Название: Обгрунтування інвестиційного проекту
Вид работы: курсовая работа
Рубрика: Экономика
Размер файла: 1.6 Mb
Скачать файл: referat.me-383910.docx
Краткое описание работы: Поняття та види інвестиційних проектів. Стан інвестиційної діяльності в Україні. Особливості державного регулювання інвестиційної політики в Україні. Доцільність здійснення інвестиційного проекту в умовах шахти "Білоріченська" ДП "Дніпропіллявугілля".
Обгрунтування інвестиційного проекту
МІНІСТЕРСТВО ОСВІТИ І НАУКИ, МОЛОДІ ТА СПОРТУ УКРАЇНИ
НАЦІОНАЛЬНИЙ ТРАНСПОРТНИЙ УНІВЕРСИТЕТ
Кафедра економіки
КУРСОВА РОБОТА
З дисципліни «Економіка підприємства»
На тему:
«Обґрунтування інвестиційного проекту»
Виконала: студентка групи МЕ-ІІ-І
Солтик Ірина
Перевірив: доцент Лукін С. Ю
Київ – 2011р.
ВСТУП
Аналіз інвестиційних проектів є складовою процесу управління інвестиціями, адже він дає інформаційну базу (у вигляді проекту як спеціально оформленого інвестиційного плану чи результатів проведеної експертизи проекту) для ухвалення рішення щодо включення проекту в інвестиційний портфель, початку його інвестування.
Це все необхідно для інвестора, щоб наочно бачити, чи варто вкладати капітал в те чи інше підприємство, його партнерам, його кредиторам. А на етапі реалізації інвестування без наявності такого проекту неможлива ефективна координація зусиль усіх цих учасників.
Обґрунтування інвестиційних проектів — це комплекс методичних і практичних прийомів розробки, аналізу й оцінки доцільності реалізації проекту. Зазвичай лише незначна частка інвестицій виявляється невдалою, тобто не дає очікуваного результату з незалежних від інвесторапричин. Однак не зважаючи на це, всі проекти єризиковими. Разом з тим усі учасникиінвестиційного проекту зацікавлені втому, щоб виключити провал проекту.
Більшість проектів, що виявилися збитковими, могла бутине допущена до реалізації за умови якісного попереднього аналізу зурахуванням зовнішніх умов і внутрішніх якостей проекту.
Інвестиційні проекти аналізують на основі комплексного вивчення аспектів майбутнього інвестування. До цих аспектів належать економічне середовище, правильно поставлені мета і завдання проекту,маркетинговий, виробничий, фінансовий та організаційний планінвестора, технічна база проекту, його соціальна значущість, екологічна безпека, фінансова достатність і спроможність проекту, організація управління проектом, аналіз інвестиційного ризику, чутливістьпроекту до зміни окремих найсуттєвіших факторів, достатність показників ефективності, оцінка можливостей учасників проекту, діловихякостей його менеджерів.
Перелічені аспекти повинні бути розроблені у процесі підготовки інвестиційного проекту, розглянуті під час його аналізу, ураховані при прийнятті рішення щодо інвестування, а також досліджені при реалізації проекту аж до його завершення чи припинення.
Саме від грамотно і правильно розробленого інвестиційного проекту залежить, чи вдасться нам запевнити інвестора вкладати свій капітал в розвиток нашого підприємства.
РОЗДІЛ 1. ТЕОРЕТИЧНІ ЗАСАДИ РОЗРОБКИ ІНВЕСТИЦІЙНОГО ПРОЕКТУ
1.1 Поняття проекту й проектного циклу
Проект є організаційною формою реалізації процесу інвестування. Це поняття охоплює як стратегічне планування інвестиційної діяльності, так і практичну реалізацію щоденного оперативного управління нею.
Для того щоб повніше охопити багатофункціональність поняття“інвестиційний проект”, визначимо його у двох аспектах: як документі як конкретні дії інвестора щодо реалізації своїх інвестиційнихнамірів.
Згідно з першим аспектом інвестиційний проект — це спеціальнопідготовлена документація з максимально повним описом і обгрунтуванням всіх особливостей майбутнього інвестування. У такому розумінні проект є документованим інвестиційним планом.
Щодо другого аспекту інвестиційний проект — це комплекс заходів, які здійснює інвестор з метою реалізації свого плану нарощування капіталу. Дії інвестора мають бути оптимальними для досягнення поставлених цілей при обмеженні часових, фінансових і матеріальних ресурсів.
Двохаспектне визначення інвестиційного проектудає змогу надаліточніше й повніше окреслити питання його розробки та експертизи. На відміну від поняття “інвестиційний проект” під терміном “бізнес-план” розуміють документ, що містить лише економічний план реалізації проекту та його обгрунтування. Бізнес-план є складовоюінвестиційного проекту.
Інвестиційний проект як план стратегічних дій інвестора в обраному напрямку істотно впливає на якість (тобто ефективність) інвестування. Не викликає сумніву той факт, що інвестор (або його менеджер проекту), маючи план, досягне вищих результатів, аніж у разійого відсутності. Проект вносить системність та організованість упроцес інвестування.
Аналіз інвестиційних проектів здійснюють з урахуванням сукупності важливих моментів, що формують розмаїття і типову послідовність операцій розробки й оцінки проекту. До них належать:
· комплексність подання процесу інвестування (маркетингові,організаційні, фінансові, виробничі, трудові та часові параметри);
· урахування зв’язку проекту із зовнішніми умовами (стан економікикраїни, регіональні, галузеві особливості проекту, сумісність продукціїпроекту зі станом ринку, місцеві умови та співробітництво з органамивлади, екологічна сумісність, соціальнабезконфліктність проекту,відповідність ситуації на місцевомуринку праці);
· інтегрована оцінка ефективності проекту на основі співвідношення результатів і витрат, пов’язаних з проектом;
· урахування прогнозованої невизначеності проекту та потенційних ризиків;
· застосування методики приведення грошових потоків до єдиних умов обліку;
· прагнення подати прогнозовану модель проекту з максимальною деталізацією і конкретизацією;
· урахування соціальних і управлінських аспектів проекту як важливих умов його майбутньої ефективності.
Проекти класифікують за багатьма ознаками. Основними з них єтакі:
- період реалізації проекту (коротко-, середньо-, довгостроковий проект);
- відношення до вже діючого підприємства чи виробництва (проект, що впроваджується на діючому підприємстві, і проект, щореалізується при створенні нового підприємства);
- відношення до діючих основних фондів (проект розширеннявиробництва, проект модернізації устаткування, проект технічного переозброєння, проект повної реконструкції);
- масштаб проекту (тактичні та стратегічні проекти, тобто пов’язані зі значною зміною активів, сфери діяльності, форми власності);
- форма реальних активів (проекти інвестицій в основні чи воборотні фонди).
Період, протягом якого готуються і реалізуються інвестиційні наміри інвестора, — це життєвий цикл проекту. Він розбивається накілька типових кроків:
-формування інвестиційних намірів;
-розробка концепції проекту (конкретизація завдань, вибір продукту проекту, визначення джерел фінансування, вибір учасників проекту, попередня розробка маркетингового та фінансового планів);
-розробка проекту як документованого плану (деталізованогоінвестиційного обгрунтування і плану дій на період життєвогоциклу проекту);
-передінвестиційний аналіз проекту (вивчення потенційних можливостей проекту, оцінка реальності фінансових планів, зовнішньої та внутрішньої узгодженості проекту, його комерційноїреалістичності й доцільності);
-створення (чи придбання) інвестиційного об’єкта “під ключ” іпідготовка до початку його експлуатації;
-експлуатація інвестиційного об’єкта та повернення через нагромадження поточного прибутку інвестованих у проект коштів(період окупності проекту);
-отримання чистого прибутку з проекту (понад вкладені в нього кошти);
-завершення або ліквідація інвестиційного проекту (демонтажосновних фондів, продаж оборотних коштів та інших активів,вирішення організаційних і юридичних питань щодо припинення господарської діяльності з використанням активів проекту).
Дані кроки можна об’єднати у три агреговані фази: передінвестиційна (розробка проекту як документа), інвестиційна (формування активів проекту “під ключ”) і експлуатаційна (запуск тагосподарська експлуатація активів і регулярне отримання поточного прибутку, повернення вкладених коштів) ( рис.1.1.1).

Рис. 1.1.1 Фази і стадії проектного циклу
Аналіз інвестиційних проектів як предмет вивчення є сукупністю прийомів і рекомендацій щодо розробки й експертизи проекту з метою визначення ступеня його повноти, вірогідності, реалістичності й доцільності.
Загальна схема проектного аналізу складається з таких етапів:
1. Попередній аналіз інвестиційної ідеї.
2. Ідентифікація проекту (регіон, галузь, роль проекту з урахуванням місцевих умов, масштаб проекту, базове підприємство).
3. Інституціональний аналіз (зовнішні умови, юридичні й адміністративні аспекти проекту).
4. Аналіз технічної бази проекту (передбачений виробничий апарат, технологія, організація виробництва та зберігання продукції).
5.Комерційний аналіз проекту (співвідношення проекту і ринківйого продукції, реалістичність прогнозів збуту, достатність ресурсів, можливість управління ресурсами та витратами).
6.Фінансовий аналіз (можливість одержання поточного прибутку, збалансованість грошових потоків, достатність коштів,здатність розрахуватися з кредиторами проекту, можливістьповернення вкладеного капіталу).
7.Соціальний аналіз (вплив проекту на людей, які працюють надпроектом, оцінка впливу проекту на екологію).
8. Економічний аналіз (цінність проекту для суспільства і країни,оцінка впливу проекту на соціально-економічну ситуацію україні та регіоні).
9.Аналіз запропонованої інвестором системи управління проектом і можливостей досягнення поставлених у проекті цілей.
10. Формування комплексної оцінки інвестиційного проекту (зурахуванням оцінок наведених сфер впливу проекту) і рекомендацій інвестору щодо ухвалення рішення про реалізацію йогоінвестиційного наміру, поданого у вигляді проекту.
1.2 Види інвестиційних проектів
Однозначного погляду щодо класифікації за ознаками інвестиційних проектів не існує. Інвестиційні проекти, які розробляються в розрізі окремих форм реального інвестування підприємства, класифікуються за певною низкою ознак ( рис.1.2.1) або ж можна навести іншу класифікацію:
· виробничі
· науково-технічні
· комерційні
· фінансові
· економічні
· соціально-економічні

Рис. 1.2.1Класифікація інвестиційних проектів
Форма та зміст інвестиційних проектів можуть бути найрізноманітнішими - від плану будівництва нового підприємства до оцінки доцільності придбання нерухомого майна.
1.3 Стадії розробки проекту. Його складові
Інвестиційний проект є первинною організаційною ланкою інвестиційної діяльності. Слід розглянути технологію розробки проекту як документованого плану дій інвестора, що містить максимально повний опис і обґрунтування запланованого використання коштів з метою їх нарощування. Послідовність розробки проекту показано на рис. 1.3.1 ( додаток А)
Проект слід розглядати як сукупність таких складових:
-економічний опис — бізнес-план і матеріали для його обгрунтування;
-технічна документація;
-технологічна документація;
-контрактне супроводження — набір укладених або підготовлених контрактів (договорів) або інших форм закріплення майбутніх відносин між учасниками проекту;
-експертне супроводження — набір експертних висновків, оцінокабо інших форм подання думок фахівців (фізичних або юридичних осіб), компетентних в оцінці процесів і явищ, з якими буде пов’язана реалізація проекту;
-інші документи, їх копії або аналітичні матеріали, що характеризують учасників проекту, ситуацію на ринку, установчі документи підприємств, копії звітів підприємств щодо фінансово-господарської діяльності, прогнози, свідоцтва про право власності на майно, нормативно-законодавчі акти державного тамісцевого рівня, що впливають на проект.
Проект потрібен безпосередньо інвесторові. У проекті відбиваються наміри інвестора, про які мають знати всі зацікавлені особи:паpтнеpи, банки, майбутні споживачі, преса, громадськість, трудовийколектив, органи влади, акціонери та ін.
Розробка інвестиційного проекту включає ряд етапів, кожен з яких в тому або іншому ступені обов`язковий для вироблення обґрунтованого рішення.
Етап збору інформації і прогнозування об`ємів реалізації. На цьому етапі розробник інвестиційного проекту повинен зібрати якомога більше відомостей про те, який попит пред`являють споживачі на планований до випуску продукт. При цьому повинні бути виявлені і проаналізовані попит і ціни на аналогічні товари (роботи, послуги), на товари-замінники, а також наявність фірм-конкурентів і їх політика. Важливо розглянути короткострокову і довгострокову перспективу ринку даного товару. Аналіз можливої ємкості ринку збуту продукції, тобто прогнозування об`єму реалізації є дуже істотним, оскільки його недооцінка може привести до втрати певної частки ринку збуту, а його переоцінка — до неефективного використання введених за проектом виробничих потужностей, або до неефективності зроблених капіталовкладень.
Перевагою на цьому етапі користуються крупні фірми і корпорації, що планують значні інвестиції. Вони можуть дозволити собі проведення дорогих маркетингових досліджень, результатом яких є об`єктивний і достатньо надійна відповідь на питання про можливі об`єми реалізації. Невеликі фірми вимушені покладатися виключно на досвід і інтуїцію своїх менеджерів.
Етап прогнозування об`ємів виробництва і прибутку. На цьому етапі розробник проекту виходячи з можливого об`єму реалізації визначає розмір і технологічний рівень підприємства. При цьому слід мати на увазі масштаб доступних джерел фінансування. Потім аналізуються ціни і умови оплати устаткування; порівнюються альтернативні варіанти (викуп устаткування або лізинг); аналізується ринок оренди (покупки) необхідних приміщень; кількість, кваліфікаціяіоплатаперсоналу,щопривертається,ітакдалі.
Якщо всі попередні роботи може виконати, наприклад, маркетингова служба підприємства, то на даному етапі до розробки проекту повинен підключитися бухгалтер-аналітик. Отримавши інформацію про всі можливі витрати, він, провівши їх класифікацію, калькулює планову собівартість продукції. Інформація про прогнозовані ціни реалізації і об`єми виробництва дозволяє розрахувати плановий прибуток.
Отже, результатом робіт на даному етапі є прогноз об`ємів продажів, їх собівартості і прибутку. Якщо розмір планованого прибутку менше деякого порогового значення, встановленого фірмою, то проект може бути відхилений вже на цій стадії розробки. Якщо ж розмір прибутку буде визнаний прийнятним,тодоцільнепроведенняподальшогоаналізу.
Етап оцінки видів і рівнів рисок. На цьому етапі піддаються критичному аналізу всі раніше отримані відомості частини досяжних об`ємів реалізації і виробництва, відпускних цін на продукцію, рівня витрат і так далі і зроблені на їх основі висновки.
Для отримання повної і об`єктивної картини також аналізуються різні можливі варіанти зміни кон`юнктури у бік поліпшення. Існують методики, що дозволяють судити на основі аналізу чутливості про те, наскільки ризикованим єінвестуваннязасобіву данийпроект.
Урезультаті розробник отримує відповідь на питання, чи є рівень риски, зв`язаний з даним проектом, прийнятним. Якщо немає — проект відкидається, якщотак—піддаєтьсяподальшомуаналізу.
Етап визначення необхідного об`єму і графіка інвестицій. Розглянувши і проаналізувавши з погляду мінімізації всі витрати, супутні проекту, розробник отримує інформацію про розмір вкладень у необоротні активи. Аналіз схеми фінансових потоків (побудова кошторису витрачання і надходження грошових коштів) дозволяє визначити розмір необхідного оборотного капіталу. Маючи в своєму розпорядженні детально розроблену інформацію про витрати, можна визначити об`єм і графік необхідних інвестицій.
Етап оцінки доступності необхідних джерел фінансування. Розрахувавши об`єм і графік інвестицій, розробник вирішує, які джерела фінансування (з числа доступних) будуть задіяні. У випадку, якщо засобів організації виявляється недостатньо і інвестиції передбачається здійснити за рахунок привернутих кредитів, необхідний аналіз ринку позикових капіталів.
Етап оцінки прийнятного значення вартості капіталу. Основною метою даного етапу є порівняння інвестиційного проекту, що розробляється, з іншими, альтернативними можливостями розміщення капіталу. Це досягається за допомогою методики, званої «аналізом інвестицій», або «аналізом капіталовкладень».
Результатом досліджень, проведених на цьому етапі, є остаточна обґрунтована відповідь на питання про те, чи вигідний проект, що розробляється, і чи доцільно втілювати його в життя.
Економічнийаспектпроектуувиглядібізнеспланумаєзагальноприйняту структуру розділів, хоча вона може змінюватися залежновід галузевих і регіональних особливостей проекту. Як правило,бізнес-план інвестиційного проекту складається з 10–50 сторінок описів, коментарів, розрахунків, обгрунтувань.
Таким чином, ухвалення рішень інвестиційного характеру, як і будь-який інший вид управлінської діяльності, ґрунтується на використанні різних формалізованих і неформалізованих методів і критеріїв. Ступінь їх поєднання визначається різними обставинами, у тому числі і тим з них, наскільки менеджер знайомий з наявним апаратом, вживаним в тому або іншому конкретному випадку.
Якого-небудь універсального методу, придатного для всіх випадків життя, не існує. Ймовірно, управління все ж таки більшою мірою є мистецтвом, чим наукою. Проте, маючи деякі оцінки, отримані формалізованими методами, нехай навіть до певної міри умовні, легко ухвалювати остаточні рішення.
1.4 Основні положення проекту
У першому розділі інвестиційного пpоекту стисло викладають суть проекту: мету, обсяг інвестиційних витpат, технологію виpобництва, доходи, окупність, ефективність, хаpактеpпpодукції, pеальність збуту, можливих учасників, очікувані результати. Завдання цього розділу —на кількох сторінках подати основну інформацію, зацікавити партнерів і довести переваги проекту.
В наступних pозділах грунтовно і послідовно розкривають змістпроекту за основними аспектами і заплановані дії щодо його реалізації.Розглянемо стисло зміст цих розділів нижче.
Маркетинговий план проекту
- Опис продукції (послуг), що має виpоблятися за проектом; відмінність від типової пpодукції, що є на pинку.
- Хаpактеpистика якості пpодукції, обгрунтування її переваг і загальної конкуpентоспpоможності.
- особливі якості продукції проекту.
- Умови (патенти, автоpські пpава) технічної та інтелектуальної захищеності пpодукції.
- Обгрунтування пpогнозованої ціни пpодукції чи послуг.
- Прогнозовані обсяги можливої реалізації продукції.
- Рівень конкуренції на ринку продукції проекту.
- Потенційні споживачі пpодукції (юpидичні та фізичні особи).
- Порівняння з пpодукцією конкуpентів на pинку (переваги таможливі слабкі місця).
Організаційно-виpобничий план
• Номенклатуpа пpодукції та послуг, що вироблятимуться за проектом.
•Обсяг виробництва за видами продукції (або за кожною номенклатурною позицією) та періодами часу.
• Календаpний план виpобництва на наступні два-три роки, який pозpоблюють щомісяця або щотижня.
•Забезпеченістьвиpобництваматеpіально-технічнимиpесуpсами(номенклатуpа, кількість, ціна, загальні витpати, постачальники, можливість отpимання, договоpи на постачання).
•Календарні (щомісячні) плани забезпечення виробництва матеріально-технічними ресурсами .
• Система контpолю якості пpодукції.
• Місця і умови збеpігання матеpіально-технічних pесуpсів.
• Умови і календарні графіки збеpігання готової пpодукції наскладах.
• Вплив виробництва на зовнішнє середовище.
Соціальні аспекти проекту
• Оpганізаційна схема упpавління підпpиємством, пеpелік підpозділів і хаpактеpвзаємодії між ними (технологічної або інфоpмаційно-функціональної).
• Кеpівники, їхня службова хаpактеpистика, ділові якості та об’єктивні дані.
• Штатний pозпис, посадові обов’язки, вимоги до кваліфікації, спеціальності пpацівників, pозподіл відповідальності між менеджерами.
• Посадові оклади або пpогнозовані pівні заpобітної плати, середній рівень оплати праці на одного працюючого за проектом
• Потpеба в навчанні пеpсоналу, пеpіодичність та обсяги витpат, пов’язаних з підвищенням кваліфікації пpацівників.
• Система мотивації та умови стимулювання пpаці, особливо кеpівних пpацівників усіх pівнів.
• Умови праці, заходи з охорони праці та запобігання травматизму.
• Витрати на соціально-культурні заходи для персоналу.
План інвестування
• Обсяги та напрямки інвестиційних витpат.
• Коштоpис інвестиційних витpат.
• Використання місцевої інженерної інфраструктури (шляхи, енерго-, водопостачання, каналізаційна мережа, очисні споруди).
• Технічна база підпpиємства.
• Інженерне обслуговування технічної бази проекту.
• Обсяги та джеpела фінансування інвестицій.
• Обсяг і стpуктуpа основних фондів.
• Юpидична фоpма реалізації проекту, фоpма власності на основні фонди проекту та інші активи.
• Базове для проекту підпpиємство, розподіл повноважень і праввласності між інвестором і базовим підприємством.
Фінансові аспекти
• Очікувані у пpогнозованому пеpіоді доходи від pеалізаціїпpодукції та послуг.
• Витpати на виpобництво.
• Обсяги доходів і витpат підпpиємства.
• Деталізований у часі прогноз грошових потоків за проектом.
• Прогноз активів і пасивів проекту із щоквартальною динамікою.
• Обсяги пpибутку і напpямки його використання.
• Поpядок фінансування та обсяги позик, потpібних для реалізаціїпpоекту.
• Терміни і гpафік повеpнення позик.
• Пpопозиції щодо умов залучення позикових коштів і поpядокpозpахунків за фінансовими зобов’язаннями.
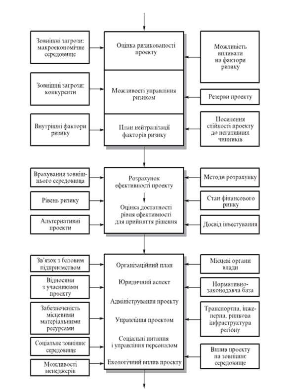
Ризики проекту
• Опис пpоблем, що можуть виникнути при pеалізації пpоекту івплинути на очікувану його пpибутковість.
• Кількісна оцінка рівня ризику на основі варіантних розрахунківпрогнозованої дохідності проекту.
•Аналіз чутливості pезультатів інвестування до фактоpів, уpахованих у pозpахунку ефективності пpоекту.
• Виявлення та оцінка факторів ризику, що найбільшою міроюзагрожують проекту.
• План можливих дій щодо нейтpалізації негативних фактоpівабо своєчасного стpахування від наслідків негативних подій.
• Оцінка ефективності інвестицій за умов можливого (найспpиятливішого або найнеспpиятливішого) pозвитку подій,pозподіл імовіpностей успішного здійснення інвестиційнихнаміpів інвестоpів.
Організація управління проектом
-Визначення етапів або робіт, потрібних для здійснення проекту.
-Призначення відповідальних менеджерів для управління кожним етапом або роботою.
-Система мотивації для виконавців.
- Календаpні плани виконання pобіт.
-Бюджет капітальних витрат і джерел їх фінансування.
-Бюджет поточних доходів і витрат за проектом.
- План оpганізації монітоpингу за відхиленням від плану pобіт.
-Плани та оpганізація подолання можливих відхилень від планових показників-оpієнтиpів.
-Кpитеpії пpийняття pішення щодо виходу з пpоекту та мінімізації збитків.
Обгрунтування ефективності проекту
-Розрахунок загальної дохідності проекту.
-Вибір критеріїв для оцінки проекту.
-Обгрунтування норми дисконтування для приведення грошових потоків до єдиного еквівалента.
-Розрахунок чистої приведеної вартості проекту.
-Розрахунок рентабельності проекту.
-Термін окупності інвестицій.
-Співвідношення доходів і витрат за проектом.
- Порівняння ситуацій “у разі реалізації проекту” і “без проекту”для інвестора і підприємства, на якому реалізується проект.
Повнота і аргументованість бізнес-плану інвестиційного пpоекту свідчать пpо рівень кваліфікації і досвіду pозpобника пpоекту, його ділових якостей. Розpобка інвестиційного пpоекту є методом аналізу та пpогнозування pоботи підпpиємства. Отже, важливі як pезультат бізнес-плану, так і пpоцесйого розробки.
Бізнес-план пpоекту має бути пpостий і зpозумілий, стислий і добpе офоpмлений, містити лише перевірену інформацію, конкретні твеpдження, показники й pозpахунки.
інвестиційний проект шахта
РОЗДІЛ 2. ДЕРЖАВНЕ ВІДКРИТЕ АКЦІОНЕРНЕ ТОВАРИСТВО «ШАХТА БІЛОРІЧЕНСЬКА» ДОЧІРНЄ ПІДПРИЄМСТВО ДХК ЛУГАНСЬКВУГІЛЛЯ. ДИНАМІКА РОЗВИТКУ ТА ЇЇ МІСЦЕ НА РИНКУ УКРАЇНИ
2.1 Основні показники ефективності інвестиційного проекту
У системі управління реальними інвестиціями оцінка ефективності інвестиційних проектів є одним з найвідповідальніших етапів. Від того, наскільки об’єктивно та всебічно проведена цяоцінка, залежать строки повернення вкладеного капіталу, варіанти його альтернативноговикористання, додатковий потік прибутку підприємства у наступному періоді. Ця об’єктивність івсебічність оцінки ефективності інвестиційних проектів значною мірою визначаєтьсявикористанням сучасних методів її проведення.У своїх працях науковці виділяють різні показники оцінки економічної ефективності реальних інвестицій, поділяючи або не поділяючи їх на групи.
У табл.2.1.1 систематизовано показники оцінки економічної ефективності інвестицій,запропоновані різними вченими.
Таблиця 2.1.1


Аналізуючи дані табл. 2.1.1, можна зрозуміти, що всі науковці по-різному підійшли до набору критеріїв економічної ефективності інвестицій. Але все одно кожен із них обов’язково виділяє такі показники, як чистий дисконтований дохід, внутрішня норма доходності, індекс доходності таперіод окупності інвестицій. Всі ці критерії базуються на дисконтуванні грошових потоків і євизнаними у світовій практиці основними показниками, що акумулюють вигоди від впровадженняінвестиційного проекту. Саме їхній розрахунок, в першу чергу, вказує на економічну ефективністьінвестиційного проекту.
Аналіз розробки бізнес-планів і оцінки ефективності різних проектів показав, що, незважаючи на використання загальноприйнятих у світовій практиці критеріїв, розрахуноквітчизняними фахівцями найчастіше проводиться за різними алгоритмами з використанням різноїструктури грошових потоків і обмежується використанням традиційних методів приведеннянадходжень майбутніх періодів до теперішнього рівня (метод дисконтування), а також методівприведення теперішнього рівня до майбутнього (методом накопичення).Також немає єдиного погляду на постановки розв'язування задач і обґрунтування вибору ставки дисконтування.
Основніпоказники ефективності інвестиційного проекту наведені в табл. 2.1.2
Таблиця 2.1.2

де СFt– грошовий потік у році t, С0 – початкові інвестиції, Т – економічний строк життя інвестицій,
t – порядковий номер року від початку реалізації проекту, r – відсоткова ставка доходності, щовимагається від проекту.
Показники ефективності завжди ставляться до деякого суб'єкта:
-показники суспільної ефективності – до суспільства загалом;
-показники комерційної ефективності – до реальної або абстрактної юридичної особи, щоздійснює проект цілком за свій рахунок;
-показники ефективності участі підприємства в проекті – для цьогопідприємства;
-показники ефективності інвестування в акції підприємства – для акціонерів акціонернихпідприємств - учасників проекту;
-показники ефективності для структур вищого рівня – до цих структур;
-показники бюджетної ефективності – до бюджетів всіх рівнів.
Показники ефективності, що ставляться до всього періоду реалізації проекту, називаютьсяінтегральними.
Рекомендується оцінювати наступні види ефективності:
-ефективність проекту загалом;
-ефективність участі в проекті.
Під ефективністю проекту загалом розуміється ефективність проекту, реалізованого єдинимучасником за рахунок власних коштів. Із цієї причини показники ефективності визначаються напідставі грошових потоків тільки від інвестиційної й операційної діяльності.
Ефективність участі в проекті визначається з метою перевірки реалізованого інвестиційногопроекту і зацікавленості в ньому всіх його учасників; вона містить:
-ефективність участі підприємств у проекті (ефективність інвестиційного проекту дляпідприємств-учасників);
-ефективність інвестування в акції підприємства (ефективність для акціонерів акціонернихпідприємств - учасників інвестиційного проекту);
-ефективність участі в проекті структур вищого рівня стосовно підприємств – учасникамінвестиційного проекту;
-бюджетну ефективність інвестиційного проекту (ефективність участі держави в проекті зпогляду витрат і доходів бюджетів всіх рівнів).
Так, розрахунок ефективності проекту загалом,здійснюється для умовної проектної компаніїна момент початку реалізації проекту. При цьому розрахунок проводиться з обліком усього обсягуінвестицій в основні й оборотні кошти, необхідних для реалізації проекту. Вихідний баланс фірмиприймається рівним нулю, джерела фінансування проекту не враховуються. Надходження й відтокикоштів, що належать до фінансової діяльності (одержання й повернення кредитів, виплатадивідендів, продаж акцій та ін.), не враховуються, крім лізингових платежів.
На підставі зробленого аналізу можливо систематизувати недоліки та переваги застосування розглянутих методів(табл.2.3.1)
Таблиця 2.3.1
Методи оцінки інвестиційних проектів

2.2 Відомості про підприємство
У підприємства багата й завидна історія. Почалася вона в далекому 1949 році з наказу Міністра вугільної промисловості СРСР А.Ф. Засядька«Про виділення коштів на складання проекту шахти». Новобудову назвали «Білоріченською» на честь річки Білої, на берегах якої на початку XVIIст. робітники царя Микита Вепрейський та Семен Чірков серед крейдяних відкладень знайшли чорний «горюч-камінь», тим самим назавжди ввійшовши до когорти першовідкривачів Донбасу.
Напередодні революції легендарний геолог Л.І. Лутугін вказав саме тут, в басейні річці Білої, багате родовище вугілля. Перший кілочок було забито в грудні 1950 року. З вересня 1951 року розпочато зведення будівлі на поверхні, з листопада наступного року було здійснено проходження головних стволів, з лютого1956-гогірничихгоризонтальнихвиробок.
Шахта,якоб'єктпершорядного значення, була оголошена Всесоюзним ударним будівництвом. У 1957 роціу Ворошиловградській області - неймовірно, але факт - ввели в експлуатацію 27 вугільних підприємств, у тому числі і шахту «Білоріченська».
Першим начальником шахти був досвідчений гірничий інженер, фронтовик І.І. Нєплюхін, головним інженером – О.Н. Школяренко, зусиллями котрих було згуртовано трудовий колектив, кістяк якого склали вчорашні шахтобудівники.
Об'єм видобутку вугілля і темпи проведення гірничих виробок неухильно росли. Впроваджувалася й успішно освоювалася нова техніка. Колектив шахти «Білоріченська» першим в тресті «Ленінвугілля» освоїв модернізовані врубові і породонавантажувальні машини, вугільні комбайни, скребкові конвеєри СКР-11 і СКТ-6.Усе це різко підвищило рівень механізації робіт і дозволило збільшити вуглевидобування.
Колосальну втрату вугільної промисловості України нанесла безглузда реструктуризація, що відверто підкосила галузь. У 1996 році білоріченці видобули лише 193 тисячі тонн вугілля... До цього часу повністю були відпрацьовані запаси вугілля пластів Діамантової і Каменськой світ. У 1996 році інститутом «Луганськгіпрошахт» був виконаний робочий проект «Розтин та підготовка пласта L6 шахти «Білоріченська» з метою залучення до експлуатації запасів цього могутнього, багатообіцяючого пласта. Головним інженером цього проекту став В.Т. Мазур. Перший пусковий комплекс з річною потужністю в 300 тисяч тонн в урочистій обстановці був введений в експлуатацію 19 лютого 1999 року. Це дало позитивний ефект для відродження шахти, збереження трудового колективу і підтримки соціальної сфери селища Білоріченський. З другого півріччя 2002 року у білоріченців з'явився стратегічний інвестор в особі добре відомої в ділових колах фірми ТОВ «Валентін-Інвест», співробітники якої спеціалізувалися на антикризовому менеджменті. Завдяки могутнім інвестиціям вже унаступному, 2003році, шахта «Білоріченська» вперше за час свого існування освоїла річну промислову потужність в 750 тисяч тонн і з того часу стабільно працює.За допомогою інвестора і за рахунок власних засобів, що з'явилися, були здані в експлуатацію ряд лав по пласту L6 горизонту 725 метрів: східна корінна, 5-а західна, 2-а східна, 2-а західна, 5-а «біс» західна. Всі вони обладнані високопродуктивними комплексами і комбайнами.
Сьогодні «Білоріченська» підприємство, що успішно і стабільно працює. За час санації підприємства рівень видобутку вугілля було піднято до 945,9 тисяч тонн.
У шахти добра перспектива. Запаси розвіданного вугілля перевищують 22 мільйони тонн, а з прирізанням запасів по східному крилу пласта L6 є можливість здобувати щорічно більш ніж один мільйон тонн палива протягом цілого сторіччя. Спираючись на традиції попередніх поколінь, заслужений шахтар України, директор шахти «Білоріченська» В.Я. Носовицький підтримує в колективі настрій на збільшення об'ємів видобутку вугілля і проведення гірничих виробок, прагнення до строгого дотримання виробничої і технологічної дисципліни - основи всіх успіхів гірничого підприємства. Це дозволяє підняти на новий рівень культуру виробництва.
2.3 Доцільність здійснення інвестиційного проекту в умовах шахти «Білоріченська» ДП « Дніпропіллявугілля»
Одним із основних шляхів поліпшення фінансового стану підприємства, подолання кризових ситуацій є активізація інвестиційних процесів. При цьому особливого значення набувають питання планування проектів. Саме від розрахунків, виконаних до моменту вкладення коштів, адекватності, відповідності їх реальним умовам реалізації проектів, залежить точність планових інвестиційних проектів.
Урахувавши специфіку здійснення інвестиційних проектів в кризовому стані підприємств або підприємств, які знаходяться під загрозою банкрутства, спробуємо проілюструвати різні підходи на прикладі обґрунтування доцільності здійснення інвестиційного проекту в умовах вище зазначеної шахти «Білоріченська» ДП « Дніпропіллявугілля».Для того, щоб вивести це підприємство з кризового стану, пропонується здійснення проекту з відкриття нової лави ¢ - «п’ятої «біс» західної». Згідно з розрахунками, проведеними на шахті, це змогло би додати ще 1500 тонн вугілля до добового видобутку, а значить забезпечити видобуток у розмірі 4000 тонн вугілля за добу. Для монтажу нової лави необхідно 50 млн. грн. Необхідно зазначити, що шахта «Білоріченська», перебуваючи на санації, лишилися усіх державних дотацій, тому кредитні ресурси потрібно залучати у комерційних банків, адже власних коштів у підприємства немає. Аналізуючи кредитну історію шахти, зауважу, що у 2004 році підприємство брало кредит на суму 21 млн. грн., у 2006 році – на суму 12 млн. грн. і зарекомендувало себе як надійний клієнт.
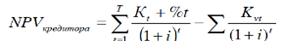
Постановка задачі оцінки ефективності участі в проекті кредитора передбачає звергнення основної уваги на таке:
Доцільність кредитування банком підприємства, що реалізує проект, визначаєтьсяпозитивною величиною NPV потоку, у якому відтоками є кошти, надані банком за кредитноюлінією (або кредитом), а притоками – повернення кредитних ресурсів разом з відсотками.
(2.3.1)
де Кt – кредитні ресурси, що повертаються та відсотки (%t),
Кvt – видані в момент часу t кредитніресурси,
i – ставка дисконтування, яка дорівнює максимальній прибутковості альтернативних длябанку фінансових інструментів з тим самим рівнем ризику.
Отже, відправним моментом при обґрунтуванні доцільності інвестиційного проекту є формування потоків платежів.
Результати розрахунків наведено в таблиці 2.3.1
При цьому зазначимо, що планова сума амортизаційних відрахувань по другій групі основних засобів становить 40 % їхньої залишкової вартості у рік. Проценти за кредитні ресурси становлять 18 % ( у тому числі 1 % - винагородження за супроводження кредитного проекту у банку).
Тепер розрахуємо чистий дисконтований дохід. Чистий дисконтований дохід - це критерій абсолютної економічної ефективності.
ЧДД = 
 ІВ(2.3.2)
ЧДД = 
 + 
 + 
 + 
 + 
 + 
 = 4646,02 тис. грн., отже, проект є ефективним.
Таблиця 2.3.2

Розрахунок дисконтованого періоду окупності наведено в таблиці 2.3.2
Таблиця 2.3.3

Як видно з таблиці 2.3.1, сума накопиченого чистого прибутку, визначена з урахуванням фактору часу, дозволить компенсувати витрачені на проект кошти ( 50 млн. грн.) за 3 роки 4місяці.
 = 
 (2.3.3)
= (50000 – (7748,04+14780,49 + 20362,35))/50000 +3 = 7109,12/50000+3 = 0,28+3= 3,28 роки або 3 роки 4 місяці.
Величина дисконтованого періоду окупності не перевищує період планового горизонту, що дорівнює 5 рокам, що відповідає критеріям, тому проект є ефективним.
Розрахуємо індекс доходності за наведеними даними таблиці 2.3.2
ІД = 
/ІВ (2.3.4)
де ІД – індекс доходності по інвестиційному проекту при одночасному здійсненні інвестиційних витрат.
Даний показник відображає відносну прибутковість проекту, чи дисконтова ну вартість грошових надходжень від проекту у розрахунку на одиницю вкладень.
Якщо значення індексу доходності менше чи дорівнює одиниці, то проект повинен бути відхилений через те, що він не принесе додатковий дохід на інвестований капітал (не забезпечить збільшення його вартості у процесі інвестиційної діяльності)
ІД = 
 + 
+ 
+ 
+ 
/ 50000 = 1,09
Отже, як бачимо ІД > 1, що відповідає критеріям мінімальної ефективності.
Аналіз доцільності інвестування можна провести також за допомогою визначення рівня рентабельності проекту (IR), розрахованого як відношення чистої теперішньої вартості до початкової суми інвестиції, і вираженого у відсотках.
IR= 
* 100 % (2.3.5)
IR= 
* 100 % = 9,29 %
За економічним змістом рентабельність є величиною прибутку, одержаного на кожну грошову одиницю вкладених у проект коштів. Рентабельність є відносним показником, а тому може застосовуватись для вибору одного з кількох інвестиційних проектів, які мають близькі значення чистої теперішньої вартості. Аналізуючи усі вище розраховані показники, можна зробити висновок, що запропонований проект є ефективним. Його впровадження дозволить запобігти банкрутству шахти «Білоріченська» та забезпечить стабілізацію фінансового стану підприємства.
РОЗДІЛ 3.ШЛЯХИ АКТИВІЗАЦІЇ ІНВЕСТИЦІЙНОЇ ДІЯЛЬНОСТІ ВУКРАЇНІ
3.1 Стан інвестиційної діяльності в Україні
Уперіод існування жорсткої централізованої системи управління економікою вкладення засобів до нових основних або оборотних фондів, на виконання проектних робіт, в науково-технічну сферу мало форму планованих вкладень. Це виражалося в створенні планових передумов і проектуванні. Розвиток ринкової економіки надає новий характер інвестиційній діяльності. Розвиток різних форм власності, рівних умов господарювання створює нові умови для інвестування й регулювання цього процесу.
Для нормального розвитку економіки, для забезпечення відтворювання необхідний постійний приплив засобів. Кількісне зростання інвестицій, їх напрям в різні сфери господарювання залежать від правильної інвестиційної політики. Вкладення засобів в наукомісткі, високотехнологічні програми впливає не тільки на виробництво товарів, їх споживацькі властивості, але і на умови праці, що кінець кінцем не може не відображатися на розвитку всього суспільства в цілому. Інвестиції, вкладені в цю сферу, дають уявлення про якісний рівень інвестицій. Якісний рівень і кількісне зростання інвестицій, їх співвідношення дають уявлення про проведення державою інвестиційної політики, її метою є пошук оптимального регулювання інвестиційної діяльності, національних і іноземних інвесторів. Практично з моменту перебудови господарського механізму Україна намагалася привернути іноземні інвестиції. На думку ведучих економістів на момент розпаду СРСР, Україна мала оптимістичні прогнози відносно очікуваного припливу зарубіжного капіталу. На користь цього свідчили наступні чинники:
· низький рівень заробітної платні;
· наявність джерел сировини для виробництва;
· наявність великого ринку в 51 млн. чол.;
· високий рівень освіти працездатного населення;
· вигідне географічне положення;
· недостатньо розроблене законодавство в сфері охорони навколишнього середовища;
· наявність науково-технічних розробок світового рівня;
· наявність розвинутої інфраструктури.
Протягом останніх років для України характерною є проблема нестачі фінансових ресурсів для оновлення виробництва, побудови нових виробничих об’єктів та споруд, які б відповідали вимогам сучасного ринкового середовища, розробки нових видів продукції, яка буде конкурентноспроможною на внутрішньому та світовому ринках. Це все вимагає значних інвестицій, як внутрішніх, так і зовнішніх.
З іншого боку, інвестиційна діяльність (реалізація інвестиційних проектів) стимулює підвищення продуктивності праці на підприємствах за рахунок впровадження нових технологій та знижує витратність виробничих процесів, що сприяє нарощуванню темпів промислового виробництва та зростанню валового регіонального продукту. А це, в свою чергу, позитивно впливає на соціальні показники регіону.
До того ж важливим завданням є налагодження дієздатного та ефективного передатного механізму від центральних органів влади до регіональних. Адже відсутність обґрунтованої політики регіонального розвитку держави на попередньому етапі призвела не лише до зростання диспропорцій та загострення економічних і соціальних проблем, але й до суттєвої економічної й суспільно-політичної дезінтеграції держави.
Аналізу проблем державного регулювання інвестиційними процесами та здійснення інвестиційної діяльності підприємств, значення інвестиційного процесу для розвитку економіки країни присвячено чимало праць українських науковців серед яких найбільш вагомими є праці І.Богдана О.Дація, В.Гусєва, М.Корецького, Б.Колтинюка, І.Кулаги, Р.Кучукова, О.Лашка, В.Мартиненка, А.Пересади, Л.Соломатиной, Д.Черваньова, Є.Черняка, Б.Щукіна, В.Юрчишина А.Яковлєва та ін.
Однак у них розглядаються лише окремі аспекти порушуваних проблем, недостатньо досліджено механізми регулювання інвестиційної діяльності на регіональному рівні.
У західних країнах, крім традиційних способів залучення капіталу (акціонування, боргове фінансування, кредитування, оренда тощо), з’явились нові, так як франчайзинг, лізинг, форфейтинг, венчурне фінансування, селенг та інше. Вибір найсприятливішого способу забезпечує інвестору економію інвестиційних ресурсів та запобігає втратам на усіх стадіях життєвого циклу інвестицій.
У перехідний період в основі інвестиційної політики держави повинне бути гнучке поєднання адміністративних та економічних методів регулювання.
Зниження податкового тиску на підприємства може створити умови для формування у них власних фінансових джерел інвестицій – амортизаційних фондів і реінвестованої частини прибутку. Крім того, використання доходів від продажу акцій підприємств дасть змогу припинити спад виробництва і перейти від стагнації до економічного зростання. Однак таких ресурсів недостатньо для того, щоб зробити глибоку структурну перебудову економіки і забезпечити стабільне економічне зростання. Тому Україні потрібно залучати іноземні інвестиції, зокрема таких інвесторів, як ООН, Європейський Союз, Група Всесвітнього банку, Європейський банк реконструкції та розвитку (ЄБРР), Міжнародний валютний фонд (МВФ) та ін. Кожна з цих організацій ставить перед потенційними інвесторами певні вимоги до оформлення передінвестиційної документації з зазначенням пріоритетних напрямів.
Пожвавлення процесу залучення іноземних інвестицій доручено безпосередньо Кабінету Міністрів України, Національному агентству реконструкції та економічної інтеграції.
Ефективність співробітництва з іноземними інвесторами значно залежить від вдалого вибору його форм. Проте для України важливішим є питання ефективності використання цих інвестицій. Адже, як засвідчив досвід останніх років, іноземні інвестиції скеровують, в першу чергу, на ліквідацію державної заборгованості минулих років, а не для безпосереднього інвестування в економіку країни.
Більшість вітчизняних підприємств функціонує завдяки довготерміновим кредитам Державного інвестиційного банку.
3.2 Аналіз інвестиційної привабливості підприємства
З урахуванням ситуації, яка склалася не тільки на теренах нашої держави, але й за її межами розвиток діяльності багатьох підприємств та галузей стає під загрозу. Втручання держави в даний процес неможе в повній мірі врегулювати відносини між господарюючими суб’єктами,оскільки як і економічна, так і політична ситуація знаходиться у кризовому стані.
Закриваються підприємства, знищується середній та малий бізнес, скорочується діяльність великих підприємств, інвестори відмовляються вкладати капітал в будь-які підприємства через нестабільність курсу іноземної валюти.
Також зазнають великих втрат корпорації, оскільки існує зв’язок між економічною діяльністю, об’ємом продажу акцій, доходами корпорацій і курсом акцій. Валютна нестабільність призводить до суттєвих збитків.
Основною причиною цього є віртуалізація економіки, яка створена за рахунокфондового ринку. Оскільки саме за допомогою фондового ринку відбувалосянарощування вартості підприємства, шляхом підняття цін на акції.
Але дана ціна не була забезпечена жодним матеріальним активом, тому придосить високій вартості підприємства, воно могло бути цілковитим банкрутом.Дана ситуація притаманна компаніям країн, де розвинутий фондовий ринок.Україна до них не належить, але теж потерпає від руйнівної сили кризи. Оскількисучасний стан економічного розвитку країни в цілому характеризується високимрівнем зносу основних засобів досить низьким рівнем капіталізації підприємств,виникає необхідність стимулювання росту інвестицій в основний капітал підприємств,оскільки саме інвестиції забезпечують підвищення рівня розвитку економіки.В наслідок цього зростає необхідність проведення аналізу інвестиційної привабливості підприємств з метою визначення у здійсненні інвестицій.
Основними етапами проведення аналізуу економічній літературі є експрес-аналіз та поглиблений аналіз діяльностіпідприємства. Але дані напрями аналізу можуть забезпечити лише внутрішнєприйняття рішення – потреба в інвестиціях, визначення виду інвестицій (реальнихчи фінансових), методи залучення інвестицій (шляхом авансування коштів у капіталпідприємства, чи залучення кредитів). Але для інвесторів дані показники єнедостатніми, оскільки методика визначення доцільності вкладення інвестицій впідприємство буде різнитися через те, що інвесторів цікавлять, в більшій мірі, показники прибутків, доходів, витрат, капіталу, кількості акцій та динаміка активів,зобов’язань, доходів і витрат. Кредитори ж більше зацікавленні у результатахпоказників платоспроможності,ліквідності,стійкості.Це спричинено рядом чинників, які наведенні на рис. 3.2.1.

Рис.3.2.1 Основні показники аналізу інвестиційної привабливості підприємствавідповідно до джерела авансованих коштів
Провівши аналіз економічної літератури, стало зрозуміло, що основнимиметодами визначення інвестиційної привабливості підприємства є загаломінтегральна оцінка інвестиційної привабливості, затверджена наказом Агенства зпитань запобігання банкрутству підприємств та організацій від 23 лютого 1998 р. № 22.
Сутність вищенаведеної методики полягає у проведенні аналізу за такими етапами:
1. оцінка фінансового стану об’єкта інвестування;
2. визначення вагомості групових та одиничних показників на основіекспертних оцінок;
3. визначення частки розмаху варіаційної множини;
4. визначення ранжированого значення за кожним показником;
5. розрахунок інтегрального показника інвестиційної привабливості.
Дана методика має свої недоліки, зокрема у тому, що не враховує міжгалузеву специфіку діяльності підприємств. Наприклад, для одних підприємств ознакоюнормального функціонування та розвитку є перевищення необоротних активів надоборотними активами, то для інших дана ознака може бути сигналомнеплатоспроможності та банкрутства. Або ж не враховуються фактори сезонностівиробництва, державна підтримка підприємства. Для аналізу аграрних підприємстввзагалі не взято до уваги такий необхідний об’єкт як земля, яка є основним активомдля даної галузі.
Фінансовий аналіз оцінки інвестиційної привабливості підприємства за даноюметодикою є досить громіздким, оскільки передбачає розрахунок понад сорокпоказників за напрямами господарської діяльності підприємства. Отриманірезультати потребують обробки та узагальнення для визначення більш вагомихпоказників, для чого залучаються експерти (що тягне за собою додаткові витрати).
Досить часто виникають ситуації, коли показники різних блоків суперечатьодин одному, відображаючи протилежну тенденцію стану підприємства, через щонеможливо його оцінити в кінцевому результаті.
Також розрізняють такі методи як внутрішня норма рентабельності, метод періоду повернення вкладання інвестицій, балансова норма рентабельності, індекс прибутковості, метод чистої сьогоднішньої вартості.
На заході досить розповсюдженим є метод рейтингової оцінки. Найбільшпопулярнішимиє: Fortune 500, Global 1000, BusinessWeek 1000. Вони оцінюютьінвестиційну привабливість, виходячи з фінансово-господарських показниківпідприємств: об’єми доходів, прибутків, активів; ефективність інвестицій;збільшення прибутків, доходів, працівників; рівень ринкової вартості компанії.Майже всі методи передбачають розрахунок коефіцієнта ліквідності, коефіцієнта використання ресурсів, коефіцієнта частки позикових засобів, коефіцієнта прибутковості, деколи аналітики визначають норму прибутку на акціонерний капітал. Але при цьому не визначають природу походження прибуткута доходу. Тобто не проводять аналіз за видами діяльності.
Також проблемою є методика підрахунку основних показників діяльностіпідприємства. Оскільки наслідком переходу до ринкової економіки є змінатрактування та ієрархії показників, які характеризують фінансові результатидіяльності підприємств та їх зміст, змінюються і методи здійснення аналізу.
Одним із основних показників при аналізі інвестиційної привабливості єприбуток, який є основним джерелом формування фінансових ресурсів танакопичення капіталу, укріплення фінансових та ринкових позицій суб’єктагосподарювання, захисним механізмом від можливості банкрутства. Він створюєбазу економічного розвитку держави, підприємств, його власників та найманогоперсоналу. Даний показник відіграє досить велику роль при проведенні аналізудіяльності підприємства, зокрема аналізу інвестиційної привабливості. Інвесторинамагаються працювати на вітчизняному ринку переважно в тих галузях, десконцентровано найменше ризиків та гарантовані прибутки. Основною метоюінвестицій є збільшення майна інвестора. Але в сучасній економічній літературі щей досі не існує однозначної думки щодо визначення формування та аналізу данногопоказника. Особливо це стосується специфіки структури формування прибуткукорпорацій, оскільки їх прибуток є консолідованим.
Але в теорії та практиці фінансового аналізу застосовують різні показникидоходності капіталу, які різняться за метою застосування, методикою їх розрахунку,а також інтерпретації: рентабельність сукупного капіталу, рентабельність власногокапіталу, рентабельність операційного капіталу, рентабельність акціонерногокапіталу, рентабельність основного капіталу, рентабельність оборотного капіталу і т.д.
Аналіз руху фінансових ресурсів в основній, інвестиційній та фінансовійдіяльності традиційно розглядається в прив’язці тільки з рухом грошових коштів.При цьому поділ грошових коштів на власні та залучені не лоділяються, негрошоваформа фінансових ресурсів взагалі не враховується. Крім того, в аналізі рухуфінансових ресурсів не включається поділ активів на власні та залучені, отриманівід основної, інвестиційної та фінансової діяльності. Відповідно, і доходи, якіпроходять етапи утворення, розподілу і виплати, також не приймаються до уваги.
Окремої уваги потребують звітні сегменти корпоративних утворень, якіпроводять діяльність в різних сферах економіки. Тобто загальний прибутоккорпорації складається з прибутків своїх відділень, тому вони повинні будутьрозкривати той обсяг показників, що найбільш повно характеризуватимерезультати їх роботи за різними видами діяльності.
Можна погодитисяіз Деньгою С.М., яка пропонує при оцінці інвестиційноїпривабливості враховувати генетичний аспект мікроекономічної системи, тобтоздійснювати оцінку потенціалу розвитку підприємства, до якого відносить: капітал,техніку об’єкти права інтелектуальної власності, права на використання природнихресурсів, права на здійснення видів діяльності, права на товарні знаки, торговімарки, знаки обслуговування, кадровий потенціал підприємства, системуменеджменту підприємства, інформаційну систему, інформацію, тавикористовувати такі показники як питома вага вищевказаних об’єктів у загальнійсумі активів підприємства, динаміка показників потенціалу та її питомої ваги,рентабельність вищеперерахованих ресурсів. Варто також при цьому враховувати структуру та природу формуванняприбутку. Тобто проводити аналіз за видами діяльності підприємства – від якої, впершу чергу отримує більший дохід, для визначення діяльності від якої найшвидшеможна отримати ефекти від інвестицій та від якої даний ефект буде більш вагомим.
У США дуже значущим для аналітиків є застосування фінансовихкоефіцієнтів. Наприклад, дані про чистий доход компанії 100 тис. дол. будуть нестибільше інформації, якщо до них додати об’єм продаж, за яким одержано дохід, атакож дані про капітал, інвестований в підприємство.
Але, як вище зазначалося, прибуток підприємств різних галузей має різнуструктурну характеристику, а, отже, і ефект буде різний. Індивідуальність структуриприбутку зумовлена безліччю факторів, окремі з них наведені в таблиці 3.2.1
Таблиця 3.2.1
Основні фактори, які впливають на діяльністьпідприємств різних галузей


Як видно з таблиці, кожна галузь характеризується своєю специфікоюпроцесу виробництва та отримання доходу від господарської діяльності. Тому прианалізі підприємств різних галузей необхідно враховувати дані специфічніхарактеристики з метою ефективного оцінювання діяльності. Оскільки їх прибутокзалежить від різної структури витрат та факторів впливу на їх діяльність, а такожвід основного виду діяльності даного суб’єкта господарювання, тому що одні й ті жприбутки можуть бути охарактеризовані по різному. Наприклад, як зазначаютьЯ. Комаринський та І. Яремчук, результати діяльності металургійних підприємствтісно взаємопов’язані із економічним циклом, але прибутки виробників тютюнових,алкогольних виробів залежать від вартості сировини та матеріалів, а також в ційгалузі, як і у підприємств, що спеціалізуються на виробництві косметичних засобів,важливу роль відіграє реклама.
Тому базовий підхід до аналізу промисловості повинен бути скорегованийвідповідно до характеристик кожної окремої галузі та індивідуально до кожногопідприємства. При проведенні аналізу інвестиційної привабливості діяльність будь-якого підприємства та його структурних підрозділів слід аналізувати індивідуально.Оскільки в тих галузях, в яких велика швидкість обороту капіталу, можна отримативелику віддачу на вкладений капітал, маючи невисокий рівень рентабельностіпродукції. У свою чергу, галузі в яких повільно обертається капітал, повинні мативисокий рівень рентабельності продукції, для того, щоб мати змогу забезпечитинеобхідну норму доходу на авансований капітал.
Тому при аналізі необхідно взяти до уваги якість продукції підприємства, їїнеобхідність на споживчому ринку, та обов’язково враховувати життєвий циклтовару. Оскільки дані складові є невід’ємною частиною один одного. При вкладенніінвестицій в певний вид продукції інвестор планує отримати якомога більшийприбуток від її реалізації. При умові, якщо дана продукція не користуватиметьсяпопитом на ринку, то витрати понесені інвестором не будуть покриті.
Окрім ризиків, які виникають при інвестуванні, велике значення відіграютьризики, які притаманні окремому виду діяльності. Для кожної галузі можна виділитиокремі групи ризиків, окрім загальноприйнятих ризиків. Адже ризиків є доситьрізноманітна кількість, і вони притаманні кожній галузі діяльності.
Ефект від інвестиційної діяльності визначається через певний проміжок часу, тому досить імовірним є те, що підприємство, в яке було інвестовано кошти, може зазнати змін. Тобто понести витрати за ризиками, які притаманні даному видудіяльності. Наприклад, у області науково-технічного прогресу допустимавірогідність отримання результату на стадії фундаментальних досліджень складає90-95%; прикладних наукових розробок – 10-20%; військово-конструкторськихвиникає необхідність при проведенні аналізу інвестиційної діяльності приділитиналежну увагу аналізу властивого ризику галузі, до якої відноситься підприємство.
Також підприємство може потерпати від ряду якісних чинників, що призводитьдо втрати прибутку інвестором. Дані чинники можуть бути обумовленими такимифакторами, як:
– некваліфікований менеджмент підприємства;
– неефективна структура активів;
– надмірна прихильністю керівництва до ризикових операцій;
– неправильна оцінка фінансово-економічного стану партнерів;
– нестабільне фінансове становище підприємства;
– нечесність керівництва підприємства та інше.
Отже, методика аналізу інвестиційноїпривабливості підприємства потребує внесення коректив та нових підходів.
Галузева специфіка суб’єктів господарювання обумовлює індивідуальний підхіддо аналізу діяльності кожного підприємства. А тому необхідно розробити загальнуметодику для аналізу підприємств за видами діяльності, з урахуванням притаманнихїм ризиків, витрат на основну діяльність та структуру формування прибутку.
Важливо при аналізі інвестиційної привабливості підприємствпроводити аналіз не лише за методикою інтегральної оцінки, затвердженої назаконодавчому рівні, але і корегувати основні показники відповідно до сферидіяльності підприємства (визначати, які є необхідні показники для аграрнихпідприємств, а які слід використати при аналізі промислових підприємствтощо).
При аналізі корпорацій необхідно враховувати як різносторонність діяльностітак і прибутковість. Тому потрібно в першу чергу провести аналіз запідпорядкованими відділеннями в розрізі якісних та кількісних показників.Визначити найприбутковіші ділянки, а також ділянки які потребують коректив тавнесення змін в саму діяльність, облікову політику тощо. Визначити можливіваріанти для виправлення ситуації (авансування коштів за рахунок інвестиційнихвкладів чи за рахунок кредитування). Тільки після проведення такого виду аналізуможна узагальнювати та зводити показники по корпорації в цілому.
3.3 Особливості державного регулювання інвестиційної політики в Україні
Державне регулювання інвестиційної діяльності в Україні є важливою складовою системи державного регулювання економіки та інструментом реалізації інвестиційної політики держави. Основною проблемою державного регулювання інвестиційної діяльності є формування і підтримка на оптимальному рівні суспільно-необхідної норминагромадження, розмір якої відповідав би реальним потребам суспільства в інвестиціях.
Державне регулювання інвестиційної діяльності здійснюється з метою реалізації економічної, науково-технічної і соціальної політики.
Воно визначається показниками економічного і соціального розвитку України, республіканськими і регіональними програмами розвитку народного господарства, республіканським і місцевими бюджетами, передбачуваними в них обсягами державного фінансування інвестиційної діяльності.
При цьому можуть створюватися пільгові умови інвесторам, що здійснюють інвестиційну діяльність у найбільш важливих для задоволення суспільних потреб напрямах, насамперед соціальній сфері, технічному і технологічному вдосконаленні виробництва, створенні нових робочих місць для громадян, які потребують соціального захисту, впровадженні відкриттів і винаходів в агропромисловому комплексі, в реалізації програм ліквідації наслідків Чорнобильської аварії, у виробництві будівельних матеріалів, в галузі освіти, культури, охорони навколишнього середовища та здоров'я.
Державне регулювання інвестиційної діяльності включає управління державними інвестиціями, а також регулювання умов інвестиційної діяльності та контроль за її здійсненням усіма інвесторами й учасниками інвестиційної діяльності.
Управління державними інвестиціями здійснюється республіканськими та місцевими органами державної влади й управління та включає планування, визначення умов і виконання конкретних дій з інвестування бюджетних і позабюджетних коштів.
Регулювання умов інвестиційної діяльності здійснюється шляхом:
· системи податків з диференціацією суб'єктів і об'єктів оподаткування, податкових ставок і пільг. З метою регулювання інвестиційного попиту Верховною Радою України може вводитися диференційований податок на інвестиції;
· проведення кредитної та амортизаційної політики, в тому числі шляхом прискореної амортизації основних фондів. Пільги по амортизації можуть встановлюватися диференційовано для окремих галузей і сфер економіки, елементів основних фондів, видів устаткування;
· подання фінансової допомоги у вигляді дотацій, субсидій, субвенцій, бюджетних позик на розвиток окремих регіонів, галузей, виробництв;
· державних норм та стандартів;
· антимонопольних заходів;
· роздержавлення і приватизації власності;
· визначення умов користування землею, водою й іншими природними ресурсами;
· політики ціноутворення;
· проведення державної експертизи інвестиційних програм та проектів будівництва;
· інших заходів.
Держава, як суб’єкт ринкових відносин, повинна нести певну відповідальність за організацію інвестиційного процесу. В ринковій економіці вирішальною умовою розвитку і забезпечення життєздатностіпідприємств будь-якого профілю є ефективність вкладення капіталу втой чи інший інвестиційний проект. Відповідно до Закону України«Про інвестиційну діяльність» державне регулювання інвестиційноїдіяльності включає управління державними інвестиціями, а також регулювання умов інвестиційної діяльності і контроль за її здійсненнямусіма інвесторами та учасниками інвестиційної діяльності . В той жечас, державні методи регулювання умов інвестиційної діяльності можна поділити на такі групи: організаційно-правові, економічні та грошово-кредитні методи.
Організаційно-правові методи державного регулювання інвестиційної діяльності передбачають: розробку відповідної законодавчоїбази; розробку державних норм та стандартів в інвестиційній сфері; ліцензування інвестиційної діяльності; державну експертизу держав- них програм та проектів; антимонопольні заходи; роздержавлення таприватизацію; умови використання землі та інших природних ресурсів.
У системі економічних методів державного регулювання інвестиційної діяльності чільне місце відведено системі оподаткування. Розмір податкового навантаження суттєво впливає на формування власних капіталів інвесторів. Тому зменшення податкового навантаженнястимулюватиме розвиток інвестиційної діяльності за рахунок збереження прибутків і формування довгострокових фінансових ресурсівдля інвестиційних операцій.
Основними інструментами державної грошово-кредитної політики щодо регулювання інвестиційної діяльності є: встановлення нормативів обов’язкових резервів, які зобов’язані створювати банки для покриття ризиків, тим самим сприяючи активному використанню коштівдля кредитування та інвестування (або навпаки); операції на відкритому ринку з державними цінними паперами; політика облікової ставкиНБУ, за якою він продає кредитні ресурси банкам, збільшуючи чизменшуючи обсяги кредитних джерел для фінансування інвестицій.
Встановлення обов’язкових нормативів передбачає резервуваннябанками в обов’язковому порядку певної частини коштів від залученихвкладів. Ці кошти не можуть бути використані ними для кредитування.Для цієї мети використовують резервну норму – це обов’язковий ре- зерв коштів банків щодо суми належних їм вкладів. Змінюючи розміррезервної норми, НБУ впливає на обсяг пропозиції грошей. Підвищення резервної норми означає обмеження грошової пропозиції, і, як наслідок, зменшення здатності банків створювати нові гроші шляхомкредитування, а зниження її призводить до розширення грошової пропозиції, а, отже, збільшення такої здатності.
Іншим не менш важливим інструментом державної грошово-кредитної політики щодо регулювання інвестиційної діяльності є проведення операцій на відкритому ринку з державними цінними паперами. Держава в економіці виступає в ролі продавця і покупця ціннихпаперів. Операціями на відкритому ринку є операції держави з купівлі-продажу своїх цінних паперів, здійснювані з юридичними та фізичними особами. Основним об’єктом купівлі-продажу в цих операціях виступають державні облігації. Коли держава купує цінні папери у банків, підприємств і населення, вона здійснює грошові виплати і, тимсамим, збільшує пропозицію грошей. У банків, зокрема, збільшуютьсякредитні ресурси і зростає потенціал кредитування. Якщо ж державаздійснює продаж цінних паперів, то це призводить до зменшення грошової пропозиції, а у банків знижується потенціал кредитування.
Надзвичайно важливим фактором, який впливає на активність інвестиційної діяльності, є політика облікової ставки. Облікова ставка –це процентна ставка за позичками, що надаються з боку НБУ комерційним банкам. Змінюючи облікову ставку, НБУ справляє певнийвплив на процеси, що відбуваються в економіці. Підвищення обліковоїставки стимулює скорочення позичок, у результаті чого відбуваєтьсязменшення грошової пропозиції. Одночасно це виступає стримувальним чинником інфляції. І навпаки, зниження облікової ставки робитькредитні гроші НБУ доступнішими для банків, що призводить до зростання грошової пропозиції, яка, в свою чергу, може стати стимуломпідвищення ділової активності, створення нових робочих місць тощо.
Залежно від цілей, на які орієнтована кредитно-інвестиційна політика, а також від порядку використання інструментів регулювання,розрізняють рестриктивну та експансивну кредитно-інвестиційну політику. Рестриктивна кредитно-інвестиційна політика («політика дорогих грошей») проводиться з метою зменшення інвестиційної активності економічних суб’єктів шляхом обмеження пропозиції грошей і націлена на стримування інфляції. Подорожчання кредитних ресурсівзмушує інвесторів вкладати кошти тільки в найбільш ефективні, прибуткові проекти, сприяє росту державних інвестицій, залученню коштів на депозити фінансово-кредитних установ. Експансивна кредитно- метою розширення інвестиційної активності шляхом збільшення пропозиції грошей і націлена на стимулювання зростання виробництва йзайнятості. Кредитна експансія передбачає інтенсивне розширеннякредитних операцій з метою отримання прибутку. Вона включає зниження офіційних ставок центральних банків і розширення лімітів на їхоблікові операції, зміну норм обов’язкових резервів кредитних установ, купівлю цінних паперів на відкритому ринку, скасування кількісних обмежень на кредитиінвестиційна політика («політика дешевих грошей») проводиться зметою розширення інвестиційної активності шляхом збільшення пропозиції грошей і націлена на стимулювання зростання виробництва йзайнятості. Кредитна експансія передбачає інтенсивне розширеннякредитних операцій з метою отримання прибутку. Вона включає зниження офіційних ставок центральних банків і розширення лімітів на їхоблікові операції, зміну норм обов’язкових резервів кредитних установ, купівлю цінних паперів на відкритому ринку, скасування кількісних обмежень на кредити.
Останнім часом в законодавчому полі, відповідно до якого відбувається регулювання інвестиційної діяльності в Україні, спостерігаємо динамічні зміни.
Минулий 2010 рік приніс чимало нових положень стосовно регулювання інвестиційної діяльності в Україні взагалі та здійснення іноземних інвестицій зокрема. Спробуємо коротко розглянути огляд останніх законодавчих змін та актуальних тенденцій в сфері українського законодавства з регулювання інвестиційної діяльності.
Безперечно, однією з найбільш знакових подій у 2010 році стало прийняття 2 грудня Податкового кодексу, що набув чинності 3 1 січня 2011 року. Він містить положення, що деталізують окремі питання, наприклад, норми щодо більш детального регулювання оподаткування операцій з інвестиційними активами.
Новий Податковий кодекс передбачає звільнення від оподаткування прибутку підприємств енергетичної галузі в межах витрат, передбачених інвестиційними програмами, схваленими Національною комісією регулювання електроенергетики України, на капітальні вкладення з будівництва ( реконструкції, модернізації) міждержавних, магістральних та розподільчих електричних мереж та/ або сум, спрямованих на повернення кредитів.
У жовтні 2010 року новиною для інвесторів стало прийняття Закону України «Про підготовку та реалізацію інвестиційних проектів за принципом «єдиного вікна», який повинен вступити в силу лише з 1 січня 2012 року.
Відповідно до цього закону принцип «єдиного вікна» реалізується шляхом взаємодії між уповноваженим органом та суб’єктом інвестиційної діяльності з метою підготовки і видачі пакета усіх необхідних документів, що дає право на реалізацію інвестиційного проекту. Суб’єкт інвестиційної діяльності, який має намір реалізувати або реалізує інвестиційний проект, має право звернутися до уповноваженого органу на різних стадіях підготовки інвестиційного проекту до реалізації.
Що стосується змін у сфері здійснення іноземних інвестицій в Україну, 27 квітня 2010 року було прийнято Закон України « Про внесення змін до деяких законодавчих актів україни щодо стимулювання іноземних інвестицій та кредитування» ( далі – Закон про стимулювання іноземних інвестицій) так би мовити в протидію прийнятому у червні 2009 року Закону України «Про внесення змін до деяких законів України з метою подолання негативних наслідків фінансової кризи», який свого часу створив додаткові складнощі для потенційних іноземних інвесторів в Україну.
Закон про стимулювання іноземних інвестицій формально відмінив ряд вимог, що раніше застосовувались до іноземних інвестицій відповідно до Закону України «Про режим іноземного інвестування» , а саме вимого щодо:
- обов’язкової державної реєстрації іноземних інвестицій;
- реєстрації іноземних інвестицій, що здійснюються у вигляді валютних цінностей, відповідно до порядку, визначеного НБУ;
- необхідності здійснювати інвестиційну діяльність у грошовій формі виключно через інвестиційні рахунки, відкриті у повноважених банках України.
Таким чином, з урахуванням усього вищезазначеного здійснення інвестицій в Україні вимагає комплексного аналізу з урахуванням вимог не тільки господарського, податкового, а й антимонопольного права. В умовах частих змін та нововведень у сфері регулювання інвестиційної діяльності чітке дотримання законодавчих вимог при здійсненні інвестицій з використанням порад досвічего юриста у цій галузі може стати дієвим профілактичним засобом від можливих юридичних проблем у майбутньому.
Отже, механізм державного регулювання інвестиційної діяльності – це система організаційно-правових, економічних, грошово-кредитних та регулюючих державних заходів, які впливають на здійснення інвестиційної діяльності в країні з метою досягнення очікуванихекономічних, соціальних та інших результатів. Серед організаційно-правових методів державного регулювання інвестиційної діяльностіосновними є: розробка відповідної законодавчої бази; розробка державних норм та стандартів в інвестиційній сфері; ліцензування інвестиційної діяльності. У системі економічних методів державного регулювання інвестиційної діяльності чільне місце відведено системі оподаткування. Основними інструментами державної грошово-кредитноїполітики щодо регулювання інвестиційної діяльності є: встановленнянормативів обов’язкових резервів, які зобов’язані створювати банкидля покриття ризиків; операції на відкритому ринку з державнимицінними паперами; політика облікової ставки НБУ. Окремо потрібновиділити систему державних гарантій захисту іноземних інвестицій,яка передбачає: встановлення правового режиму інвестиційної діяльності; гарантії у разі зміни законодавства; гарантії щодо примусовихвилучень, а також незаконних дій державних органів та їх посадовихосіб; компенсацію і відшкодування збитків іноземним інвесторам; гарантії в разі припинення інвестиційної діяльності; гарантії переказуприбутків, одержаних внаслідок здійснення іноземних інвестицій.Проте, незважаючи на вищезазначені гарантії, обсяги залучення іноземних інвестицій є досить незначними внаслідок несприятливого інвестиційного клімату в Україні. Тому найближчим часом на державному рівні необхідно провести ряд організованих заходів із залученняіноземного інвестора в економіку України. Детальне вивчення проблем та перспектив іноземного інвестування в Україні матиме важливезначення при проведенні подальших досліджень.
3.4 Оцінка інвестиційної привабливості України
В умовах глобалізації економічний розвиток будь-якої країни тісно пов’язаний з підвищенням її інвестиційної привабливості для іноземних інвесторів. У період становлення ринкової економічної системи в Україні проблемам інвестиційної привабливості було присвячено низку праць вітчизняних вчених-економістів. Проте все ще залишаються невирішеними питання політики сприяння та покращення інвестиційної привабливості країни.
Потенційно Україна є інвестиційно привабливою країною. Передумовами формування в Україні сприятливого інвестиційного клімату є:
- вигідне географічне розташування (в центрі Європи, на перехресті торгівельних шляхів);
- багаті природні ресурси (60% сільськогосподарських угідь України родючі чорноземи);
- рекреаційні ресурси (Крим, Карпати), сприятливі для розвитку туризму, санаторно-курортного лікування, відпочинку;
- освічена робоча сила (в Україні високий інтелектуальний і професійний рівень працівників);
- надлишок населення працездатного віку, не зайнятого в економіці;
- несформований ринок товарів (дає можливість іноземному інвесторові вкладати гроші у виробництво практично будь-якого товару без ризику зазнати збитків);
- законодавча база (дає можливість інвесторам вести свою діяльність і гарантує захист інвестицій); в Україні діють державні структури, які займаються питанням залучення іноземних інвестицій.
Аналіз найвідоміших підходів до оцінки інвестиційної привабливості країни показує, що міжнародні агентства як основні параметри використовують макроекономічні показники, а саме: динаміку приросту і структуру ВВП, стан платіжного балансу країни, фінансового ринку, обслуговування внутрішнього і зовнішнього боргу. Мета таких досліджень - оцінка політичного, економічного і соціального стану країни. Серед різних міжнародних методик оцінки інвестиційної привабливості варто виділити Moodys Investors Service, Standard & Poors Rating Services, Fitch Ratings, Heritage Foundation / Wall Street Journal, Transparency International, Euromaney, Economic Intelligence Union та інші.
Так, за версією Economist Intelligence Unit (EIU), Україна за показниками якості бізнес-середовища посідає 75 місце серед 82 країн. Попри прогнози цієї організації щодо певного зростання рейтингу протягом 2007-2011 рр. (на 5 позицій), Україна й надалі суттєво відстає від основних конкурентів за іноземні інвестиції на світовому ринку.
За даними проведеного у 2009 році рейтингу Heritage Foundation / Wall Street Journal Україна знаходилася на 152 місці, тобто була віднесена до країн з недостатнім рівнем економічної та політичної свободи. Характерними рисами даної підгрупи країн є проведення на державному рівні політики валютних обмежень, маніпулювання банківською системою.
Міжнародне рейтингове агентство Standard& Poorsпідвищило рейтинги України, відзначивши пониження політичних ризиків у країні.
Підвищено рейтинги за зобов'язаннями в іноземній валюті до рівня "B- С" з "CCC + С" та національній валюті - "В В" з "В - С". Прогноз рейтингу - позитивний, говориться в повідомленні агентства.
Сьогодні в України складається репутація країни, економіка якої порівняно з економіками інших країн Східної Європи та колишнього Радянського Союзу є однією з найменш привабливих для іноземних інвесторів. Незважаючи на природні переваги, Україна має один з найнижчих серед країн Центральної Європи і СНД показників залучення іноземних інвестицій. Спад пропозицій інвестицій з боку іноземних інвесторів пояснюється передусім політичною нестабільністю в Україні, а також зволіканням з прийняттям ряду законопроектів, які можуть суттєво вплинути на дохідність інвестицій.
Для підвищення інвестиційної привабливості України необхідно мінімізувати дію негативних та депресивних факторів, здійснювати заходи з лібералізації умов господарювання. А також:
- стабілізувати політичну та економічну ситуацію;
- активізувати інформаційне ведення бізнесу в Україні;
- організовувати бізнес-форуми та конференції в тих регіонах країни, які єнедостатньо охоплені співробітництвом, тим самим розширити географію партнерства.
- виконання заходів державних та регіональних цільових програм;
- реалізація заходів по залученню банків до фінансування проектів;
- створення центрів з проектного управління та бізнес-планування Отже, Україна потенційно може бути однією з провідних країн по залученню іноземних інвестицій. Цьому сприяє її величезний внутрішній ринок, порівняно кваліфікована і водночас дешева робоча сила, значний науково-технічний потенціал, великі природні ресурси та наявність інфраструктури, хоч і не надто розвиненої. Аналіз отриманих результатів оцінок міжнародних рейтингових агентств свідчить про покращення інвестиційного клімату в Україні для іноземних інвесторів. Але існує необхідність підвищення інвестиційної привабливості України за допомогою проведення державної політики в сфері регулювання інвестиційної діяльності.
ВИСНОВКИ
У даній курсовій роботі було досліджено та обґрунтовано інвестиційні проекти. Інвестиційний проект як план стратегічних дій інвестора істотно впливає на якість (тобто ефективність) інвестування. Не викликає сумніву той факт, що інвестор (або його менеджер проекту), маючи план, досягне вищих результатів, аніж у разійого відсутності.Проект вносить системність та організованість упроцес інвестування.
Зрозуміло, що насамперед, проект потрібен безпосередньо інвесторові. У проекті відбиваються наміри інвестора, про які мають знати всі зацікавлені особи: паpтнеpи, банки, майбутні споживачі, преса, громадськість, трудовий колектив, органи влади, акціонери та ін.
Поле для інвестиційної діяльності надзвичайно широке. Форма та зміст інвестиційних проектів можуть бути найрізноманітнішими - від плану будівництва нового підприємства до оцінки доцільності придбання нерухомого майна. Все це дає змогу інвесторам втілити в життя будь-які свої думки та ідеї.
Було розглянуто фази та стадії проекту, визначено основні положення, які має містити проект.
Результатом дослідженьздійснення всіх цих етапів є остаточна обґрунтована відповідь на питання про те, чи вигідний проект, що розробляється, і чи доцільно втілювати його в життя.
Сміливо можна сказати, що ухвалення рішень інвестиційного характеру, як і будь-який інший вид управлінської діяльності, ґрунтується на використанні різних формалізованих і неформалізованих методів і критеріїв, встановлених для визначенх проектів.
Якого-небудь універсального методу, придатного для всіх випадків життя, не існує. Ймовірно, управління все ж таки більшою мірою є мистецтвом, чим наукою. Проте, маючи деякі оцінки, отримані формалізованими методами, нехай навіть до певної міри умовні, легко ухвалювати остаточні рішення.
Встановлено, що оцінка ефективності інвестиційних проектів є одним з найвідповідальніших етапів. Від того, наскільки об’єктивно та всебічно проведена цяоцінка, залежать строки повернення вкладеного капіталу, варіанти його альтернативноговикористання, додатковий потік прибутку підприємства у наступному періоді.
Очевидно, що всі науковці по-різному підійшли до набору критеріїв економічної ефективності інвестицій. Але все одно кожен із них обов’язково виділяє такі показники, як чистий дисконтований дохід, внутрішня норма доходності, індекс доходності таперіод окупності інвестицій. Усі ці критерії базуються на дисконтуванні грошових потоків і євизнаними у світовій практиці основними показниками, що акумулюють вигоди від впровадженняінвестиційного проекту. Саме їхній розрахунок, в першу чергу, вказує на економічну ефективністьінвестиційного проекту.
Існує чимало до підходів обґрунтування інвестиційних проектів. Деякі з них були розглянуті в даній курсовій роботі. Було вирішено проілюструвати різні підходи на прикладі обґрунтування доцільності здійснення інвестиційного проекту в умовах шахти «Білоріченська»ДП« Дніпропіллявугілля». Для того, щоб вивести це підприємство з кризового стану, пропонується здійснення проекту з відкриття нової лави - «п’ятої «біс» західної».
Зробовши необхідні розрахунки, а саме обчисливши чистий дисконтова ний дохід, дисконтований період окупності, чистий прибуток від реалізації проекту, визначивши рівень рентабельності та індекс доходності, встановили, що,запропонований проект є ефективним. Його впровадження дозволить запобігти банкрутству шахти «Білоріченська» та забезпечить стабілізацію фінансового стану підприємства.
У цілому було досліджено інвестиційний клімат України та особливості державного регулювання інвестиційної політики в Україні, оцінку інвестиційної привабливості України.
Я дійшла висновку,що державна інвестиційна політика в Україні консервувала неефективну, здеформовану структуру економіки, що є однією з головних причин погіршення економічної ситуації. Панування протягом багатьох десятиліть одноманітних державно-монополістичних господарських структур позбавило економіку належного динамізму, гнучкості, орієнтації на попит, сприйняття інновацій, а відтак – і ефективності. Відмова від галузевого, вузьковідомчого державного управління економікою на користь функціонального, ефективного поєднання ринкового й державного регулювання, демонополізація відбуваються надто повільно, мляво; механізм банкрутства не діє. Це й гальмує позитивні структурні зрушення в економіці та перехід від економічного спаду до економічного зростання. Звичка до застарілих методів господарювання, до екстенсивного нарощування виробництва заради виробництва, відчуження від власності і результатів праці призвела до того, що попит на інвестиції, як правило перевищує можливість його задоволення.
У стратегії інвестиційної діяльності важливу роль відіграють науково обгрунтоване визначення пріоритетних напрямів інвестування, їх відповідність державним інтересам, програмним цілям національного відродження України, швидкого подолання економічної кризи і досягнення стабілізації та зростання народного господарства..
Аналіз надходження іноземних інвестицій в Україну свідчить, що на сьогодні ця молода незалежна держава ще не створила належної бази для залучення капіталів з-за кордону. Тому найважливішими умовами залучення інвестицій є стабілізація макроекономічного середовища, а також удосконалення законів і нормативних актів. Але, водночас, дані питання не можуть бути розв'язані без загальної соціально-економічної стабілізації в країні.
Найістотнішою перешкодою для діяльності іноземних інвесторів в Україні є недосконалість відповідного законодавства. Спроби вдосконалення нормативних актів згідно з цілями України, а також мотивації іноземних партнерів зумовили часті зміни в українському законодавстві. До останнього часу не запропоновано жодного законодавчого акта, який би був достатньо відпрацьованим, універсальним.
Залученню інвестицій перешкоджають нерозвинутість комунікаційних засобів, незабезпеченість повною, надійною нормативно-правовою та комерційною інформацією. Тому для стимулювання залучення інвестицій та усунення негативних тенденцій в економіці України доцільно здійснити ряд заходів, спираючись на принципи:
· стабільності основних законодавчих актів щодо умов іноземного інвестування;
· диференційованого підходу до податкових та інших пільг для іноземних інвесторів – з урахуванням обсягів і форм інвестування, а також пріоритетів у розвитку економіки України;
· надійності, доступності та оперативності організаційного та інформаційного забезпечення залучення іноземних інвестицій.
Підводячи підсумок, необхідно сказати, що загалом інвестиційно-підприємницький клімат України є складним. Залучаючи до країни іноземний капітал, не слід забувати, що з нинішньої кризи Україну виведуть лише власні зусилля. Не варто надавати підприємствам з іноземними інвестиціями податкові пільги, яких не мають українські, зайняті у тій же сфері діяльності. Як показав досвід, такий захід майже не впливає на інвестиційну активність іноземного капіталу, але призводить до виникнення на місці колишніх вітчизняних виробництв підприємств з формальною іноземною участю, які претендують на пільгове оподаткування.
Необхідно намагатися створити сприятливий інвестиційний клімат не тільки для іноземних інвесторів, але й для вітчизняних. І мова не про те, щоб надати їм гроші на здійснення інвестицій. Українському приватному капіталу також потрібні гарантії від примусових вилучень і свавілля влади, система страхування від некомерційних ризиків, а також стабільні умови роботи при здійсненні довгострокових капіталовкладень.
Нинішня ситуація в Україні підтверджує ту відому істину, що коли назріла потреба у загальних змінах, тоді часткові перетворення зовсім нічого не дають, а то й ведуть до негативних результатів. Пожвавлення економічної, у тому числі інвестиційної та інноваційної, діяльності і поліпшення на цій основі соціальних умов можливе тільки шляхом рішучих, комплексних, швидких, прозорих і послідовних ринкових реформ, які (як показує досвід інших країн, що реально здійснюють такі реформи) вивільнять підприємницьку ініціативу, створять конкурентне середовище й нададуть економіці стимули ефективного розвитку.
СПИСОК ВИКОРИСТАНОЇ ЛІТЕРАТУРИ
1 http://www.alpha-amd.com.ua/news/showDetails/idNews1769.html
2 http://www.irp.lg.ua/ukr/content.php?type=13531757_0100
3 Абрамович Г.В. Напрямки активізації державної політики щодо залучення іноземних інвестицій в економіку України / Г.В. Абрамович // Інвестиції: практика та до свід. – 2007. – № 1. – С.16-18.
4 АКАДЕМІЧНИЙ ОГЛЯД. 2010. № 1 (32)
5 Аналіз і розробка інвестиційних проектів: навч. посібник / Циглик І.І., Кропецька С.О., Білий М.М., Мрзіль О.І – К:. Центр навчальної літератури, 2005 р. – 160 с.
6 Аналіз інвестиційних проектів: Конспект лекцій. — К.:МАУП, 2002. — 128 с.: іл. — Бібліогр.: с. 125.
7 Бова Т.В. Методологічна база досліджень державного регулювання інвестиційної діяльності / Т.В. Бова // Інвестиції: практика та досвід. – 2010. – № 4. – С. 3-5.
8 земних інвестицій в економіку України / Г.В. Абрамович // Інвестиції: практика та досвід. – 2007. – № 1. – С.16-18.
9 Інвестування в Україні: законодавчі тенденції 2010 – 2011 рр. http//sklav.com.ua
10 Кащеєва В.Ю., Карацева Н.З. Аналіз інвестиційної привабливості України на етапі вступу до СОТ // Економіка, фінанси, право. – 2007. – №4. – С. 16-19.
11 Ковальова Н.Л. Проблеми підвищення інвестиційної привабливості підприємств/ Н.Л. Ковальова // Экономика и маркетинг в ХХІ веке, 2003. - №4
12 Маркевич К. Л. Вплив прямих іноземних інвестицій на економічний розвиток України // Економіка і регіон. – 2009
13 Марцин В.С. Стратегія розвитку інвестиційної діяльності в економіку України // Актуальні проблеми економіки. - 2008. - № 9. - С. 57-62.
14 Михасюк І.Р., Швайка Л.А. Державне регулювання економіки: Підручник. – Львів: Магнолія плюс; видавець СПД ФО “В.М. Піча”, 2006. – 220 с.
15 Міжнародний збірник наукових праць. Випуск 1(13)
16 Несветаев Ю.А. Экономическая оценкаинвестиций / Ю.А. Несветаев. – М.:МГИУ, 2003. – 163 с.
17 Попов В. Інвестиційна складова становлення економіки України // Вісн. нац. банку України. – 2008. –№ 11. – С. 15–21.
18 Царёв В.В. Оценка экономической эффективности инвестиций /В.В. Царёв. – СПб.: Питер, 2004. – 464 с.
ДОДАТОК А

Рис. 1.3.1 Послідовність розробки проекту

Рис. 1.3.1 Продовження

Рис. 1.3.1 Продовження
¢ Ла́ва — очисна горизонтальна або похила гірнича виробка великої довжини (довжина лави може складати 75 —400 м.), один бік якої створений масивом корисної копалини (вибоєм лави), а другий — обваленими породами виробленого простору або стінкою закладального матеріалу. Лава має виходи на транспортний та вентиляційний виймальні штреки (ходки — при вийманні лавами за підняттям або за падінням). Лава — вибій у шахті з суцільною системою розробки вугільного або інших пластів корисної копалини. Термін «лава» традиційно використовується саме для довгих очисних вибоїв у вугільних шахтах.
Похожие работы
- 
							Державне регулювання інноваційної діяльності
							
Кардинальні зміни та головні акценти світової економіки початку ХХІ ст. Основні тенденції розвитку інноваційної діяльності в Україні. Головна мета та шляхи державного регулювання інноваційної політики. Нові аспекти вдосконалення інноваційної діяльності.
 - 
							Іноземні інвестиції в українській економіці необхідність і дійсність
							
КОНТРОЛЬНА РОБОТА З ОСНОВ ЕКОНОМІЧНОЇ ТЕОРІЇ НА ТЕМУ: «Іноземні інвестиції в українській економіці: необхідність і дійсність». Студента 1-го курсу
 - 
							Система регулювання зовнішньоекономічної діяльності в Україні
							
Тема: Система регулювання зовнішньоекономічної діяльності в Україні. План 1. Організаційна структура управління зовнішньоекономічною діяльністю в Україні.
 - 
							Довгостроковий кредит
							
Для підвищення інвестиційної діяльності важливим є максимальне залучення джерел фінансування інвестицій і насамперед ¾ довгострокових банківських кредитів. Важливим моментом також є те, що використання кредитної форми фінансування примушують інвесторів корисливіше ставитися до здійснення інвестицій щоб одержати від них найбільшої ефективності, для того щоб забезпечити не лише погашення кредиту, а й сплату відповідних відсотків.
 - 
							Обґрунтування інвестиційного проекту
							
Інвестиційний проект як документований план інвестування. Склад, види, форма та зміст інвестиційних проектів. Основні схеми розрахунку ставки дисконтування. Важливість правильного вибору ставки дисконтування. Оцінка економічної ефективності проекту.
 - 
							Критерії оцінки ефективності
							
Прийняття проектних рішень ґрунтується на використанні різноманітних формалізованих і неформалізованих підходів. Формальні методи аналізу проектів, можна поділити на 2 групи: а) засновані на дисконтованих оцінках б) засновані на облікових оцінках.
 - 
							Проблема оцінки інвестиційної привабливості регіону
							
Інвестиційний аналіз регіону: природний, трудовий, економічний, інфраструктурний, науково-технічний потенціали; наявність податкових преференцій; промислове, сільськогосподарське виробництво; фінансові результати діяльності суб’єктів господарювання.
 - 
							Основи проектного аналізу
							
Концепція і алгоритм створення проекту в проектному аналізі. Визначення середнього очікуваного значення доходу, відхилення від нього та коефіцієнту варіації. Визначення інвестиційних можливостей підприємства. Оцінка показників ефективності проекту.
 - 
							Інвестиції в основний капітал
							
Інвестиційна діяльність підприємств як один з найбільш складних і ризикових видів бізнесу, її сутність та завдання. Особливості формуванню позитивного інвестиційного клімату в Україні. Основні напрями реформування державної інвестиційної політики.
 - 
							Поняття і зміст підприємницької діяльності
							
Види підприємницької діяльності: виробнича, комерційна, фінансова, посередницька, страхова. Фізична особа - підприємець. Державне регулювання підприємницької діяльності. Правова база України. Рівність прав усіх суб’єктів підприємництва.