименте и качестве тех товаров и услуг, которые поставляются на рынок.
Посредническая функция рынка позволяет продавцу выбрать наиболее оптимального покупателя, а потребитель имеет возможность выбрать оптимального поставщика.
Ценообразующая функция способствует установлению подвижной связи между стоимостью и ценой, чутко реагирующей на изменения в производстве, в потребностях, в конъюнктуре (Шевчук Д.А. Ценообразование. Учебное пособие. – М.: ГроссМедиа: РОСБУХ, 2008).
Регулирующая функция связана с воздействием рынка на все сферы экономики и прежде всего производство. Конкуренция стимулирует снижение затрат на единицу продукции, поощряет рост производительности труда, технический прогресс, повышение качества продукции. Она создает наиболее оптимальную структуру экономики. В современных условиях экономика управляется не только «невидимой рукой», о силе которой писал А. Смит, но и государственными рычагами.
Санирующая функция. С помощью конкуренции рынок очищает общественное производство от экономически неустойчивых, нежизнеспособных хозяйственных единиц и, напротив, дает зеленый свет более предприимчивым и эффективным. В результате этого непрерывно повышается средний уровень устойчивости всего хозяйства в целом.
Одно из самых широко используемых в экономической теории описаний рыночной экономики базируется на рассмотрении так называемого экономического цикла. Эта модель представляет собой совокупность взаимоотношений между участниками рынка, получившей название кругооборота товарных и денежных потоков в экономике. Ее простейшая форма не учитывает влияние государства на экономику, роль финансового рынка, а также действие внешнеэкономических факторов.
Домохозяйство – представляет коллектив людей, имеющих общую собственность и доходы и принимающих общие решения. Оно, являясь собственником основных факторов производства, выступает как их продавец и одновременно как потребитель товаров и услуг.
Предприятия, покупая ресурсы у населения, действует как покупатель, а реализуя готовый товар, как продавец. Таким образом, домохозяйства и предприятия связаны двумя рынками: ресурсов и товаров. Навстречу потоку факторов производства, товаров и услуг, движущемуся на схеме против часовой стрелки, движутся деньги (доходы от факторов производства, потребительские расходы, предпринимательские доходы и затраты на ресурсы).
В действительности отношения между людьми в рыночной системе носят более сложный характер, т. к. кроме домохозяйств и предприятий активными экономическими субъектами выступают государство и банки.
Субъектно-объектная структура рыночного хозяйства – это система взаимоотношений между субъектами, отражающая их цели, разнонаправленные, но встречно-согласующиеся экономические интересы, характер, формы организации и взаимодействия по поводу движения разнообразных объектов рыночных связей.
Объектами рыночных связей служат товары и услуги, факторы производства, деньги, ценные бумаги, государственные льготы и субсидии, социальные выплаты и т.д. Субъекты вступают в рыночные отношения в силу того, что обладают различными потребностями и объектами обмена. Однако объекты рынка должны быть одновременно равными (по затратам труда) и неравными (по потребительским качествам) друг другу. Снятие этого противоречия происходит в результате обмена. В развитии данного процесса исторически выделяется два этапа:
· непосредственный (натуральный) обмен продуктами, элементы которого сохранились и в современной экономике в виде бартера;
· товарный обмен.
Товар – это продукт труда, предназначенный для обмена или продажи. К проблеме товара и его свойств каждая научная школа подходила со своей методологией. Представители классической политэкономии явились создателями трудовой теории стоимости (объективной парадигмы стоимости), которая получила законченное выражение в марксизме. Согласно ей товар имеет два свойства: потребительную стоимость и стоимость. Потребительная стоимость – это способность товара удовлетворять ту или иную потребность людей. Стоимость же товара определяет затраченный на его изготовление труд. Стоимость является общественным свойством, поэтому ее величина определяется не индивидуальными, а общественно необходимыми затратами труда, совершенными при существующих нормальных условиях производства и при среднем уровне умелости и интенсивности труда. При этом роль измерителя стоимости выполняет особый товар – деньги (Шевчук Д.А., Шевчук В.А. Деньги. Кредит. Банки. Курс лекций в конспективном изложении: Учеб-метод. пособ. – М: Финансы и статистика, 2006). Иной подход к проблеме продемонстрировали маржиналисты, создавшие теорию предельной полезности. Ценность, т.е. стоимость, в терминологии этой школы, зависит от полезности и редкости блага. Оценки полезности производятся субъектом, поэтому данная теория называется субъективной парадигмой стоимости. Сторонники же современного неоклассического направления в экономической теории утверждая, что противоречия между этими двумя подходами нет, рассматривают цену равновесия как синтез полезности и издержек производства. Именно эта категория является одной из основных в анализе рыночного механизма.
3 . Причины возникновения и условия развития рынка
Для более глубокого осмысления рынка важно обратить внимание на причины его возникновения. Среди них выделяют:
– развитие общественного разделения труда; наличие различных собственников;
– обособленных товаропроизводителей;
– появление товарно-денежных отношений.
Развитие общественного разделения труда еще в древности прошло ряд крупных этапов, связанных с отделением скотоводства от земледелия, выделением как самостоятельной отрасли ремесла и возникновением торговли. Затем стали дробиться отрасли, углублялась специализация отдельных производств. Этот процесс бесконечен и взаимообусловлен ростом производительности труда. Вызванное общественным разделением труда развитие обмена сопровождалось стремлением производителей к эквивалентности на основе экономической ограниченности и обособленности интересов. Эта обособленность возникла на основе частной собственности. В дальнейшем она начала опираться и на коллективную собственность, но обязательно ограниченную каким-либо локальным интересом (кооперативы, товарищества, акционерные общества, хозяйственные ассоциации, совместные и смешанные предприятия и другие).
Вначале обмен продуктами был редким, случайным явлением. По мере развития общественного разделения труда, появления новых товаров обмен становился более регулярным. Однако рост числа обмениваемых товаров затруднял процесс купли-продажи, ибо не всегда продавец и покупатель находили друг друга. Затруднения в обмене разрешились постепенным выделением на рынке местных товаров одного, который пользовался всеобщей обмениваемостью.
При формировании национальных рынков из среды товаров-эквивалентов выделился один, так называемый всеобщий эквивалент, ставший деньгами. Повсеместно эта роль закрепилась за золотом и серебром, учитывая их потребительские свойства: сохраняемость, делимость, портативность, однородность и узнаваемость. Этот процесс возникновения денег в рамках эволюционного подхода был наиболее полно исследован К. Марксом. Анализируя развитие форм стоимости, как выражение исторического процесса развития обмена, он исследовал четыре формы стоимости: простую или случайную; полную или развернутую; «всеобщую» и денежную.
Денежная система, в которой всеобщим эквивалентом было золото и серебро, называлась биметаллической. Затем в xix – начале xx вв. она сменилась монометаллической (золотоденежной). Однако хождение золота во внутреннем обращении продолжалось сравнительно недолго. Начиная с периода первой мировой войны в условиях финансовой нестабильности возник процесс демонетизации золота, в результате которого полноценные золотые деньги стали заменяться знаками стоимости (договорными деньгами). Выпускаемые государством наличные деньги обладают абсолютной ликвидностью.
Ликвидность – это способность какого-либо финансового актива обращаться в наличные деньги (Шевчук Д.А. Основы банковского дела. – Ростов-на-Дону: Феникс, 2006).
Лучше всего сущность денег проявляется в их функциях. Классическими функциями денег являются мера стоимости; средство обращения; средство платежа; средство образования сокровищ; мировые деньги.
В качестве меры стоимости деньги соизмеряют стоимости всех товаров. Стоимость товара, выраженная в деньгах, есть его цена. Техническая сторона измерения деньгами стоимости товаров связана с масштабом цен, который представляет весовое количество денежного материала в денежной единице, принятой в стране. Масштаб цен устанавливается государством.
Как средство обращения деньги постоянно переходят из рук в руки, являясь мимолетным посредником при обмене товаров, что делает возможным замену полноценных денег договорными. Однако оплата товара наличными деньгами в момент покупки не всегда возможна. Часто продавец становится кредитором, а покупатель – заемщиком. При этом деньги выступают в функции средства платежа. Из этой функции выросли кредитные деньги: вексель, банкнота, чек.
Вексель – долговая расписка частного лица, содержащая обязательство уплаты определенной суммы в указанный срок.
Банкноты – банковские векселя, обеспечивающиеся всеми активами банка и обладающие способностью к свободному обращению.
Чек – письменное распоряжение владельца вклада своему банку о выдаче с его счета указанной суммы предъявителю чека.
Первоначально банкноты выпускались всеми банками вместо обычных денег, впоследствии их эмиссию (выпуск) стал осуществлять только центральный банк (Шевчук Д.А. Банковские операции. – Ростов-на-дону: Феникс, 2006). Они приобрели силу законного и единственного платежного средства. Эволюция кредитных денег привела к появлению кредитных карточек, электронных чековых книжек. В современных условиях происходит сращивание функции средства обращения и функции средства платежа. Эту новую функцию денег стали называть средством обмена.
Функцию денег как средства образования сокровищ (средства накопления) в западной экономической литературе называют функцией средства сбережения. Рыночная система создает возможности и стимулы для превращения сокровищ в капитал, приносящий прибыль. При этом богатство может содержаться в различных формах: деньгах или реальных активах, включая недвижимость, ценные бумаги и т.д.
Функцию мировых денег выделяют лишь экономисты марксистского направления. Она связана с обслуживанием мировой торговли. Долгое время эту функцию отводили золоту, но теперь оно практически вытеснено из международных платежей и расчетов национальными валютами развитых стран (Шевчук Д.А. Организация и финансирование инвестиций. – Ростов-на-Дону: Феникс, 2006).
Таковы основные причины возникновения рыночной системы. Однако, как показывает историческая практика, формирование рынка продолжается и для его нормального функционирования необходимо обеспечение целого ряда условий (Шевчук Д.А., Шевчук В.А. Деньги. Кредит. Банки. Курс лекций в конспективном изложении: Учеб-метод. пособ. – М: Финансы и статистика, 2006):
1. свобода экономической деятельности хозяйствующих субъектов;
2. их ответственность за итоги своей экономической деятельности, вплоть до ликвидации предприятия;
3. свободное ценообразование;
4. конкуренция товаропроизводителей, исключающая монополизм;
5. ограниченное прямое участие государства в хозяйственной деятельности;
6. активная ориентация национальной экономики на систему мирохозяйственных связей.
4. Структура и инфраструктура рынка
Рынок как развитая система отношений товарного обмена представляет собой систему отдельных взаимосвязанных рынков, а значит, имеет собственную структуру и инфраструктуру.
Структура рынка – это внутреннее строение, расположение, порядок отдельных элементов рынка, их удельный вес в общем объеме рынка.
Некоторые из выделенных рынков также неоднородны и имеют собственную структуру. Так, товарный рынок включает в себя потребительский рынок (рынок предметов первой необходимости, рынок товаров длительного пользования и т.д.), рынок инвестиционных товаров (товаров производственного назначения) и рынок информации.
Не менее многолик и разнообразен финансовый рынок, где предметом купли-продажи выступают деньги, предоставляемые в пользование в различных формах. Финансовый рынок состоит из рынка инвестиций (долгосрочных вложений капиталов), рынка кредитов и ссуд, рынка ценных бумаг (первичного, связанного с эмиссией ценных бумаг, и вторичного, предназначенного для их перераспределения), денежного (национальной денежной единицы) и валютного рынков. Развитый рынок требует и развитой инфраструктуры.
Инфраструктура рыночной экономики – это совокупность связанных между собой специализированных институтов, действующих в пределах особых рынков и выполняющих определенные функции по обеспечению нормального режима их функционирования. Под институтами инфраструктуры рынка понимается совокупность предприятий, обеспечивающих функционирование рыночных отношений, успешную деятельность всех видов рынка. При этом инфраструктурная деятельность включает:
– деятельность по сбору, обобщению и распространению экономической информации;
– деятельность по специальному изучению рынка с целью увеличения продаж; деятельность по публичному представлению информации о хозяйствующих субъектах, товарах и услугах;
– деятельность по оценке отдельных хозяйствующих субъектов и инструментов их деятельности.
Развитие структуры и инфраструктуры рынка отражается на его конъюнктуре.
Конъюнктура рынка – совокупность условий, сложившихся на рынке в определенный момент. Факторы, влияющие на конъюнктуру рынка, можно классифицировать по продолжительности действия (временные и постоянные), по характеру воздействия (циклические и нециклические), источникам возникновения (внешние и внутренние) и другие.
Рассмотренные в теме основные закономерности развития рынка проявляются как тенденции, имеющие в разных странах свою специфику (Шевчук Д.А. Основы банковского дела. – Ростов-на-дону: Феникс, 2006). Поэтому формирование рыночной системы в России в переходный от командно-административной экономики период должно учитывать существующие проблемы: относительно низкий уровень развития производительных сил по сравнению с развитыми странами; глубоко монополизированная структура экономики и основных рынков; противоречия между федеральной, региональной и местными властями; оторванность производства от нужд потребителей; неразвитая инфраструктура рынка, которая вместе с тем в своем развитии опережает формирование структуры рынка; дестабилизация кредитно-денежной и финансовой системы и т.д. Это определяет направления реформирования экономики, включающей:
1. Разгосударствление экономики и развитие предпринимательства;
2. Формирование рынка и его инфраструктуры, установление хозяйственных связей рыночного типа и становление новых мотивационных механизмов развития предпринимательства;
3. Демонополизация экономики и устранение организационных структур, сложившихся в рамках командно-административной системы и препятствующих развитию рынка;
4. Переход к свободному ценообразованию при сохранении форм и методов государственного регулирования;
5. Осуществление жесткой кредитно-денежной и финансовой политики, направленной на ограничение денежной массы в обращении;
6. Создание сильной системы социальных гарантий и поддержки населения, облегчающей людям адаптацию к условиям рыночной экономики;
7. Осуществление активной структурно-инвестиционной политики, обеспечивающей необходимые структурные сдвиги в народном хозяйстве в направлении социальной переориентации.
Главным итогом начавшихся реформ явился качественный сдвиг, окончательный разрыв с прежней хозяйственной системой и создание условий для формирования основ рыночной экономики. Но структурные изменения менее глубоки, чем это минимально необходимо для функционирования социально ориентированной рыночной экономики. Они происходят гораздо медленнее, чем в других странах, что проявляется в том числе в ограниченных размерах частного сектора. Очевидно, что эти процессы станут важнейшим содержанием довольно длительного периода, в ходе которого в нашей стране и возникнет современная рыночная экономика.
5. Основы теории спроса и предложения
Спрос в условиях рынка имеет важное значение. Интуитивное представление о спросе имеют все: это потребность в определенных благах. В экономической теории обычно рассматривают платежеспособный спрос.
Спрос – желание и способность людей приобретать товары на рынке при некоторых ценах. Нетрудно заметить, что между ценой и количеством покупок существует обратная или отрицательная зависимость, т.е. чем ниже цена товара, тем большее его количество может быть куплено при прочих равных условиях. Эта зависимость, впервые математически сформулированная А. Курно, получила название закона спроса. Графическое изображение кривой спроса есть кривая спроса D (от английского demand – спрос).
Спрос на товар определяется всей кривой спроса. Перемещение по этой кривой, например из A в B, показывает изменение величины спроса.
Величина спроса – это то количество товара, которые потребители готовы купить на рынке при данных ценах при прочих равных условиях. Изменение величины спроса происходит под действием ценовых факторов при этом сам спрос не меняется.
Таким образом, изменение спроса связано с изменением любой из переменных, подпадающих под допущение о «прочих равных условиях». Примером является реакция потребителей на определенные группы товаров.
Субституты (взаимозаменяемые) – это такие пары товаров, для которых рост цены одного из них вызывает рост спроса на другой товар (свинина и говядина, молоко и сливки и т.п.)
Комплементы (взаимодополняемые) – это такие пары товаров, для которых рост цены на один из них вызывает падение спроса на другой (автомобили и покрышки, магнитофоны и кассеты и т.п.).
Нормальные товары (высшей категории) – это товары, спрос на которые увеличивается по мере роста дохода.
Товары низшего качества (низшей категории) – это товары, спрос на которые уменьшается по мере роста дохода. Среди товаров низшего качества выделяют особую группу товаров Гиффена, спрос на которые резко увеличивается при сокращении дохода. Примером названных групп товаров могут служить торты (нормальный товар), обычная булка хлеба (товар низшего качества) и картофель (товар Гиффена).
Предложение – это желание и способность продавцов реализовать товар на рынке.
Между ценой и количеством предлагаемого продукта существует прямая зависимость, то есть чем выше цена товара, тем большее его количество (при прочих равных условиях) будет произведено и предложено к реализации, и наоборот. В этом заключается закон предложения. Его графическое изображение есть кривая предложения S (от английского supply – предложение).
Величина предложения – это такое количество товара, которое продавцы могут и хотят реализовать на рынке при данных ценах. Сдвиг кривой S1 вправо или влево означает, что изменилось предложение (соответственно увеличилось или уменьшилось) под действием неценовых факторов.
В результате взаимодействия спроса и предложения устанавливается рыночная цена. Она фиксируется в точке, в которой пересекаются кривые D и S. Эта точка называется точкой равновесия, а цена и объем – равновесными. Только в этой точке цена устраивает продавца и покупателя. При этом действуют следующие законы рыночного ценообразования:
· цена стремится к такому уровню, при котором спрос равен предложению;
· если под влиянием неценовых факторов произойдет повышение спроса при неизменном предложении или сокращение предложения при неизменном спросе, то цена возрастет, если, наоборот, при неизменном предложении спрос сократится или при неизменном спросе увеличится предложение и цена повысится.
При вмешательстве государства в установление цен говорят о политическом ценообразовании.
Цена потолка – максимальная цена дает ожидаемый результат только в случае, если она ниже равновесной. Она служит для защиты потребителей и создает, как правило, превышение спроса над предложением и образование «черного рынка».
Цена пола – минимальная цена, которая служит для защиты производителей и создает превышение предложения над спросом. Она имеет смысл только тогда, когда выше равновесной. Однако стремление производителей в условиях перепроизводства (например, сельхозпродукции) избавиться от товара ведет к образованию «серого рынка».
6. Понятие эластичности и ее виды
Спрос и предложение зависят от многих факторов. Их изменение влечет соответствующее изменение спроса и предложения. С этим и связано понятие эластичности.
Эластичность – мера реакции одной экономической переменной на изменение другой.
В экономической теории рассматривают эластичность спроса и предложения.
Эластичность спроса на товар – это процентное соотношение между изменением в цене или доходе и изменением спроса.
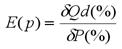
1. Эластичность спроса по цене.
Она показывает, в какой мере потребитель реагирует на изменение цен.

где:
E(p) – эластичность спроса по цене;
δQd (%) – процентное изменение спроса;
δP(%) – процентное изменение цены.
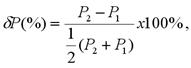
При измерении процентного изменения экономических величин обычный способ вычисления не применим, т. к. одинаковое количественное изменение в другом направлении дает иное процентное соотношение. Например, если величина спроса на товар составляла 10000 единиц, а затем уменьшилась на 2 500, то произошло изменение спроса на 25%. Однако увеличение спроса на данный товар с 7500 единиц до 10000 даст 33% увеличение спроса. Поэтому в экономической теории используют более универсальный метод, названный формулой средней точки Аллена. Тогда:

где
Q2 и Q1 – конечный и начальный спрос;

где:
P2 и P1 – конечная и начальная цена.
Выделяют несколько видов эластичности спроса по цене в зависимости от величины коэффициента эластичности.
E > 1 – эластичный спрос (на товары роскоши);
E < 1 – неэластичный спрос (на предметы первой необходимости);
E = 1 – спрос с единичной эластичностью (зависит от индивидуального выбора);
E = 0 – совершенно неэластичный спрос (соль, медикаменты);

– совершенно эластичный спрос (в условиях совершенного рынка).
На графике спрос разной степени эластичности можно представить следующим образом:
Нельзя говорить об эластичных или неэластичных кривых спроса, т. к. эластичности действительны для отдельных точек на кривой спроса. На каждой такой кривой спроса, как правило, имеются точки с эластичным и неэластичным спросом. В качестве исключения рассматриваются лишь совершенно эластичные и совершено неэластичные кривые спроса, на которых каждая точка представляет одну и ту же эластичность.
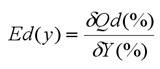
2. Эластичность спроса по доходу.
Это числовой параметр, который показывает, какова реакция потребителя на изменения в его доходах при неизменности цен.

где:
δY (%) – процентное изменение дохода
Значение эластичности по доходам тесно связано с понятием нормальных товаров и товаров низшего качества. Для нормальных товаров повышение дохода вызывает повышение спроса. Поскольку в этом случае доход и спрос меняются в одном направлении, то эластичность спроса по доходу является положительной. Наоборот, для товаров низшего качества увеличение дохода вызывает уменьшение спроса. Доход и спрос меняются в противоположных направлениях, поэтому в этом случае эластичность спроса по доходу является отрицательной. На отдельные группы товаров (соль, спички) спрос не увеличивается при увеличении дохода, эластичность является нулевой.
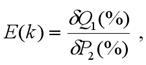
3. Перекрестная эластичность.
Она характеризует чувствительность спроса на один товар при изменении цен на другой.

где:
E (k) – перекрестная эластичность;
δQ1 (%) – процентное изменение спроса на один товар;
δP2 (%) – процентное изменение цены на другой товар.
С помощью коэффициента эластичности можно определить следующие виды перекрестной эластичности:
а) E (k) > 0 для товаров-субститутов;
б) E (k) < 0 для товаров-комплементов;
в) E (k) = 0 для индифферентных (независимых) товаров.
Эластичность предложения товара (по цене) – это процентное соотношение между изменением в цене и изменением предложения.

Одним из определяющих элементов эластичности предложения какого-либо товара или услуги является мобильность факторов его производства и выпуска, т.е. легкость с которой необходимые факторы производства могут быть привлечены из других отраслей. Второй важный фактор – это время. Как и в случае спроса, эластичность предложения по цене имеет тенденцию увеличиваться на долгосрочных временных интервалах. Частично это связано с мобильностью ресурсов, но также зависит и от применяемых технологий, состояния производственной базы и т.д. С течением времени адаптация производителей к рыночным условиям улучшает конъюнктурные возможности соответствия выпуска их продукции возросшему спросу, что приводит к повышению эластичности предложения.
Теория эластичности спроса и предложения имеет важное практическое значение. Эластичность спроса является важным фактором, влияющим на ценовую политику фирмы. Другим примером фактического использования теории эластичности является государственная налоговая политика, а также политика в области занятости.
7. Место и роль конкуренции в рыночной системе
Одним из важнейших признаков рынка является конкуренция как форма взаимного соперничества субъектов рынка и механизм регулирования общественного производства.
Конкуренция – общественная форма столкновения субъектов рыночного хозяйства в процессе реализации их индивидуальных экономических интересов.
Конкуренция в экономике выполняет ряд функций:
· выявляет и устанавливает рыночную стоимость товара;
· сводит конкретный труд к общественно необходимому;
· содействует выравниванию индивидуальных стоимостей и прибыли в зависимости от производительности труда и эффективности управления производством.
Посредством конкуренции происходит распределение не только факторов производства, но и доходов в соответствии с вкладом и эффективностью деятельности хозяйствующих субъектов. Эффективное использование ресурсов позволяет производителям получать высокие доходы, при неэффективном использовании ресурсов они несут убытки и могут быть вытеснены с рынка.
Существуют разные типы конкурентного поведения рыночных субъектов:
– креативное (созидательное) – поведение, направленное на создание предпосылок, обеспечивающих превосходство над соперниками;
– приспособленческое – учитывающее инновационные изменения в производстве (копирование) и упреждающее действия соперников;
– обеспечивающее (гарантирующее) – поведение, направленное на сохранение достигнутых позиций.
С точки зрения активности участия в конкурентной борьбе на конкурентном рынке различают лидеров, претендентов на лидерство, ведомых и новичков.
Для современного рынка характерна регламентированная конкуренция, которую принято называть добросовестной и эффективной. Это обозначает то, что на рынке никто из производителей не может монополизировать производство или продажу, не ущемляются права потребителей и действия хозяйственных субъектов не противоречат законам.
В промышленно развитых странах, где рыночные отношения имеют давнюю историю, конкуренция приобретает самые разные формы. Прежде всего выделяют внутриотраслевую и межотраслевую конкуренцию.
В современной экономике особое значение имеет конкуренция, начинающаяся задолго до появления товара на рынке. Предприниматели могут бороться за приобретение сырья, материалов или оборудования по более низкой цене, за наиболее удачное расположение своих предприятий, за лучшие кадры и т.д. Так появилась внутрифирменная (бухгалтерская) конкуренция в части улучшения качества продукта, снижения производственных издержек в рамках одной фирмы.
В зависимости от способа поведения фирмы на рынке выделяют ценовую и неценовую конкуренцию.
Ценовая конкуренция – борьба между производителями за получение дополнительной прибыли посредством уменьшения издержек производства и снижения цен на продукцию без изменения ее ассортимента и качества. Ценовая конкуренция проявляется в использовании демпинга (продажа товара по ценам ниже его себестоимости), ценовой дискриминации (предоставлении одного и того же товара по разным ценам для разных групп населения), лизинга (долгосрочного договора аренды), дифференциации качества товара при одной и той же цене и другого. Неценовая конкуренция уменьшает значение цены как фактора потребительского спроса.
Неценовая конкуренция – это борьба между субъектами рынка на основе технического превосходства, высокого качества и надежности изделий, более эффективных методов сбыта, использования маркетинга, расширения видов предоставляемых услуг и гарантий покупателям, улучшения условий оплаты и других приемов.
Конкуренция очень сильно зависит от количества производителей-продавцов и покупателей. В экономической теории различают совершенную и несовершенную конкуренцию.
Совершенная конкуренция означает такое состояние экономической системы, когда влияние каждого участника экономического процесса на общую ситуацию настолько мало (менее 1%), что им можно пренебречь.
Несовершенная конкуренция существует тогда, когда возможен контроль над определенной долей рынка. Несовершенная конкуренция включает следующие виды:
· монополия – власть одного продавца (монопсония – власть одного покупателя);
· олигополия – власть нескольких крупных фирм (олигопсония – власть нескольких крупных покупателей);
· монополистическая конкуренция – соревнования между разными по силе и влиянию продавцами.
Конкуренция выступает мощным фактором концентрации производства, характер ее зависит от развитости и степени монополизации производства.
В России началом создания антимонопольного законодательства стал «Закон о конкуренции и ограничении монополистической деятельности на товарных рынках». Этот закон определил недобросовестные методы конкуренции, а именно:
– распространении ложных, неточных или искаженных сведений, способных причинить убытки либо нанести ущерб деловой репутации другому хозяйствующему субъекту;
– введение потребителей в заблуждение относительно характера, способа и места изготовления товара, его потребительских качеств и свойств;
– некорректное сравнение хозяйствующим субъектом в процессе его рекламной деятельности производимых или реализуемых им товаров с товарами других хозяйствующих субъектов;
– самовольное использование товарного знака, фирменного наименования.
Для реализации антимонопольного законодательства в стране в 1991 г. был создан Антимонопольный комитет РФ. Его задачи – не только контроль за монополиями, но и борьба с монополизмом в отечественной экономике.
Монополии – крупные хозяйственные объединения, контролирующие отрасли и рынки за счет высокой степени концентрации производства и капитала и установления монопольных цен и извлечения монопольных прибылей. Монополизм – это исключительное положение одного из хозяйствующих субъектов, дающее возможность диктовать свою волю прочим субъектам, регулировать производство данного вида продукции и устанавливать господство на рынке.
Основные направления демонополизации и содействия развитию конкуренции в России предполагают:
– контроль за соблюдением антимонопольных требований при создании, реорганизации и ликвидации хозяйствующих субъектов;
– контроль за крупными продажами и покупками акций, которые могут привести к доминирующему положению хозяйствующих субъектов (свыше 35%);
– предоставление льготных кредитов, а также уменьшение налогов или освобождение от них хозяйствующих субъектов, впервые вступающих на данный товарный рынок;
– финансирование мероприятий по расширению выпуска дефицитных товаров в целях устранения доминирующего положения отдельных хозяйствующих субъектов;
– привлечение иностранных инвестиций, учреждение совместных предприятий, создание и развитие свободных экономических зон.
В антимонопольном законе предусматривается и ответственность за его нарушение – возможность применения штрафных санкций, а в крайних случаях и уголовной ответственности.
Особое значение в антимонопольной практике имеет регулирование деятельности естественных монополий. Естественная монополия имеет место тогда, когда все рыночное предложение товаров и услуг сосредоточено в руках одного продавца и создание конкурентной среды экономически неэффективно. На общенациональном уровне к области естественных монополий можно отнести, например, железные дороги и нефтепроводы, на региональном уровне – систему водо– и газоснабжения, телефонную связь, общественный транспорт и т.п.
Отсутствие конкурентной среды делает неэффективным использование рыночных механизмов в регулировании деятельности естественных монополий. В силу специфического положения таких монополий в экономике России единственной силой, способной им противостоять является государство. Поэтому, государственная политика, ставящая пределы и определяющая правила их поведения на рынке, должна быть нацелена на усиление регулирующей роли государства, в частности в области тарифной политики (например, на организацию ценовой конкуренции между различными видами энергоносителей), ограничение неконтролируемой частной монополии государственной монополией, изменение направления рентных доходов в пользу государства, а также на согласование действий федеральных и региональных решений. Недостаточно четкое разграничение прав и ответственности федеральных органов власти и местных администраций по регулированию естественных монополий приводит к ценовым диспропорциям на услуги их отраслей между регионами, к разрыву межрегиональных связей. При отсутствии скоординированной политики федеральных властей и регионов и высокой дифференциации цен и тарифов между отдельными потребителями деятельность ряда регионов страны в едином экономическом пространстве осложняется. Примером этому могут служить постоянные проблемы, связанные с обеспечением жителей Приморья электроэнергией и теплом, порожденные деятельностью структурной единицы РАО «ЕЭС России» «Дальэнерго».
Для стимулирования конкуренции на монопольном рынке мировая практика предлагает использовать следующие меры: расширить практику конкурсного отбора в отраслях естественных монополий на региональном уровне на стадии организации торгов за право быть поставщиком определенного вида услуг, поскольку в настоящее время это право достаточно часто определяется в результате сговора хозяйствующих субъектов без участия региональных властей; ускорить становление системы сбора и распространения коммерческой информации, создание специализированных региональных информационных систем, которые облегчат доступ новых участников на региональные рынки.
Похожие работы
- 
							Рыночная экономическая система
							Рынок - сложная экономическая система общественных взаимоотношений в сфере экономического воспроизводства. Он обусловлен несколькими принципами, которые обуславливают его сущность и отличают от других экономических систем. Эти принципы основываются на свободе человека, его предпринимательских талантах и на справедливом отношении к ним государства. 
- 
							Международные финансовые системы и международная система учета и отчетности
							примерный перечень экзаменационных вопросов Международные финансовые системы и международная система учета и отчетности Международная финансовая система, ее сущность. 
- 
							Экзаменационные билеты по экономике переходного периода России
							примерный перечень экзаменационных вопросов экономика России переходного периода Объективные предпосылки, определяющие необходимость структурной перестройки экономики и ее сущность. 
- 
							Экзаменационные билеты по углубленному курсу экономики за весенний семестр 2001 года
							примерный перечень экзаменационных вопросов ЭКОНОМИКА. УГЛУБЛЕННЫЙ КУРС Как характеризует предпринимательскую деятельность Гражданский кодекс РФ? 
- 
							Перечень билетов и вопросов к экзамену по экономике
							Экзаменационный билет по предмету ЭКОНОМИКА Билет № Виды среды хозяйственной деятельности. Потребительский выбор и бюджетная линия. Условия максимализации прибыли при совершенной и несовершенной конкуренции. 
- 
							Два перечня экзаменационных билетов по экономике предприятия за осенний семестр 2000 года
							Экзаменационный билет по предмету ЭКОНОМИКА ПРЕДПРИЯТИЯ Билет № Кто и в каком статусе выступает субъектом предпринимательской деятельности? Понятие о продукции и сущность рыночного спроса на продукцию. 
- 
							Билеты Мировая экономика за осенний семестр 2000 года
							Экзаменационный билет по предмету МИРОВАЯ ЭКОНОМИКА Билет № Преимущества международной специализации производства, его формы и организация в условиях НТР. 
- 
							Методы экономических исследований
							В экономической теории применяются два, хотя и противоположных, но взаимосвязанных философских метода- метафизика и диалектика. 
- 
							Классификация ассортимента, характеристика видов и потребительских свойств строительных материалов для  остекления
							Конструкция, назначение, окраска, размеры и светопропускание стекол. Дефекты стекла. Виды специальных стекол. Разновидности узорчатого стекла. 
- 
							Классификация ассортимента одежды из тканей
							Общее назначение, стилевые решения, сезонность, вид материала одежды. Виды одежды. Фасоны одежды.