Название: Конкурентноспособность 2
Вид работы: реферат
Рубрика: Экономика
Размер файла: 84.63 Kb
Скачать файл: referat.me-384837.docx
Краткое описание работы: Содержание: 1.Конкурентоспособность: основные понятия, сущность………………….3. 2. Научно-техническая конкурентоспособность новых товаров, модель ее формирования……………………………………………………………………7.
Конкурентноспособность 2
Содержание:
1.Конкурентоспособность:основныепонятия, сущность………………….3.
2. Научно-техническая конкурентоспособность новых товаров, модель ее формирования……………………………………………………………………7.
3. Конкурентоспособностьстранывсистеме современныхмирохозяйственныхсвязей………………………………………………16.
4. Конкурентоспособность и конкурентные стратегии……………..21.
Конкурентоспособность :
основные понятия , сущность
Конкуренция и конкурентная борьба являются главным содержанием функционирования экономической системы, базирующейся на рыночных механизмах, ключевыми категориями в общей схеме
категорий рыночного хозяйства.
Конкуренция определяется как ситуация, в которой любой желающий что-либо купить или продать может выбирать между различными поставщиками или покупателями. Другая трактовка термина «конкуренция» предлагает понимать под конкуренцией «процесс, в ходе которого фирмы борются друг с другом за потребителей своей продукции».
В товарном производстве, как правило, связь между производством и потреблением осуществляет рынок, который через механизм спроса и предложения обеспечивает осуществление этой
связи. В категориальном смысле рынок является пространственно-временной основой реализации отношений товарного производства и деятельности самостоятельных субъектов экономической связи. Как форма организации воспроизводства рынок представляет собой формирование и движение воспроизводственных связей и пропорций, саморегулирующихся на основе законов рыночной экономики в систему управления экономикой в пределах инфраструктуры рынка, его институтов, обслуживающих движение трудовых ресурсов, оборот инвестиционных ресурсов, ценных бумаг, товарных фондов, в более узком смысле рынок есть форма и способ обмена условий и результатов производства, которые отчуждаются (присваиваются) посредством купли-продажи субъектами-продавцами и покупателями, через механизм спроса, предложения и рыночных цен.
Отношения спроса и предложения, с одной стороны, и отношения, выражаемые законом стоимости, — с другой, находятся в тесном взаимодействии друг с другом в процессе ценообразования. Закон стоимости регулирует общественные затраты труда, определяет общий уровень цен, отражает основную тенденцию их движения, действует как необходимость соответствия суммы иен товаров сумме стоимостей.
Воздействие закона спроса и предложения на закон стоимости выражается в следующем: затраты труда, чтобы быть приемлемыми для обмена на рынке, должны соответствовать определенным величинам. В то же время закон стоимости через цены оказывает влияние на формирование товарного предложения. Вместе с тем этот закон влияет на формирование спроса; во-первых, денежные доходы, обеспечивающие платежеспособность потребителей, всегда производим от стоимости товаров; во-вторых, формирование величины и структуры спроса зависит не только от степени настоятельности потребности, но и от денежных доходов, а также от уровня цен товаров.
Закон стоимости регулирует отношения между товаропроизводителями, а закон спроса и предложения регулирует отношения производства и потребления, отношения по поводу общественнойпотребительной стоимости и цены между товаропроизводителями, с одной стороны, и покупателями — с другой.
Для того чтобы определить экономическое содержание понятия «конкуренция», часто выделяют три подхода к его пониманию: поведенческий, структурный, функциональный.
В историческом экскурсе поведенческий подход стал первым подходом к определению конкуренции. В частности, А. Смит отождествлял конкуренцию с «честным соперничеством между продавцами за более выгодные условия продажи своих товаров». Неоклассическая теория, придерживаясь поведенческого подхода, определяет содержание конкуренции как борьбу за редкие экономические блага. Так, по мнению американского экономиста П. Хайне, «конкуренция есть стремление как можно лучше удовлетворить критериям доступа к редким благам».
Согласно структурному подходу содержание конкуренции
определяется типом рынка и тех услооий, которые господствуют на нем. «Конкуренция - это наличие на рынке большого числа независимых покупателей и продавцов, возможность для покупателей и продавцов свободно выходить на рынок и покидать его».
Функциональный подход смещает рассмотрение экономической сущности конкуренции в сторону изучения ее роли в экономическом развитии.
События последних десятилетий особенно ярко высветили основополагающую роль конкуренции в развитии производительных сил, се универсальное воздействие на национальную экономику и мирохозяйственные процессы.
Б современном мире ключевым понятием является конкуренто способность. Однако современная экономическая наука не дает как единой общепринятой трактовки содержания категории «конкурентоспособность», так и единого общепринятого подхода к методам ее оценки и Формирования.
В общем случае под конкурентоспособностью принято понимать способность конкурировать на рынках товаров и услуг. Организацией экономического сотрудничества и развития (ОЭСР) конкурентоспособность определена как способность компании, отраслей, регионов и наций обеспечить сравнительно высокий уровень дохода и заработной платы, оставаясь открытыми для международной конкуренции.
Надо отметить неразрывную связь современной внутринациональной конкуренции с международной, а современные процессы глобализации обусловливают тот факт, что международная конкуренция не только усиливает проявления национальной конкуренции, но часто влияет на характер ее проявлений.
С понятием «конкуренция» тесно связан и термин «конкурентное преимущество». Конкурентное преимущество с позиции субъекта рынка — это его активы и различные характеристики (например, для фирмы — оборудование, позволяющее экономить затраты, торговые марки на технически прогрессивную продукцию права собственности на сырье и материалы и т.д.), дающие ему преимущества над соперниками в конкуренции.
Таким образом, конкуренция, с одной стороны, является важнейшим условием существования и развития рынка, и именно конкуренция заставляет товаропроизводителей постоянно внедрять наиболее эффективные способы производства, обновлять номенклатуру изделий, обеспечивать их сбыт, формировать спрос, осуществлять поиски новых выгодных рынков сбыта. С другой — формы проявления и содержание конкуренции прежде всего обусловлены состоянием рынка, его тенденциями и цивилизованностью.
Типы рынков и характер конкуренции
| Характер конкуренции | Основные параметры | |||
| Количество фирм, производящих продукт | Контроль над ценами | Товарная дифференциация | Лёгкость входа | |
| Совершенная конкуренция | Много независимых фирм | Влияние ограничено возможностью замены | Товары и услуги дифференцированы для сегментов рынка | Относительно легкий вход |
| Монополистическая конкуренция | Много фирм, производящих сходные товары и услуги | Влияние ограничено возможностью замены | Товары и услуги дифференцированы для сегментов рынка | Относительно легкий вход |
| Олигополия | Несколько крупных фирм, производящих товары и услуги | Существует влияние «ценового лидера» | Существенна для отдельных продуктов. Мала для стандартизированных | Трудный вход, часто требует больших инвестиций |
| Монополия | Один продукт и одна фирма | Практически полный контроль | Нет | Очень трудный |
Научно-техническая конкурентоспособность новых товаров, модель ее формирования
Принятие правильных решений в области создания конкурентных товаров становится для фирмы невозможным без достаточно полной информации о деятельности не только традиционных конкурентов, НО и фирм, только что появившихся в данном сегменте рынка. При принятии решений в отношении собственных НИОКР требуется все более тесная увязка результатов изучения и анализа научно-технической информации с данными о достижениях конкурентов.
Немаловажной является и информация о способности поставщиков и потребителей отстаивать свои интересы на рынке.
Цель завоевания более высоких конкурентных позиций посредством перевода стратегий имитации к стратегии инновационного лидера побуждает топ-менеджмент ведущих компаний усилить координацию подразделений и обеспечить более полный сбор и тщательный анализ информации.
Развитие системы сбора информации руководители высшего уровня управления должны держать под постоянным контролем, особенно в быстроразвивающихся отраслях высоких технологий: только располагая максимальной информацией о действиях конкурентов, можно расширить области конкурентоспособности фирмы. Другими словами фирмы очень быстро утрачивают свои позиции, особенно завоеванные в области высоких технологий, если допускают даже кратковременное ослабление внимания к деятельности конкурентов.
Ведущие японские фирмы посылают менеджеров, ответственных за НИОКР, а также инженерный персонал, занятый в сфере НИОКР, на регулярные семинары, отраслевые конференции; заседания деловых ассоциаций и т.д. Благодаря этому сотрудники компании не только приобретают способность лучше ориентироваться в рыночной обстановке, возможность ознакомиться с научными достижениями, но нередко используют случайную утечку конфиденциальной информации. Практикуется обсуждение тенденции в области НИОКР и их влияние на смежные отрасли, делаются прогнозы.
Необходимость оценки прогноза развития в данной научно-технической области наряду с собственным техническим уровнем и уровнем достижений конкурентов приводит к становлению новой философии НИОКР. Так, патентное бюро в подразделении НИОКР, которое ранее занималось лишь выдачей описаний патентов по запросам, преобразуется в активного участника НИОКР. Такие теку-
шие вопросы, как патентный поиск, перепоручаются вспомогательным подразделениям, а патентное бюро концентрирует свои усилия на выявлении зарождающихся и растущих в объеме ВИДОВ деятельности для выработки соответствующей стратегии, становясь стратегическим центром.
Управление процессами в части планирования обновления товарной номенклатуры конкурентоспособными новинками предполагает применение опережающей базы сравнения, основное условие применения которой — получение качественной информации для
прогнозирования тенденций развития важнейших параметров будущей потребности на всю продолжительность жизненного цикла продукции как носителя потребности.
Данные о техническом уровне и качестве как освоенной в промышленном производстве продукции, так и находящейся на допроизводственной стадии являются информационной базой для определения различными методами прогнозирования перспективных норм И требований, которые должны учитываться при разработке
новшества.
Подобные прогнозы разрабатываются по важнейшим параметрам выявленных потребностей.
Процесс совершенствования продукции, ее развития в целом представляет собой последовательную смену моделей продукции одного и того же назначения. При этом, отражая объективную потребность В повышении качества продукции, уровень качества каждой последующей модели выше предыдущей.
Повышение технического уровня техники может происходить как за счет частичных улучшений при сохранении исходной базовой модели (эволюционный характер развития), так и при переходе на принципиально новое конструктивно-технологическое решение.
Необходимо отметить, что эффективность модернизации исходной базовой модели снижается по мере увеличения времени ее существования. Разработка новой продукции на базе принципиально новых конструкторно-технологических решений обычно обеспечивает резкий скачок в повышении технического уровня продукции. Для обеспечения научно-технического превосходства уровень требований должен быть такой, чтобы к моменту постановки перспективного изделия на производство и далее в течение определенного времени технический уровень выпускаемой продукции соответствовал или превышал уровень изделий конкурентов.
Результаты проведенных прогнозных исследований служат базой для установления перспективных показателей качества продукции.
В условиях динамично повышающихся характеристик продукции, вызванных изменяющимся спросом потребителей, требуется по-новому подходить к организации и внутрифирменному планированию процесса обновления продукции. В решении этой задачи важное место принадлежит совершенствованию внутрифирменной нормативно-технической базы, устанавливающей дифференцированные сроки разработки и действия фирменных стандартов в зависимости от уровня заложенных в них требований и обеспечивающей выход продукции на конкурентоспособный технико-экономический уровень.
Вопрос об установлении дифференцированных показателей технического уровня продукции и сроков введения в действие стандартов, устанавливающих различные уровни перспективных требований, является исключительно актуальным. С одной стороны, постоянно растут требования потребителей к качеству и техническому уровню изделий, а с другой — необходимо учитывать и реально имеющиеся производственные возможности предприятий-изготовителей. В этих условиях установление перспективных дифференцированных уровней качества и сроков начала выпуска продукции на основе обеспечения оптимального уровня рентабельности производства будет способствовать рациональному согласованию уровня предъявляемых к продукции требований с необходимой преемственностью производства, будет являться стимулом для технического перевооружения предприятий и совершенствования продукции.
Для установления рационального технического уровня перспективной продукции (научно-технического уровня стандарта) и срока ее выпуска (срока действия стандарта) предлагаем подход, основанный на оценке интегральных затрат на достижение высоких характеристик и интегрального результата, получаемого от реализации конкурентоспособности продукции.
Для учета экономической неравнозначности разновременных затрат и производства и результатов от использования техники в сфере потребления оценку интегрального эффекта будем производить с учетом фактора времени.
Процессы организации производства и выпуск продукции повышенного технического уровня (качества) определенной величины требуют определенных издержек.
Общая величина издержек, связанных с выпуском продукции повышенного качества может быть определена как сумма затрат двух видов:
• затрат связанных непосредственно с производством продукции;
• затрат на подготовку производства к выпуску новых изделий.
Величина затрат, связанных непосредственно с производством продукции (так называемые затраты на качество), включает затраты на сырье, материалы, полуфабрикаты, комплектующие изделия и должна учитывать трудоемкость изготовления продукции. Очевидно, что эта величина прямо пропорционально зависит от количества произведенной продукции
Величина на подготовку производства к выпуску новых изделий, включает затраты на НИОКР; приобретение нового оборудования, на его доставку, монтаж, наладку; на технологическую оснастку, а также стоимость необходимых дополнительных производственных площадей и других элементов основных фондов, непосредственно связанных с производством и использованием новой техники (постоянные затраты).
Продукция с более высокими потребительскими свойствами дает возможность ее реализации по более высоким ценам, обусловленным комплексом параметров, обеспечивающих дополнительный полезный эффект у потребителя (например, за счет повышения производительности, надежности, долговечности, экономии на эксплуатационных затратах и др.).
Прибыль, получаемая товаропроизводителем от реализации какой-либо модели продукции, составит Pi = Di – Si , где Di — доход от реализации модели продукции.
В свою очередь, доход от реализации модели:
Di =f(Цi –Ni), где Ц, — цена реализации модели;Ni, — объем реализации.
Величина цены реализации может определяться исходя из экономической закономерности поведения современного потребителя, стремящегося минимизировать (при прочих равных условиях) свои расходы на приобретение и последующую эксплуатацию нового продукта:
Цпотр =Цi + Зiэкспл -> min
Или Цi = Цпотр –Зiэкспл,
ГдеЦпотр — цена потребления лучшей продукции-конкурента;
Цi - цена реализации i-й модели;
3i экспл — величина эксплуатационных издержек у потребителя за весь срок службы оцениваемой продукции.
Если за рассматриваемый период времени i пр будет происходить смена п моделей (модернизаций) исследуемого вида техники, то интегральный экономический эффект от реализации изделий (Рп) определяется:
Pn = P1+P2+…+Pn
Чем выше будет технический уровень изделия, тем выше затраты на обеспечение высокого качества Ui . С другой стороны, более высокий научно-технический уровень приводит к менее частой сменяемости моделей и меньшим затратам, связанным с подготовкой к производству каждой новой модели .Изменение технического уровня моделей продукции также приведет и к изменению цены реализации.
При оценке величин Р необходимо учитывать динамику нарастания объема производства, а следовательно, и применение новой техники, связанную с постепенным характером заполнения сферы использования изделий данного потребительского назначения, идущих на замену устаревающей (физически и морально) технике того же назначения.
При этом следует стремиться обеспечить такое соотношение объемов производства и использования новой продукции, чтобы потребность (текущая и перспективная) в изделиях данного назначения и в продукции (работах), производимых с их помощью, удовлетворялась полностью в течение всего рассматриваемого срока освоения, производства и эксплуатации новой техники.
При снижении научно-технических требований технического задания получим обратную картину
Таким образом, варьируя числом моделей, величиной их технического уровня, получим ряд величин Р. Максимальная величина интегрального экономического эффекта будет определять оптимальный технический уровень моделей (модернизируемых вариантов) продукции (Кь Кп , Кш ...) и рациональные сроки выпуска (Т1, Т2,Т3 ...) конкурентоспособных изделий.
При соблюдении граничного условия Кi > Кконкурт определяются необходимые затраты и оптимальная политика смены моделей продукции, превосходящих по уровню лучшие изделия конкурентов.
При ограничении вида S < S0 определяем оптимальный уровень изделий, обеспечивающих лучшие при данных условиях экономические позиции предприятия.
Величина расчетного периода iпр (глубина прогнозирования) определяется уровнем перспективности научно-технической стратегии фирмы. Однако при этом, чем больше глубина прогнозирования, тем менее надежными становятся результаты исследования, и напротив, более короткий период прогнозирования не позволяет сформировать товарную политику фирмы в средне- и долгосрочной перспективе.
Ниже излагается подход, позволяющий оценить величину расчет ного периода прогнозирования, определяющего оптимальные границы эволюционного совершенствования данного поколения продукции. Данный подход основан на исследовании закономерности поведения интегрального показателя качества.
Показатель интегрального качества продукции является функцией технических и экономических показателей. В свою очередь каждый из этих показателей является функцией времени. Естественно предположить, что под воздействием научно-технического прогресса с течением времени будет повышаться технический уровень изделий. При этом рост технического уровня можно описать логистической кривой, ассимптотически приближающейся к некоторому пределу, объясняемому тем, что в конструкции изделия заложен лишь вполне определенный запас для совершенствования. Возможность повышения технического уровня целого ряда изделий за счет их совершенствования на базе традиционных конструктивно-технологических решений ограниченна. На перспективу представляется более целесообразным осуществлять повышение технического уровня изделий на базе принципиально новых конструктивных и технологических решений, дающих, как правило, резкое повышение производительности и других показателей технического уровня.
Характер изменения показателя З определяющего затраты на создание и эксплуатацию продукции, подвержены воздействию двух противоположных тенденций:
• с одной стороны, достижение научно-технического прогресса, повышение производительности труда, снижение расходов у потребителей, эксплуатирующих продукцию более высокого качества, воздействуют на снижение составляющих затрат;
• с другой стороны, достижение более высоких значений технических показателей (производительности, надежности и др.), повышение затрат на качество изделий приводят к повышению показателя суммарных затрат.
В этом случае улучшение потребительских свойств связано с ростом затрат. При этом процесс совершенствования продукции может происходить следующим образом. Сначала приращение потребительских свойств продукции идет быстрее роста затрат. Интегральный показатель качества продукции возрастает, т.е. рост затрат на создание и эксплуатацию новой продукции компенсируется большим темпом повышения ее производительности, безотказности и долговечности, экономией горючего, электроэнергии, материалов, улучшением эргономических, эстетических и других потребительских свойств продукции. Далее, когда запас совершенства конструктивных и технологических решений, воплощенных в продукции, начинает исчерпываться, восходящее развитие показателя интегрального качества приостанавливается, достигает максимума (при равенстве темпов роста полезного эффекта и затрат на его достижение) и затем начинает падать. Последнее связано с превышением темпа роста затрат над приращением потребительной стоимости продукции.
Характер повышения показателя интегрального качества позволяет оценить оптимальные временные и технические границы совершенствования продукции на базе традиционных конструктивно-технологических решений (эволюционный характер развития). С точки зрения интересов потребителя при улучшении качества продукции необходимо, чтобы приращение полезного эффекта от ее использования (технические показатели качества) превосходило приращение затрат. Обеспечение опережающего роста технического уровня продукции по сравнению с затратами будет являться условием технико-экономической эффективности проведения мероприятий по созданию (модернизации) новой продукции.
При достижении экстремального значения показателя технико-экономического уровня (интегрального показателя качества) нецелесообразно продолжать эволюционный характер совершенствования продукции. Следует приступать к разработке и постановке на производство продукции на принципиально новой основе, обеспечивающей значительное повышение ее технического уровня.
В случае отсутствия явного экстремума границы целесообразного совершенствования продукции (эволюционного) можно оценить исходя из условия достижения темпа изменения показателя интегрального качества определенной величины:
Df/di <Uпр
Результат такого исследования проявляется в определении рациональных пределов повышения качества продукции, определении
оптимальной длительности эволюционного цикла совершенствования продукции, оптимальных сроков разработки и постановки на производство новых высокоэффективных и конкурентоспособных образцов продукции.
В эффективной организации процесса разработки конкурентоспособной новой продукции резко увеличивается роль внутрифирменного планирования, исходящего из четко сформулированного научно-технического заказа на перспективу, определяемого маркетинговыми и технико-экономическими исследованиями.
Разработчик должен получить от служб маркетинга четкий заказ на параметры будущей конкурентоспособной продукции. Результаты моделирования научно-технической конкурентоспособности новой продукции являются научной основой перспективного внутрифирменного стандарта
Установление во внутрифирменных стандартах перспективных требований к технико-экономическому уровню будущей продукции способствует повышению качества разработок, своевременной реализации проектных разработок в серийном производстве. Требования, установленные в перспективных стандартах, рекомендуется также учитывать при разработке и экспертизе технического задания.
Конкурентоспособность страны в системе современных мирохозяйственных связей
В современных условиях глобализации национальная экономика любого государства не может развиваться независимо от мирового хозяйства. Дальнейшее продвижение по пути рыночных преобразований предполагает широкое вовлечение России в мировую экономику. Очевидно, что в этих условиях необходимо осваивать новые модели экономической политики, а также расширять механизмы и формы сотрудничества России с иностранными государствами. С одной стороны, дальнейшая активизация устремлений различных субъектов мирового хозяйства (компаний, финансовых институтов, предпринимателей и др.) на рынки других государств делает проблему поиска путей и стратегий повышения конкурентоспособности национальной экономики, вопрос о возможностях и способах ее формирования при открытости внутреннего рынка весьма актуальными и требует особого внимания.
С другой стороны, хотя относительно новое понятие «конкурентоспособность страны» все активнее используется, до настоящего времени не существует четкой управленческой стратегии ее формирования и повышения.
Исходя из этого необходимо остановиться на общетеоретических основах концепции повышения конкурентоспособности страны.
Термин «конкурентоспособность страны», часто используемый в настоящее время, имеет несколько трактовок. Так, под конкурентоспособностью стран предложено понимать способность национальных производителей продавать свои товары, способность увеличивать или, по крайней мере, удерживать за собой доли рынков, достаточные ДЛЯ расширения И совершенствования производства, для роста уровня жизни, для поддержания сильного и эффективного государства.
На саммите в Брюсселе в марте 2005 г. европейские лидеры, обсуждая проблему повышения конкурентоспособности Евросоюза, решили, что вместо значительного числа ранее предложенных индикаторов общими критериями будут занятость и экономиче ский рост.
Интересную, на наш взгляд, трактовку проблем конкурентоспособности дает М. Интрилигейтор: «...государства стремятся присоединиться к клубу богатых стран и готовы бороться с ними за свою долю в мировом производстве»
М. Портер определяет конкурентоспособность страны местом, которое она занимает в системе мирового хозяйства. Причем во многом связывает с успехом или неуспехом в конкретных отраслях. Среди важных факторов, влияющих на конкурентоспособность, отмечаются различия в экономике, культуре, инфраструктуре и др.
По теории М. Портера, преимущество на международном рынке обеспечивают: конкретные факторы (например, квалифицированная рабочая сила или инфраструктура), условия спроса, наличие или отсутствие в стране смежных отраслей, конкурентоспособных на международном рынке, условия конкуренции на внутреннем рынке, определяющие процесс производства и управления фирм.
Особо выделяются случайные события (не поддающиеся контролю хозяйствующих субъектов) и государственная политика (государство при помощи своей политики может оказывать позитивное или негативное влияние на все компоненты).
Среди факторов, обеспечивающих конкурентоспособность страны, также называется и относительная независимость от колебаний мировых рынков, от политики других государств и пр.
На наш взгляд, содержание термина «конкурентоспособность страны» в широком смысле характеризуется экономической и политической ролью государства в мировом сообщества. Методологически уровень конкурентоспособности страны должен определяться степенью возможности реализации основных целей государства в долгосрочном периоде, а основные направления формирования конкурентных преимуществ страны должны корреспондироваться с основными задачами государства; экономическими, политическими, социальными и др.
Правомерно выделить, определить содержание и особенности поянтия «экономическая конкурентоспособность* страны. Концепция повышения конкурентоспособности страны в системе международных экономических отношений должна иметь своей целью решение социально-экономических проблем, дальнейшее поступательное развитие государства (с обеспечением благополучия его населения и максимизацией бюджетообразующей составляющей) и разрабатываться с учетом внешних и внутренних факторов, оказывающих значительное влияние на этот процесс
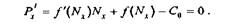
Количественно уровень экономической конкурентоспособности страны может быть определен ее долей мирового рынка (мирового дохода), что во многом зависит от объемов национального экспорта и внутреннего потребления (рис. 1.4).
Проведенный анализ позволил выделить ряд доминирующих факторов, под влиянием которых в системе современных международных экономических отношений формируется экономическая конкурентоспособность. К их числу, прежде всего, нужно отнести: состояние и динамику рынка ресурсов состояние и динамику рынка товаров, состояние и динамику рынков капитала, уровень конкурентоспособности национальных компаний. В последнее время значительно усиливается влияние процессов на рынках технологий. Специалисты среди факторов, формирующих конкурентоспособность страны, называют и другие, например девальвацию национальной валюты — при падении курса национальной валюты продукция данной страны может быть предложена по более низким ценам либо при сохранении прежних цен, что позволяет получить прирост прибыли в национальной валюте. Существует мнение, что фактором, формирующим конкурентосбность страны, является наличие у нее ресурсов, проще всего природных, и дешевои рабочей силы. Действительно, «конкурентоспобность страны может![]()
![]()
![]()
![]()
![]()
![]()
![]()
![]()
![]()
![]()
![]()
![]()
![]()
быть достигнута и на базе нетехнологических преимуществ, прежде всего благодаря низкой стоимости факторов производства и благодаря относительно низкому уровню жизни населения. Это конкурентоспособность бедных стран... Нетехнологические конкурентные преимущества играют важную роль в отраслях с высокой взаимозаменяемостью продукции и преобладанием в экспорте низкотехнологичных продуктов» .
Роль низкого курса национальной валюты, дешевизны материальных, энергетических, трудовых и других ресурсов, а также низкой доли экологических затрат в общих объемах затрат на производство и высоких импортных пошлин, в формировании конкурентных преимуществ, и особенно долгосрочных, постепенно снижается. В конечном итоге такая стратегия не способна обеспечить высокий социальный уровень жизни населения государства.
Трудно не согласиться с М. Портером, который отмечает, что уровень конкурентоспособности страны обеспечивается уровнем конкурентоспособности отдельных фирм этой страны и страна добивается успеха тогда, когда условия благоприятствуют проведению наилучшей стратегии фирмами какой-либо отрасли или ее сегмента. Многие из особенностей страны облегчают или. наоборот, затрудняют проведение той или иной стратегии.
Важную роль в обеспечении получения страной стабильной доли мирового дохода в условиях глобализации играет наращивание конкурентоспособности реального сектора экономики за счет укрепления позиций национальных компаний как на внутренних, так и на мировых рынках. Многочисленные исследования показывают, что повышение конкурентоспособности компаний в конечном итоге положительно сказывается и на экономическом росте страны.
В перспективе российские и зарубежные производители должны будут конкурировать при открытости рынков, а международные отношения — расширяться и углубляться за счет взаимодействия хозяйствующих субъектов разных стран. Поэтому важно оценить факторы, способствующее формированию в рыночной экономике конкурентных преимуществ национальных фирм и рассмотреть особенности их воздействия в новых условиях.
Конкурентоспособность и конкурентные стратегии
Как мы отмечали выше, чтобы обеспечить конкурентоспособность на современных рынках, его субъекты вынуждены использовать стратегии, обеспечивающие им конкурентные преимущества.
В условиях рыночной экономики обеспечение конкурентных преимуществ составляет основу развития фирмы.
Однако в зависимости от особенностей конкретного рынка различаются и стратегии формирования конкурентных преимуществ.
Важно помнить, что достигнутые конкурентные преимущества, обеспечивающие прочное положение фирмы на рынке, не являются постоянными: они завоевываются и удерживаются только при постоянном совершенствовании всех сфер деятельности, что в свою очередь является трудоемким и дорогостоящим процессом.
Возможности формирования конкурентных преимуществ зависят от ряда факторов. Однако в любом случае при выборе конкурентной стратегии важно:
а)ориентироваться на запросы потребителей;
б)убедиться в том, что достигнутые конкурентные преимущества воспринимаются потребителями.
Последнее требуется для того, чтобы избежать ситуации, когда фирма считает себя известной на рынке, не тратит средств на рекламу, а на самом деле потребители не имеют достаточной информации о ней и ее продукции.
Конкурентные преимущества можно объединить в две группы: преимущества высокого ранга и преимущества низкого ранга.
Преимущества высокого ранга связаны с наличием у предприятия высокой репутации, квалифицированного персонала, патентами, ведением долговременных НИОКР, развитым маркетингом, основанном на использовании современных технологий, современным менеджментом, долговременными отношениями с покупателями и т.д. Конкурентные преимущества этой группы характеризуются более длительным периодом активного использования и позволяют достигать более высокой прибыльности.
Особое место среди преимуществ высокого ранга занимают ин новации. Для удержания фирмой лидирующего положения на рынке за счет использования инноваций необходимо обеспечить невозможность (сложность) их возможного повторения конкурентами, значительное качественное превосходство. Постоянно осуществляемый инновационный процесс позволяет фирме переходить к реализации конкурентных преимуществ более высокого ранга, а также увеличивать их количество и уровень.
Преимущества низкого ранга связаны с наличием дешевой рабочей силы, доступностью источников сырья и не столь устойчивы.
Выше мы отмечали, что, рассматривая конкурентные стратегии, обеспечивающие конкурентное преимущество фирмы, М. Портер выделяет две основные:
а) способность фирмы разрабатывать, производить и продавать товар с меньшими затратами, чем у конкурента (стратегия низких издержек);
б) способность обеспечить покупателя товаром с лучшим набором потребительских свойств, чем у конкурента при приемлемых ценах (стратегия дифференциации товаров) .
В условиях рынка ценообразование является гибким инструментом обеспечения конкурентоспособности и ключевым фактором успеха новинки на рынке.
Стратегии ценообразования на новинки следует рассматривать в совокупности с мерами, предпринимаемыми предприятием по реализации стратегии маркетинга и ведению конкурентной борьбы. Разработку стратегий и моделей ценообразования следует предусматривать при проведении маркетинговых и технико-экономических исследований на стадиях создания и сбыта товара, делая акцент на допроизводственную стадию жизненного цикла.
Помимо действующих на рынке факторов спроса, предприятие должно также принимать во внимание и действия конкурентов.
Влияние фактора конкуренции на принятие решения об установлении цены на товар зависит прежде всего от структуры рынка, т.е. от числа и типа фирм, работающих на рынке товаров данного назначения. Фактор конкуренции часто ставит установление цены в довольно жесткие рамки между верхними и нижними пределами.
На основе своих расходов и спроса может определять цену фирма, занимающая положение, близкое к монопольному. К таким фирмам могут быть отнесены:
• крупные предприятия, доминирующие на каком-то рынке;
• предприятия, выпускающие товар, существенно отличный от
конкурентов.
Фирмы, которые при определении цены на свой товар исходят исключительно из условий конкуренции, устанавливают ее на уровне, сложившемся на рынке. Отличительной особенностью таких фирм является то, что они
• не стремятся сохранить постоянную зависимость между своими ценами от затрат или потребительского спроса;
• сохраняют цену на свой товар и при изменении уровня затрат и спроса только потому, что его конкуренты не меняют цен, или, наоборот, следуют в ценовой политике за действиями конкурентов.
Подобные стратегии применимы для небольших фирм, которые в своей деятельности следуют за признанными на рынке лидерами.
Фирмы, работающие на олигополистическом рынке (на котором действует ограниченное количество крупных компаний), как правило, продают свои товары по единой цене, так как каждый из них хорошо осведомлен о ценах своих конкурентов. Фирма, желающая увеличить свою долю на рынке и повлиять на будущее увеличение спроса на свои товары, должна действовать иными, чем ценовая конкуренция, средствами.
К числу этих средств относятся все неценовые факторы повышения конкурентоспособности товара:
• повышение качества товара;
• осуществление удачной рекламы;
• быстрый срок поставки товара;
• проведение консультации;
• обучение обслуживающего персонала;
• послепродажное обслуживание и др.
Конкурентные преимущества на основе низких издержек
Стратегия лидерства в издержках направлена на достижение конкурентных преимуществ за счет низких затрат на некоторые важные элементы товара или услуги, а следовательно, и более низкой себестоимости по сравнению с конкурентами.
Основная цель стратегии лидерства в издержках заключается в том, чтобы поддерживать преимущества перед конкурентами по затратам и получать больше прибыли. Данная стратегия означает, что фирма способна разрабатывать, производить и продавать аналогичные товары более эффективно, чем конкуренты.
Одновременно возможны и другие варианты:
• Продукция фирмы может продаваться по более низким ценам, чтобы «отбить» покупателей у конкурентов;
• продукция фирмы может продаваться по текущим рыночным ценам, но фирма имеет возможность направлять больше средств на маркетинг и сбыт.
Стратегии лидерства в издержках следуют такие фирмы, как Оепега1 Е1ес1пс в производстве бытового оборудования, ВЮ в производстве шариковых ручек, Роге! в производстве тяжелых грузовиков. Среди российских производителей лидируют в издержках российские производители компьютерных программ, телевизионной техники, бытовых приборов.
Лидерство в издержках — агрессивная стратегия, направленная на достижение эффективности производства, требует обеспечения
жесткого контроля всех видов расходов. Другими словами это «внутренняя стратегия», или «стратегия операционной эффективности».
Для ее реализации необходимы следующие рыночные условия:
• спрос на продукцию высокоэластичен по цене и достаточно однороден;
• преобладает ценовая конкуренция;
• различия в товарных марках малозначимы для покупателя;
• наличие на рынке крупных покупателей, которые могут диктовать условия сделки, сбивая цену;
• отраслевая продукция стандартизирована, покупатель может приобрести ее у разных продавцов;
• предприятие имеет доступ к источникам снижения себестоимости продукции: относительно дешевого сырья, рабочей силы и др.
Реализация данной стратегии связана с определенными рисками (опасностями), так как возможно;
• увеличение производства одного товара, игнорируя необходимость обновления продукции;
• появление технологических новинок, которые сводят на нет преимущество в издержках;
• получение таких же преимуществ новыми конкурентами или последователями путем имитации товаров или осуществления инвестиций в оборудование;
• неспособность уловить необходимость смены продукции или рынка в результате чрезмерного увлечения проблемой снижения себестоимости;
• инфляционный рост издержек, подрывающий способность фирмы снижать себестоимость;
• изменение предпочтений потребителей, их чувствительности к ценам в пользу качества товаров, услуг и других характеристик;
• появление новых, более совершенных товаров.
Дифференциация продукции фирмы
Стратегия дифференциации направлена на изготовление особой продукции, модификаций стандартного изделия.
Дифференциация продукции фирмы означает ее способность обеспечить уникальность и более высокую ценность (по сравнению с конкурентами) товара для покупателя с точки зрения уровня качества, наличия его особых характеристик, методов сбыта, послепродажного обслуживания.
Обычно выделяют несколько видов дифференциации; продуктовую дифференциацию, дифференциацию персонала, сервисную и дифференциацию имиджа.
Продуктовая дифференциация — это предложение продуктов с характеристиками и(или) дизайном лучшим, чем у конкурентов.
Сервисная дифференциация — это предложение разнообразного по более высокому (по сравнению с конкурентами) уровню услуг, сопутствующих продаваемым товарам (срочность и надежность поставок, установка Оборудования, послепродажное обслуживание, обучение И консультирование клиентов). Сервисную дифференциацию обычно предлагают российские фирмы, торгующие компьютерами.
Дифференциация персонала — это наем и тренинг персонала, который осуществляет свои функции работы с клиентами более эффективно, чем персонал конкурентов.
Дифференциация имиджа — это создание имиджа организации и(или) продуктов, с лучшей стороны отличающего их от конкурентов.
Для реализации стратегии дифференциации ПРОДУКЦИИ фирмы необходимые следующие рыночные условия:
• наличие множества отличительных характеристик продукции, которые выделяются, ценятся потребителями;
• наличие большого числа покупателей, которые признают выделенные характеристики ценными для себя;
• преобладание неценовой конкуренции;
• невозможность быстрого имитирования признаков дифференциации без привлечения дополнительных затрат;
• широкая структура спроса на продукцию.
При реализации фирмой стратегии дифференциации необходимо учитывать следующие риски (опасности):
• дифференциация может превзойти разницу в цене — уровень
Цены может стать настолько большим, что для покупателей финансовые соображения окажутся важнее приверженности
торговой марке:
• фирма не понимает или не способна определить то, что составляет ценность для покупателей;
• имитация (копирование) может скрыть ощутимую разницу товаров;
• фирма игнорирует необходимость доведения до покупателей информации о ценности продукции, полагаясь только на реальную базу дифференциации.
Такое достаточно традиционное деление основных стратегий .формирования конкурентных преимуществ фирмы: на основе . меньших издержек и дифференциации товара — не охватывает весьспектр факторов обеспечения конкурентоспособности, таких, как технологические возможности фирмы, создание преимуществ системы товародвижения, повышение уровня сервиса, эффективности коммуникационной политики и др.
на проектирование новой продукции, а также при создании различных видов конструкторской документации.
Перспективная стандартизация осуществляет эффективное воздействие на технический уровень продукции путем установления в стандартах дифференцированных перспективных требований как к вновь разрабатываемой (модернизируемой) продукции, так и к продукции, подлежащей постановке на производство.
В первом случае на предпроектной стадии создания новой продукции в стандарте устанавливаются перспективные нормы и требования, определяемые в процессе проведения поисковых научных исследований и предназначенные для установления в техническом задании, реализуемые в дальнейшем при проведении проектно-конструкторских работ по созданию перспективной продукции.
Во втором случае перспективные требования, установленные в стандарте, реализуются при проведении работ по освоению и выпуску новой (модернизируемой) продукции.
В целях улучшения уровня управления повышением технического уровня и качества разрабатываемой и изготавливаемой продукции, отвечающей мировому уровню, необходим переход на динамичную систему стандартизации, предусмотрев разработку (пересмотр) стандартов со ступенями качества с дифференцированными сроками их введения, обеспечивающих систематическое повышение показателей технического уровня продукции. Указанные стандарты и соответствующие им технические условия и другая техническая документация должны разрабатываться (пересматриваться) на основе прогнозов повышения технического уровня продукции с учетом растущих требований потребителей.
«Квазимонопольное» положение на рынке
На рынке встречаются ситуации, когда один из конкурентов занимает доминирующее положение. Стратегия использования «квазимонопольного» положения на рынке дает хорошие результаты, когда имеются существенные барьеры для выхода на рынок (патенты, ноу-хау, высокий уровень затрат на НИОКР и коммерциализацию рынка и пр.). Обычно такая стратегия проявляется в условиях, когда компания выпустила на рынок товар, существенно отличающийся от ранее предлагавшихся. Фирма имеет вполне определенный запас по времени для сохранения монопольного положения на рынке, по истечении которого можно ожидать ответных действий конкурентов.
Эта стратегия реализуется постепенным освоением сегмента рынка и последовательным удовлетворением потребностей различных групп потребителей.
На рынке типична ситуация, когда существует готовность части покупателей заплатить за товар больше нормальной рыночной цены, потому что на тот момент он представляет для них большую ценность. По прошествии же некоторого времени, когда этот сектор рынка окажется насыщенным, компания постепенно снижает цену с тем, чтобы перейти к освоению других секторов с постоянным наращиванием объема выпуска данного товара до тех пор, пока конкуренты не окажут эффективного противодействия фирме-пионеру.
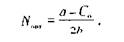
В этом случае на основе маркетинговых исследований должна устанавливаться зависимость спроса (Л',-) от цены предложения товара для дифференцированных групп потребителей:
![]()
где Ц,— цена реализации товара:
i — дифференцированная группа потребителей (7 =1,..., т).
Реализация данной стратегии подразумевает получение максимального дохода в течение квазимонопольного положения фирмы с последовательным освоением различных сегментов рынка:
![]()
где 3m — затраты на осуществление производственной и коммерческой программы.
При многовариантной проработке стратегий и т.д. выбираем стратегию, при которой Р -> mах:

Стратегия получение максимальной прибыли в ограниченной перспективе
Подобная стратегия может быть осуществлена, если фирма считает, что рынок для ее товара будет существовать в течение определенного, довольно ограниченного периода времени.
При осуществлении подобной стратегии фирма устанавливает цены на свои товары исходя из соотношения «спроса — предложения» с целью получения максимальной прибыли в ближайшей перспективе.
Разработка экономико-математической модели данной стратегии в рамках экономической теории предполагает установление оптимального уровня цены и связанного с ним объема производства, приводящего к максимизации получаемой прибыли.
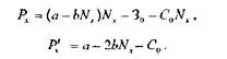
Прибыль (Р) определяется по формуле
![]()
Где Ох — выручка;
Зо — постоянные расходы;
Со — переменные расходы на одно изделие. Поскольку выручка может быть определена как
![]()
а цена исходя из функции спроса
![]()
то выражение для определения прибыли примет ВИД
![]()
Для нахождения экстремума необходимо продифференцировать эту зависимость по переменной Л^
(если можно аппроксимировать функцию Nx:
![]()
Решая это уравнение относительно Nx , получим N опт, а затем по зависимости Цi= f ( Ni ) получим Цопт:
Проведя преобразования, получим
где Э — эластичность ценовой кривой.
Отсюда
![]()
Цопт соответствует Nопт по функции спроса Ц =f(N)
Принято:
1) C0 = соnst, т.е. переменные издержки на одно изделие не зависят от величины партии товара;
2) Э > 1.
Если отсутствует аппроксимирующая зависимость Цi = f(Ni)), тогда

Для случая линейной зависимости

Цmin и Цmax — соответственно нижняя и верхняя границы рассматриваемого диапазона цен; Nmin и Nmax — соответственно нижняя и верхняя границы спроса.
Тогда

| Или в принятых обозначениях |
![]() |
Отсюда, приравнивая Рл . = 0, получим
Проведя преобразование, получим


Подобная методология может быть использована при других формах аппроксимирующих зависимостей.
Стратегия ценообразования с учетом качества товара
Маркетинговыми исследованиями установлено, что для покупателей существуют верхние и нижние пределы, в рамках которых их восприятие качества товара находится в Прямой зависимости от цены: для покупателя существует совершенно определенный уровень цен на товары и услуги, который он рассматривает как приемлемый. Этот уровень различен у разных групп покупателей в зависимости от их социально-экономического положения и конъюнктуры рынка.
Улучшенные технические характеристики промышленной продукции обычно являются основанием для установления более высокой цены. Этот показатель является важным фактором для изделий, использование которых приносит повышенный эффект для потребителя.
В практике оценки ценовых характеристик как продукции производственного назначения, так и товаров широкого потребления эффективен метод статистического анализа с использованием корре ляционно-регрессионных зависимостей, связывающих ценовой параметр с техническими характеристиками изделия.
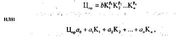
В обшем виде эта зависимость может быть представлена в виде уравнения

где К1,..., Кn — технические (потребительские) характеристики товара;
B1,..,Bn — показатели степени;,. .
a 1,.... an — коэффициенты уравнения;
a0b0 — свободные члены уравнения.
Величины коэффициентов каждого из используемых уравненш позволяют количественно определить влияние каждого параметр; на рыночную цену изделия.
Корреляционно-регрессионные зависимости удобно использовать при репрезентативном статистическом материале, лежащем в основе построения надежных математических зависимостей. В ряде случаев для наглядности и удобства определения связи цены и качества целесообразно построить специальные номограммы.
Покупатель при приобретении товара, особенно технически сложных бытовых товаров и продукции производственно-технического назначения, обращает внимание на то, сколько будет для него стоить покупка товара и каковы будут полные затраты при его эксплуатации (цена потребления):
![]()
При возможности выбора среди товаров-конкурентов покупатель стремится к минимизации своих совокупных издержек, т.е.
Цпотр -> min.
При этом существует вполне определенная зависимость между качеством продукции (производительность, надежность, уровень энергопотребления, ремонтопригодность и др.) и затратами на эксплуатацию. Как правило, это зависимость обратная, т.е. товар более высокого технического уровня и качества, как правило, существенно более эффективен в процессе его эксплуатации. Таким образом, товаропроизводитель, обеспечивая потребителю решение его проблем наиболее эффективным способом, вправе компенсировать свои усилия более высокой продажной ценой, естественно в определенных пределах, обеспечивая условие Цпотр -> min.
Но при этом необходимо убедить покупателей (с помощью различных средств маркетинговых коммуникаций) о тех выгодах, которые они получат при использовании предлагаемых товаров. Цена реализации нового товара может быть оценена по следующей зависимости:
![]()
где: сумма — суммарные затраты по эксплуатации нового товара за
Цпотр.н - весь срок службы; Ппотр.н — цена потребления товара, предлагаемая конкурентом.
В качестве другого метода учета качества в цене предлагаемого товара можно использовать подход, лежащий в основе определения конкурентоспособности товара:

![]()
Для соблюдения равного уровня технико-экономической конкурентоспособности {/н //о = Г) цена нового товара может быть определена по зависимости
![]()
где Цпотр. — цена потребления базового (эталонного) товара;
Зэкспл. - затраты в сфере эксплуатации нового товара за весь срок службы изделия.
Список использованной литературы
1. Информационное обеспечение управления конкурентоспособностью. Под ред. проф. С.Г.Светунькова. М., «Менитеп - Информ» 2000., с.390
2. Балайдина В. С., Михайленко А. М., Аудиториум. Монополизм и конкуренция в России. М.: Филинъ, 2000., с.175
3. Чемберлин Э. Теория монополистической конкуренции. М.: Экономика, 2003., с.256
4. Л. Завьянов, Д. Демидов. «Формула успеха. Маркетинг: сто вопросов сто ответов, как действовать на внешнем рынке». М."Высшая школа",1992.
Похожие работы
-
Конкурентоспособность будущего специалиста высшей квалификации как показатель качества его подготовки
Система высшего образования развивается в настоящее время в контексте рыночных преобразований, вследствие чего становится возможным все более успешно учитывать требования экономических категорий к ее функционированию.
-
Понятие конкурентоспособности и его эволюция
Конкуренция составляет основу динамичного развития индустриального общества, имеет первоначально форму свободной конкуренции частных производителей на открытых рынках и преимущественно ценовой механизм ее реализации на внутреннем и зарубежных рынках.
-
Определение показателей конкурентоспособности автозаправочных станции Кировского района города К
расноярска Для того чтоб определить показатель конкурентоспособности необходимо для начала определиться с факторами по которым будем оценивать АЗС. Их количество возьмем равным 10 чтоб данных для оценки было необходимое и достаточное количество:
-
SNW Анализ
SNW – АНАЛИЗ – это усовершенствованный анализ слабых и сильных сторон. SNW – Strength (сильная сторона), Neutral (нейтральноя сторона), и Weakness (слабая сторона). В отличие от анализа слабых и сильных сторон SNW – АНАЛИЗ так же предлагает среднерыночное состояние (N). Основная причина добавления нейтральной стороны является, то что «зачастую для победы в конкурентной борьбе может оказаться достаточным состояние, когда данная конкретная организация относительно всех своих конкурентов по всем кроме одной ключевым позициям находится в состоянии N, и только по одному в состоянии S».
-
Конкурентоспособность и рекламная деятельность
1 Теоретические аспекты конкурентоспособности и рекламной деятельности 1.1 Конкуренция, конкурентоспособность, конкурентное преимущество фирмы: понятие и сущность категорий
-
Факторы, влияющие на конкурентоспособность предприятия
Гордеева Ольга Николаевна студентка ИУ ОГАУ з курс Специальность Коммерция (торговое дело) Научный руководитель – преподаватель Романов В.А. Формирование и дальнейшее развитие рыночных отношений вызывает необходимость повышения качества продукции и, следовательно, конкурентоспособности производства.
-
Факторы, влияющие на конкурентоспособность технических объектов
Конкурентоспособность – это комплекс потребительских, стоимостных и социальных характеристик технического объекта, определяющих успех на рынке, способность товара быть обмененным на деньги на конкретном рынке. Конкуренция – это степень соответствия.
-
Определение оптимального объема производства в условиях производственного предприятия
Расчет коэффициента вариации постоянных расходов производства. Построение модели общих расходов с помощью метода МНК1. Определения точек безубыточности производства графическим способом. Мероприятия по развитию предприятия в условиях конкуренции.
-
Управление кредитными рисками
Конкурентоспособность и стабильность функционирования банка. Риски в деятельности банка.
-
Профильная матрица конкурентов
Задачи и цели матрицы. Анализ конкурентов и их возможностей.
