Название: Рынок и его функции 2
Вид работы: реферат
Рубрика: Экономика
Размер файла: 83.54 Kb
Скачать файл: referat.me-385177.docx
Краткое описание работы: ВВЕДЕНИЕ Актуальность данной темы заключается в том, что основное экономическое преимущество рыночной системы заключается в ее постоянном стимулировании эффективности производства. Экономика производит то, что требуют потребители, путем применения самой эффективной технологии. Рыночная система функционирует и корректируется автоматически в результате индивидуальных, децентрализованных решений, а не централизованных решений правительства.
Рынок и его функции 2
ВВЕДЕНИЕ
Актуальность данной темы заключается в том, что основное экономическое преимущество рыночной системы заключается в ее постоянном стимулировании эффективности производства. Экономика производит то, что требуют потребители, путем применения самой эффективной технологии. Рыночная система функционирует и корректируется автоматически в результате индивидуальных, децентрализованных решений, а не централизованных решений правительства.
Против рыночной системы выдвигается несколько критических аргументов:
а) ее контрольный механизм и конкуренция с течением времени ослабевают,
б) свойственные рыночной системе неравенство доходов, неспособность учитывать коллективные потребности и наличие внешних выгод и издержек препятствуют производству такого набора товаров и услуг, какой прежде всего необходим обществу,
в) конкурентная рыночная система не гарантирует полной занятости и стабильного уровня цен.
Возникновение рынка непосредственно связано с появлением общественного разделения труда, которое объективно потребовало развитие обмена продуктами труда. Постепенно обмен расширялся и усовершенствовался, а случайный обмен постепенно трансформировался в современный рынок. Итак, Эволюция общественных форм производства и обмена привела к возникновению современной рыночной системе, в основе которой лежит функционирование товарного производства, ориентированного на удовлетворение потребностей общества и отдельных его индивидов.
Именно установление хозяйственных связей между многочисленными хозяйственными субъектами, каждый из которых стремится реализовать свой экономический интерес, и обеспечивает нормальное беспрерывное функционирование национальной экономики. Поэтому основополагающую характеристику рынка можно свести к следующему определению: рынок – это система экономических связей между хозяйственными субъектами, которая базируется на меновых отношениях и платности всех благ и услуг. Такое определение рынка позволяет избежать упрощенных и по сути своей неверных его трактовок. Когда мы говорим о рынке, то непременно должны подразумевать всю совокупность структур экономических отношений между хозяйственными субъектами на принципе возмездности представляемых товаров и услуг.
Целью данной работы является изучение рынка и его функций.
Для достижения поставленной цели решаются следующие задачи :
- изучить теоретические аспекты рынка и его функций;
- рассмотреть разновидности рынков;
- провести анализ различных рынков Тульской области.
Предметом данной работы является рынок.
Объектом данной работы является Тульская область.
Гипотезой является анализ рынка Тульской области.
Источниками написания работы служили учебные пособия Деевой А.И., Леонтьевой В. М., Шпитцнера Р., Лысенко И. А. и других авторов.
ГЛАВА 1. ТЕОРЕТИЧЕСКИЕ АСПЕКТЫ РЫНКА И ЕГО ФУНКЦИЙ
1.1. Понятие рынка
Рынок — это не только общеэкономическая категория, присущая в той или иной степени всем этапам развития цивилизации, но это одновременно сложное социально-философское понятие. Оно вовсе не ограничивается экономической сферой. Как результат естественноисторического развития человеческого общества рынок включает исторические, национальные, культурные, религиозные, психологические особенности развития народов, вобравших в себя все богатства многовековых традиций совместного устройства культурной и экономической жизни. Это определяет особенности современного рынка и рыночной системы в различных странах. Рынок имел место во всех цивилизациях, но его роль в них значительно различается. Тот факт, что рыночные отношения и сегодня далеки от совершенства, возможно, объясняется тем, что в природе совершенство вообще недостижимо. [5,c.178]
Рынок как экономический механизм формировался на протяжении тысячелетий, в течение которых менялось и содержание самого понятия. В общем виде, понятие рынок—это система экономических отношений, складывающихся в процессе производства, обращения и распределения товаров, а также движения денежных средств. Развитие рынка происходит вместе с развитием товарного производства, вовлекая в обмен не только произведенные продукты, но и продукты, не являющиеся результатом труда (земля, дикорастущий лес). В условиях господства рыночных связей все отношения людей в обществе охвачены куплей-продажей.
Если говорить более обобщенно, то рынок представляет сферу обмена (обращения), в которой осуществляется связь между агентами общественного производства в форме купли-продажи, т.е. связь производителей и потребителей, производства и потребления.
Рынок - место, где происходит купля-продажа товаров по свободноскладывающимся ценам.
Рыночная экономика - это система экономических отношений по поводу купли-продажи товаров и услуг, осуществляемой с помощью денег в условиях плюрализма всех форм собственности, свободной конкуренции и ценообразования, обеспечивающая эффективность решения социально- экономических проблем.
Классификация рынков :
1) По объектам приложения различают: рынок товаров, рынок услуг, строительный рынок, рынок технологий, информационный рынок, кредитный рынок, фондовый рынок, рынок рабочей силы.
2) В пространственном отношении различают: локальный, региональный, национальный, региональный по группе интегрированных стран, мировой рынки.
3) По механизму функционирования различают: свободный, монополизированный, государствено-регулируемый и планово-регулируемый рынки.
4) По уровню насыщенности различают: равновесный ( по объему и структуре), дефицитный и избыточный [6,c.135]
1.2. Функции и принципы рынка
Сущность рынка находит свое выражение в его экономических и социальных функциях. Мировой и национальный опыт показывает, что рынок оказывает громадное влияние на все стороны жизни общества. Можно выделить следующие основные экономические функции рынка.
1. Информационная функция . Ее суть состоит в том, что через систему целого ряда показателей (цены, проценты, количество, качество и ассортимент товаров и услуг и т.п.) рынок, как гигантский компьютер, собирает, перерабатывает и выдает обобщенную информацию в рамках той экономической территории, которую он охватывает, информирует общество о состоянии экономики.
2. Посредническая функция . Рынок соединяет в единую систему экономически обособленных, товаропроизводителей и потребителей. В результате продавцы и покупатели находят друг друга, у каждого из них появляется возможность выбрать и подходящего покупателя, и нужного продавца.
3. Регулирующая функция . Рынок дает ответы на вопросы:
что производить? как производить? для кого производить? На основе межотраслевой и межрегиональной конкуренции идёт бесконечный перелив капиталов и ресурсов, что в конечном счёте формирует такую структуру экономики, которая отвечает требованиям рынка, требованиям потребителей.
4.Ценообразующая функция . Известно, что у каждого товаропроизводителя складываются свои индивидуальные затраты и, следовательно, индивидуальные стоимости и цены. Между тем рынок признаёт лишь общественно необходимые затраты и соответственно общественные, рыночные цены, которые одновременно отражают и потребности покупателя, и уровень предложения товарной массы.
5.Функция экономичности потребления , сокращение издержек обращения в сфере потребления (затрат покупателей на приобретение товаров) и соразмерности спроса населения с заработной платой.
6. Стимулирующая функция . Ориентир рыночных цен на общественный уровень затрат, на учет спроса потребителей побуждает каждого товаропроизводителя экономить свои индивидуальные затраты и представлять рынку те товары, которые нужны покупателю. В свою очередь рынок побуждает и покупателя заботиться об экономичности потребления, об экономии затрат на приобретение товаров, побуждает соизмерять уровень
спроса с уровнем доходов.
7. Эквивалентная функция . Рынок сопоставляет индивидуальные затраты труда отдельного производителя с общественным «эталоном», соизмеряя затраты и результаты, а также выявляя ценность товара.
8.Созидательно-разрушительная функция . Рынок обеспечивает динамичное изменение всех хозяйственных пропорций между отраслями и регионами. Он как бы взрывает старую структуру хозяйства и на каждом новом этапе развития формирует новую структуру. Разумеется, этот процесс тяжелый, мучительный, болезненный, но он - реальность. Яркий и наглядный пример тому - структурная перестройка хозяйства в современной России.
9.Санирующая, оздоровительная функция . В этом смысле рынок напоминает санитара, который убирает из хозяйства все устаревшее, больное, очищает общественное производство от устаревших отраслей, экономически нежизнеспособных хозяйствующих субъектов и даст дорогу отраслям экономичным, хозяйствам высокоэффективным. Совершенно очевидно, что и этот процесс является болезненным, мучительным, ибо он ускоряет гибель слабых хозяйств.
10. Дифференцирующая функция. Рынок расслаивает, дифференцирует товаропроизводителей, т. с. обогащает одних и разоряет других. Общеизвестно, что средний цикл жизни малого бизнеса не превышает шести лет, что, как правило, из каждых трех начинающих предпринимателей двое разоряются в сравнительно короткий период (1,5 - 2 года). [14,c.25]
Вопрос о функциях рынка позволяет вплотную рассмотреть еще один аспект проблемы – преимущества и недостатки рыночного механизма.
Выше при анализе функций было выяснено, что рыночный механизм хозяйствования имеет целый ряд очевидных преимуществ, достоинств и оказывает на экономическую жизнь общества положительное влияние. Можно отметить следующие проявления положительного влияния рынка :
• стимулирует рост производства, ускоряет темпы его развития;
• повышает эффективность производства, побуждает экономить труд и ресурсы;
• формирует структуру хозяйства, отвечающую потребностям и запросам потребителя;
• в определенной мере рынок создает саморегулирующуюся систему хозяйства, где каждый занимает свою нишу;
• многовековой опыт использования рынка свидетельствует о его естественной природе, которая отвечает нуждам общества;
• рынок обогащает определённую часть, населения, Однако рынок не следует идеализировать, поскольку ему присущи недостатки. Можно указать наследующие проявления отрицательного, влияния рыночного механизма на экономическую и социальную жизнь общества:
• как саморегулирующаяся система рынок не является идеальной системой. Частичное и в особенности общее макроэкономическое равновесие в данной системе реализуется через постоянное нарушение этого равновесия. Иными словами, рыночная система недостаточно стабильна. Типичной формой ее нестабильности является циклический характер развития экономики;
• одной из форм нарушения равновесия и одновременно формой нестабильности экономики является инфляция, рост цен. Последствия этой формы макроэкономической нестабильности экономически разрушительны и социально опасны;
• рыночная система не обеспечивает полного использования ресурсов. Ей свойственны неполная занятость вещественных и трудовых ресурсов. Безработица - неизбежный спутник рынка, ее последствия социально драматичны;
• рынок сам порождает факторы, которые нарушают свободу предпринимателя; Такими факторами являются различные формы монополизма, которые деформируют правила игры на свободном, классическом рынке;
• рынок не учитывает так называемых отрицательных внешних эффектов (например, загрязнение окружающей среды). Товаропроизводители, нарушая экологическую среду, не хотят нести затраты по восстановлению сил природы, по восстановлению экологического равновесия
• рынок не в полной мере учитывает влияние положительных внешних эффектов (услуги образования, науки, здравоохранения и т.п.). Он учитывает только индивидуальный коммерческий аспект этих эффектов, но не придает значения социального воздействия этих факторов, он как бы недооценивает полную полезность этих благ и услуг;
• рынок безразличен к производству так называемых общественных благ и услуг (национальная оборона, охрана общественного порядка, воспитание детей и т. п.);
• рынок не только обогащает, но и неизбежно разоряет часть предприятий и часть домашних хозяйств;
• рынок не способен решить целый ряд социальных проблем: содержание пенсионеров, больных, инвалидов, сирот и т. п.;
• рынку чужды нравственные идеалы добра, справедливости, патриотизма и т.д. Разные народы сложили немало пословиц и поговорок по этому поводу: «рынку нет дела до человека без кошелька»; «рынок - это специально отведенное место, где люди могут обманывать друг друга», «хотя честный человек может преуспеть в делах, щепетильность будет для него помехой, и тогда недостаток моральной гибкости ему придется восполнить умением».
Все вышеизложенное позволяет сделать вывод о том, что рыночный механизм нуждается в регулировании, в корректировке. Такой механизм имеет смешанная экономика. [3,c.174]
1.3. Структура и типы рынков
Характеристику рынка как совокупности актов купли-продажи можно раскрыть через его структуру, систему и инфраструктуру. Становление и налаживание эффективно функционирующей системы инфраструктуры рынка является важнейшим компонентом процесса перехода экономики России на рыночные условия хозяйствования.
Структура рынка — это внутреннее строение, расположение, порядок отдельных элементов рынка, их удельный вес в общем объеме рынка.[10,c.306]
Признаками любой структуры являются:
а) тесная связь между ее элементами
б) определенная устойчивость этих связей;
в) целостность, совокупность данных элементов.
Совокупность всех рынков, расчлененных на отдельные элементы на основе самых разнообразных критериев, образует систему рынков.
Можно выделить следующие критерии для характеристики структуры и системы рынка:
Первый : по объектам :
• рынок товаров и услуг (потребительский рынок);
• рынок факторов производства;
• финансовый рынок;
• рынок научно-технических разработок, патентов;
• рынок информации;
• рынок средств обращения;
• рынок отдельных товаров или товарных групп (мяса, одежды, обуви);
• рынок лицензий и др.
Рынок товаров и услуг (потребительский рынок). Исторически первоначально возник именно он. Описывая товарное хозяйство и рыночную систему, мы тем самым описывали историю и механизм функционирования рынка товаров и услуг. Мы можем лишь дополнительно указать на организацию самого этого рынка и конкретные, его формы. Это товарные биржи, множество других форм оптовой и розничной торговли, маркетинга и маркетинговых организаций и т. д. Исторически, развиваясь и совершенствуясь по мере созревания, объективных экономических условий, от рынка товаров и услуг отделялись рынки факторов производства. Это делало рынки целесообразнее и рациональнее, более специализированными, следовательно, более совершенными.
Рынок жилья до недавнего времени в нашей стране существовал в виде купли-продажи частных домов, дач и других владений подобного рода, а также кооперативных квартир, которые могли быть проданы и куплены. В связи с приватизацией государственного жилого сектора можно ожидать формирования полноценного, а не ограниченного узкой зоной обмена или теневой продажи «по договоренности» рынка жилья, охватывающего все виды жилой площади. Это покончит с вопиющей социальной несправедливостью, когда (зачастую обеспеченные) люди получают жилье бесплатно, а другие покупают за полную стоимость.
Рынок факторов производства . Объектами купли-продажи на этом рынке являются земля, рабочая ста в средства производства (капитал). Соответственно, можно различать и сегменты этого рынка : рынок земли, рынок труда, рывок капиталов.
На рынке земли огромную роль играет географический фактор и ограниченность самих земель, как никакого другого ресурса. В силу этого в каждой стране, в зависимости от ее нахождения на планете, территории и других факторов рынок земли носит сугубо специфический характер. Он глубоко национален, исторически традиционен. Дело в том, что под землей понимается не только земля как таковая, но и те дополнительные, очень существенные товары и услуги, которые она дает: урожай, сырье, материалы, полезные ископаемые и т. д.
Рынок рабочей силы организуется в форме биржи труда, где непосредственно формируется сложная инфраструктура, позволяющая сводить вместе работодателей и наемных рабочих, продающих свою рабочую силу.
Биржа труда представляет собой целый научно-исследовательский комплекс, занимающийся регистрацией безработных и свободных рабочих мест на предприятиях. Имея полную информацию по этим аспектам, 6иржа направляет на предприятия соответствующую им по профилю и квалификации рабочую силу, занимается её переподготовкой переквалификацией. Бирка держит тесную связь с профсоюзами и предпринимателями и получает от них мощную поддержку. Хотя биржа труда в какой-то степени и ограничивает свободу товаропроизводителей нанимать рабочую силу по своему усмотрению, но она же и освобождает их от огромных издержек на содержание большого аппарата по найму, подготовке и переподготовке рабочей силы. Уже поэтому предприниматели материально поддерживают биржу труда, до 90 процентов рабочей силы нанимается исключительно по ее направлениям. С другой стороны, биржа труда опирается на мощную поддержку государства, так как, во-первых, она не может быть прибыльной организацией, во-вторых, она и не ставит себе такую цель, выполняя работу огромной социальной значимости. Именно биржа труда определяет статус безработного, выдаст пособия и занимается другими формами социального вспомоществования. [12,c.49]
На рынке капиталов занимаются организацией купли-продажи средств производства, зданий, сооружений, станков, оборудования. Он отличается двумя особенностями.
Первая заключается в том, что спрос на капитальные средства покупатели всегда ввязывают с той прибылью, которую им могли бы принести ценные бумаги. Покупатель всегда решает вопрос, что ему выгоднее: вложить деньги в средства производства и получить определенную норму предпринимательской прибыли или купить ценные бумаги и получать потом доход в форме определенного процента. Следовательно, движение процента (финансовый рынок) и спрос на средства производства достаточно тесно связаны. Если норма ссудного процента падает, то спрос на средства производства растет, растет соответственно и цена на них. Взаимосвязь этих двух видов рынка проявляется и в том, что спрос на средства производства и их цена определяют размеры инвестиций в производство, но сами инвестиции непосредственно извлекаются из рынка финансов, где формируется норма (ставка) процента. В силу этой особенности рынок средств производства отличается среди всех остальных его видов наибольшей нестабильностью и непредсказуемостью.
Другой особенностью рынка средств производства является его высокая неоднородность и исключительное разнообразие товаров. На рынке товаров и услуг разнообразие еще больше, но здесь каждый товар или группа товаров имеет свой рынок, что отсекает его от остальной массы, позволяя учитывать все его специфические особенности. Рынок же средств производства такими возможностями не располагает.
Важной частью рывка средств производства является рынок подержанного оборудования. Сам по себе этот рынок ничем примечательным не отличается от рынка средств производства, но функционально он чрезвычайно важен, так как именно в этом секторе определяется степень износа оборудования, а следовательно, норма амортизации. Последняя же в свою очередь определяет сроки обновления средств производства и, таким образом, имеет прямое отношение к регулированию всего рынка средств производства.
Рынок инвестиций представляет собой одну из разновидностей денежного рынка, в котором объектом рыночных отношений являются капиталовложения.
Финансовый рынок — это, рынок, где покупаются и продаются финансовые средства: деньги, облигации, акции, векселя в другие ценные бумаги. На этом рынке формируются ссудный процент, курс валют и ценных бумаг. Хотя мы и; рассматриваем финансовый рынок третьим по счету, в настоящее время он является важнейшим после рынков товаров, более того, в современной рыночной инфраструктуре становится определяющей формой рынка. Дело в том, что не существует вида хозяйственной деятельности, который бы не взвешивался на финансовых весах, не был бы опосредован финансами и не проходил бы через финансовый рынок. В то же время он является наиболее чутким барометром рыночного благополучия. Реагирует на любые изменения в производстве товаров и услуг, включая и изменения на рынке средств производства.
Главным орудием финансового рынка является ссудный процент, превратившийся в универсальный критерий эффективности, вложения капитала в какую бы то ни было отрасль производства. Суть ссудного процента с этой точки зрения заключается в том, что он указывает минимальный уровень отдачи, эффективности капитальных вложений. Он как бы является пробным камнем или точкой определения прибыльности бизнеса. Если ожидаемая прибыль от капитальных вложений будет ниже ссудного процента, то предпочтительней деньги вложить в банк вот о чем говорит ссудный процент.
С другой стороны, финансовый рынок является и самым совершенным рынком. Прежде всего потому, что обеспечивает практически единую ставку ссудного процента не только в каждой отдельной стране, но и на международном уровне. Кроме того, он отличается многочисленностью субъектов, действующих на нём. По существу, это все субъекты экономических отношений. В то же время объекты купли-продажи здесь характеризуются однородностью товаров: деньги, акции, облигации и тому
подобное, что облегчает функционирование самого рынка, увеличивает его предсказуемость. На финансовом рынке существуют развитая информационная структура и сеть, банков, широкий рынок заемных средств, в тем самым обеспечивается главное: условие существования конкурентного рынка в целом свободный "вход" в него и свободный "выход" из него. Очевидно, что финансовый рынок является ключевым элементом в рыночной системе. Без развитого финансового рынка рыночная система вообще не может считаться полноценной. В этом нетрудно убедиться, проанализировав состояние, российского финансового рынка и в целом рыночной системы России. Они практически находятся в зачаточном состоянии, особенно финансовый рынок. Даже нет единой банковской системы на твёрдой законодательной основе, естественно, нет и единого ссудного процента в масштабах страны. Тем не менее, финансовый рынок, даже в этом состоянии, является орудием совершенствования рыночной системы, своеобразным двигателем экономики страны к этой системе.
Рынок инноваций , т.е. нововведений, изобретений, рационализаторских предложений, практически также отсутствовал в нашей экономике. Переход к рыночной экономике дает основание рассматривать инновации как товар, который целесообразно продавать по рыночным ценам, что, несомненно, должно привести к ускорению научно-технического прогресса.
Рынок информационных продуктов — это особый рынок, предметом купли-продажи здесь являются книги, газеты, картины, различного вида реклама и великое множество других предметов и видов деятельности, несущих людям необходимую информацию. Такой рынок у нас существует. Но если понимать информационный продукт в широком смысле слова, включая в него и интеллектуальный, т.е. научный, культурный, духовный, образовательный продукт, то рынок подобной продукции только формируется. Определенное распространение получают в качестве объекта купли-продажи программы для ЭВМ.
Рынок лицензий — это часть рынка инноваций. Объектом купли и продажи здесь служат патентные и беспатентные лицензии на передачу изобретений, технологического опыта, промышленных секретов и коммерческих знаний, использование товарных знаков и т.д. Это торговля технологией. В современных условиях наибольшее распространение в международной практике получили лицензионные соглашения, предусматривающие комплексный технологический обмен с предоставлением ноу-хау (информации, представляющей технические знания и практический опыт, имеющей коммерческую ценность и не обеспеченную патентной защитой: спецификаций, формул, рецептур, документации, схем организации производства, характеристик технологического процесса и пр.) и инжиниринговых услуг по промышленной реализации передаваемой технологии. [6,c.28]
Второй критерий : по субъектам :
• рынок покупателей;
• рынок продавцов;
• рынок государственных учреждений,
• рынок промежуточных продавцов посредников.
На рынке покупателей предложение должно превышать спрос, тогда покупатель сравнивает между собой разные сорта товаров, их цены и оказывает предпочтение тому или иному товару. Здесь есть конкуренция производителей и торговцев, что характерно для современных развитых национальных и международных рынков.
Рынок продавца характеризует значительное превышение спроса над предложением. Здесь главную роль играет количество товаров и услуг, качеству уделяется минимальное внимание. Ни о предпродажном, ни о послепродажном сервисе не упоминается, все продается сразу, как бы «с колес», так как конкуренция между производителями отсутствует, товарный ассортимент беден. Торговля работает по принципу: «Бери, что дают!» Таков
был наш рынок.
Рынок государственных учреждений включает совокупность актов купли-продажи государственных организаций, федерального правительства, штатов, местных органов власти, закупающих или арендующих товары, необходимые им для выполнения своих основных функций по отправлению власти.
Рынок промежуточных продавцов выражает совокупность экономических отношений лиц и организаций, приобретающих товары для перепродажи или сдачи их в аренду другим потребителям с выгодой для себя.
Третий критерий : по географическому положению :
• местный (локальный) рынок;
• региональный рынок;
• национальный рынок;
• мировой рынок.
Мировой рынок — это не только совокупность национальных рынков различных государств, экономические связи между которыми определены международной торговлей (в том числе торговля лицензиями, услугами, международное перемещение капиталов и т.д.), но и их качественно новый уровень.
Четвертый критерий : по уровню насыщения :
• равновесный рынок;
• дефицитный рынок;
• избыточный рынок.
Пятый критерий : по степени зрелости :
• неразвитый рынок;
• развитый рынок;
• формирующийся рынок.
Шестой критерий : по степени ограниченности конкуренции :
• свободный рынок;
• монополистический рынок;
• олигополистический рынок;
• смешанный рынок.
Седьмой критерий : по соответствию действующему законодательству:
• легальный рынок;
• нелегальный («черный» и «серый») рынок.
Восьмой критерий : по отраслям :
• автомобильный рынок;
• компьютерный рынок и т.д.
Девятый критерий : по характеру продаж:
• оптовый рынок;
• розничный рынок.
Десятый критерий : с учетом ассортимента товаров :
• замкнутый рынок, на котором представлены товары только первого производителя;
• насыщенный рынок, на котором множество сходных товаров многих производителей;
• рынок широкого ассортимента, на котором есть ряд видов товара, связанных между собой и направленных на удовлетворение одной или нескольких связанных между собой потребностей;
• смешанный рынок, на котором имеются разнообразные товары, не связанные между собой.
В зарубежных странах выделяют также аукционы, долгосрочные контракты, телефонно-телексный рынок, разовые сделки, биржевую торговлю.
Тендеры (торги) — это распространенная форма торговли, при которой покупатель объявляет конкурс для продавцов на товар с определенными технико-экономическими характеристиками с помощью тендерных комитетов, в которые входят технические и коммерческие эксперты, представители администрации, покупатели, принявшие решение о размещении заказов через торги, и другие участники.
История развития рынка позволяет выделить следующие типы рынка: неразвитый, свободный, регулируемыми деформированный.
Неразвитый рынок характеризуется тем, что рыночные отношения носят случайный, чаше всего товарный (бартерный) характер. Но уже и здесь рынок играет определенную роль, способствует дифференциации членов общества, усилению мотивации к развитию производства тех или иных товаров.
Свободный (классический) рынок характеризуется следующими чертами:
1) неограниченное число участников рыночных отношений и свободная конкуренция между ними;
2) абсолютно свободный доступ к любой хозяйственной деятельности всех членов общества;
3) абсолютная мобильность факторов производства; неограниченная свобода передвижения капитала;
4) наличие у каждого участника абсолютно полной информации о рынке (о норме прибыли, спросе, предложении и т.д.). Осуществление принципа рационального поведения рыночных субъектов (оптимизация индивидуального благосостояния в результате прироста доходов: продать подороже, купить подешевле) невозможно без информации;
5) абсолютная однородность одноименных товаров (отсутствие торговых марок и т.д.);
6) ни один участок свободной конкуренции не в состоянии оказать непосредственное влияние на решение другого неэкономическими методами;
7) цены устанавливаются стихийно в ходе свободной конкуренции;
8) отсутствие монополии (один производитель), монополии (один покупатель) и государственного регулирования.
Преимущества свободного рынка в том, что он функционирует на основе саморегулирующегося механизма, обращен к человеку, через цены на основе спроса создает ориентиры для капиталовложений в производство. Свободный рынок — это механизм заведомо бездефицитного рынка. Он обеспечивает эффективное распределение в обществе ресурсов; гибкость и высокую адаптивность к изменяющимся условиям; свободу выбора и действий рыночных субъектов; максимальное использование достижений НТР; способность к удовлетворению разнообразных потребностей; повышение качества товаров и услуг. Создается впечатление, что рынок функционирует почти автоматически, хотя на самом деле регулирование здесь осуществляется методом проб и ошибок. [15,c.78]
Но свободный рынок имеет и следующие серьезные недостатки :
1) рынок приводит к дифференциации в уровне жизни населения, что не так уж и плохо, ибо обеспечивает высокую мотивацию к труду. Плохо то, что он не обеспечивает социальную «защиту» населения. Социальные последствия свободного рынка таковы: безработица, разорение, бедность отдельных групп населения. С общечеловеческих позиций рыночное распределение несправедливо, так как не обеспечивает минимальный уровень жизни всем. Следовательно, необходимо вмешательство государства для решения социальных проблем.
Распределение на рынке осуществляется на основе полученных доходов. С позиций рыночных отношений любой доход, полученный на основе свободной конкуренции, справедлив. А тот, кто не в состоянии получить этот доход (по состоянию здоровья, старости и т.д.), обречен на нищенское существование.
Рынок не может создать условия реализации права на труд для всех членов общества. Трудоустраиваются только те, на чью рабочую силу имеется спрос. Свободный рынок не гарантирует полную занятость населения, а также стабильный уровень цен;
2) механизм свободной конкуренции не обеспечивает экономику нужным количеством денег для развития-производства. Имеет место нехватка денег. Проблему эмиссии денег берет на себя государство в лице, госбанка;
3) деятельность свободных конкурентов часто приводит к нежелательным эффектам, таким, как загрязнение окружающей среды, продуктов питания пестицидами и другими вредными веществами, развитие наркомании, алкоголизма и т.д. Свободный рынок, таким образом, зачастую игнорирует потенциально негативные последствия принимаемых решений, а также не способствует сохранению не воспроизводимых ресурсов;
4) свободный рынок не создает стимулов для производства товаров и услуг коллективного пользования, не в состоянии обеспечить общество услугами, в которых нуждается любой человек и от которых никто не получает прибыли (оборона, государственное управление, охрана природы и др.);
5) рынок не обеспечивает действенную мотивацию для фундаментальных исследований. Он реализует уже имеющиеся научно-технические достижения, но не выделяет средства для фундаментальных исследований в науке и технике, а они крайне необходимы для развития общества в отдаленной перспективе;
6) экономика, функционирующая на основе свободного рынка, подвержена нестабильному развитию с соответствующими рецессионными (спад или замедление темпов роста производства) и инфляционными процессами;
7) рынок не распространяется на те виды деятельности, которые не могут быть подчинены исключительно коммерческим критериям (здравоохранение, образование, наука, культура, единая транспортная система, убыточные производства), но необходимы обществу.
Свободный рынок — это абстракция: в настоящее время, да и в прошлом (в различной мере) имело и имеет место регулирование рынка, ибо условиям свободного рынка не отвечает никакая государственность.
Сегодня у нас многие считают, что переход к рыночной экономике означает формирование свободного рынка, ибо только свободный рынок обеспечит полное раскрепощение инициативы и деловой активности людей, улучшение их жизни.
В действительности полной свободы нет и быть не может. Еще И.И. Бухарин отмечал, что хозяйствующий субъект в своих мотивах и действиях зависит от общественной среды, а Г.В. Плеханов подчеркивал, что свобода хозяйственной деятельности существует не сама по себе, а является следствием познания экономических законов и заключается в умении подчиняться им и наивыгоднейшим образом комбинировать свою деятельность в соответствии с объективными взаимосвязями. Дж. Гэлбрейт утверждает, что сегодня не может быть свободного рынка времен Адама Смита, и кто призывает к этому — человек с психическим заболеванием клинического характера.
Итак, не может быть полной экономической свободы, но должна быть достаточная экономическая свобода, которая способствует быстрому развитию экономики и которая обеспечивается развитием нормального, цивилизованного, регулируемого рынка.
Регулируемый рынок — это результат цивилизации и гуманизации общества, когда государство стремится как-то смягчить удары рынка по интересам отдельных членов общества, но не настолько, чтобы свести на нет мотивацию к творческому, инициативному труду и риску в хозяйственной деятельности. Рынок должен быть регулируемым, чтобы снять или как-то ограничить отрицательные его последствия.
Условия функционирования рынка у нас были таковы, что его положительная роль в развития экономики была сведена на нет, отсюда вытекают заявления об отсутствии рынка, что не совсем правильно отражает реальность, ибо акты купли-продажи существовали, что признавали и признают не только отдельные экономисты России, но и Запада. Личное подсобное хозяйство в разные годы носило разную степень товарности, но без него крестьянин не мог бы существовать. Таким образом, рынок был и есть, но он серьезно деформирован. [11,c.247]
ГЛАВА 2. РАЗНОВИДНОСТИ РЫНКОВ
2.1. Рынок земли
Говоря о земле как о факторе производства, надо учитывать, что само понятие «земля» употребляется в широком смысле слова и охватывает все, что дано природой в ограниченном объеме и обладает полезностью, будь то сама земля, водные ресурсы или полезные ископаемые.
Земля как фактор производства не является результатом человеческого труда, невоспроизводима и количественно ограничена.
С этой точки зрения земля является всеобщим условием любого производства. Но для сельского хозяйства земля еще и основное средство производства. Поэтому, говоря о земле, мы в первую очередь будем иметь в виду ее использование в аграрном секторе.
В аграрном секторе, во-первых, земля является не только всеобщим условием производства, но и основным средством производства. Во-вторых, производство находится под воздействием природных, климатических и погодных условий. В-третьих, земля устойчиво качественно неоднородна по плодородию и местоположению относительно рынков сбыта.
Основа аграрного производства — собственность на землю, поскольку от характера присвоения земли зависят отношения пользования, владения и распоряжения землей, а значит, и результатами сельскохозяйственного производства. Поэтому необходимо различать категории землевладения и землепользования, без которых анализ рынка земли и ренты как факторного дохода провести затруднительно.
Землевладение означает признание права данного лица (физического или юридического) на определенный участок земли на исторически сложившихся основаниях. Землевладение осуществляют собственники земли.
Землепользование означает использование земли в установленном обычаем или законом порядке.
В реальной хозяйственной жизни пользователь и владелец — нередко разные люди.
Спрос на землю различают со стороны сельскохозяйственных и несельскохозяйственных покупателей. Первые — это все те, кто использует плодородие почвы для производства сельскохозяйственной продукции любого типа. Вторые — это все те, кому земля нужна для строительства, промышленного производства или иных целей, не связанных с использованием плодородия. Спрос на землю определяется как совокупный спрос всех заинтересованных в этих видах деятельности предпринимателей.
Предложение земли определяется общим предложением всех собственников земли. Земля обладает природной ограниченностью, общее ее количество не может увеличиваться под воздействием роста цен на нее и уменьшаться при снижении цен. Это обусловливает абсолютно неэластичное предложение земли по цене.
Можно повысить производительность земли, улучшить ее качество, можно повысить или понизить до минимума плату за землю, но количество совокупного предложения этого фактора производства в каждый фиксированный момент времени увеличить невозможно. Графически кривая предложения земли имеет вид абсолютно вертикальной линии, а график формирования цен и установления равновесия будет отличаться от привычного нам вида «маршаллианского креста» — скрещивания кривых спроса и предложения.
Поскольку предложение земли относительно неизменно по сравнению с другими факторами производства, объем ренты полностью зависит от спроса на землю: чем он выше, тем выше рента, и наоборот.
Земельная рента — это плата арендатора за пользование земельным участком или доход собственника земли. Земельная рента является основным
элементом арендной платы:
Арендная плата = Земельная рента + Процент на ранее вложенный в участок капитал + Амортизация возведенных на участке сооружений.
Слово «рента» в переводе с немецкого языка означает регулярно получаемый доход, не связанный с предпринимательской деятельностью. Именно поэтому рента присваивается владельцем земли, а не арендатором (землепользователем). Вопрос о том, справедливо ли это, лежит вне рамок позитивного анализа. А владелец капитала присваивает процент? А где он капитал взял?
Эти вопросы относятся к проблеме первоначального накопления капитала. Мы же будем исходить из того факта, что доходы от факторов производства присваиваются их собственниками.
Рента как экономическая категория означает доход от любого фактора, предложение которого неэластично.
Доходы рентного типа можно обнаружить и в других видах доходов. Чаще их называют квазирентой — доходом, который обусловлен более или менее продолжительной ограниченностью предложения какого-либо фактора производства.
Такой подход позволяет понять, почему, например, существуют огромные различия в заработной плате людей.
Если речь идет об уникальном таланте, необычайном даровании, предложение которого нельзя увеличить, цена возрастает многократно. Поэтому доходы кинозвезды, выдающегося хоккеиста или гипнотизера можно, скорее, считать рентой, чем заработной платой. Любая фирма-производитель дефицитного товара тоже получает квазиренту, пока конкуренция не расширит объем предложения в данной отрасли и не понизит цену.
Принцип установления ренты, или арендной платы (эти два понятия часто используют как синонимы), такой же, как и равновесной цены в случае
других факторов производства. Если уровень арендной платы повысится выше точки Е (см. рис. 7.2), предложение земли превысит спрос на нее, земельные собственники станут испытывать трудности со сдачей земли в аренду и будут вынуждены снизить уровень арендной платы. [10,c.308]
Если же уровень арендной платы снизится ниже точки Е, то спрос на землю превысит ее неизменное предложение и, воспользовавшись высоким спросом на земельные участки, их собственники будут повышать плату за землю. Вспомните, как торговал земельными участками герой одного из романов Джека Лондона старатель Элам Харниш по прозвищу Время-не-ждет.
В условиях рыночной экономики земля приобретает товарную форму: она покупается и продается. Чем же определяется цена земли? Приобретая землю, покупатель стремится получать тот доход, который она приносит, т.е. ренту. Эта та сумма, за которую землевладелец готов лишиться не только права пользования землей на определенное время (получать ренту с этого участка), но и уступить покупателю право собственности на неопределенный срок, т. е. продать землю.
Цена земли = R/ S*100% (2.1)
где R — рента;
S — ссудный процент.
В экономической теории все, что приносит доход, рассматривается как капитал. Определенную сумму можно положить в банк и получать доход в виде процента, а можно потратить эти деньги на покупку земли и получать ренту.
Если земельный участок рассматривать как капитальное благо, приносящее доход, то становится понятно, что цена земли зависит от двух величин :
1) от размеров земельной ренты, которую можно получать, став собственником данного участка;
2) от ставки ссудного процента.
Рассмотренное определение цены земли является теоретическим. На практике цена земли зависит от множества факторов. Например, рост цен на землю может быть связан с растущим спросом на нее для несельскохозяйственных целей. Резко возрастает спрос на землю (и вообще на недвижимость) в условиях инфляции и особенно гиперинфляции, что соответственно ведет к росту цены земли. В целом динамика цен на землю в странах с рыночной экономикой с начала XX в. имела устойчивую тенденцию к росту, хотя были и периоды снижения. Например, в США в середине 80-х гг. в связи с падением фермерских доходов упала и цена земли, в этом же направлении воздействовал и рост ссудного процента, доходивший в это время до 18 — 21 %.
Несмотря на неэластичное общее предложение земли, можно говорить об определенной ограниченной мобильности этого фактора производства, поскольку с точки зрения отдельного пользователя предложение земли весьма эластично реагирует на повышение дохода. Предлагая относительно высокий уровень ренты, покупатель всегда найдет подходящий участок, хотя общее предложение земли будет оставаться неизменным. [15,c.305]
2.2. Рынок труда
Труд, безусловно, является главным фактором функционирования производства, а заработная плата — важнейший вид рыночных цен. На долю зарплаты, например, в США приходится почти 75 % национального дохода. Труд неотделим от своего носителя и в отличие от сырья, материалов, оборудования и земли не может стать собственностью предпринимателя. Труд не только производственный, но и социальный фактор, обладающий определенными правами, которые защищают профсоюзы и государство.
Субъектами спроса на рынке труда выступают бизнес и государство, а
субъектами предложения — домашние хозяйства. Спрос на труд находится в обратной зависимости от величины заработной платы. При росте заработной платы при прочих равных условиях предприниматель для сохранения равновесия должен сократить спрос на труд, а при снижении заработной платы спрос на труд возрастает.
Иначе обстоит дело с функцией предложения труда: продавцы на рынке труда стремятся увеличить предложение в условиях роста заработной платы.
«Нет человека, который любил бы труд как таковой» (С.Джонсон).
Совокупное предложение труда в обществе, по мнению П. Самуэльсона, определяется как минимум четырьмя показателями: общей численностью населения; численностью активного трудоспособного населения; количеством отработанного времени за год; качеством, производительностью и квалификацией затраченного труда.
Однако если мы захотим выяснить, как отразится рост заработной платы на предложении труда не общества в целом, а отдельного человека, то увидим иную картину. Особенностью предложения рабочей силы является то, что оно зависит от личной воли и предпочтения людей. Работник сам определяет, сколько времени он хотел бы работать, а сколько — отвести для альтернативного вида занятий и отдыха.
«Свободное время — это пространство для всестороннего развития личности» (К. Маркс).
Дилемма работа — досуг применительно к рынку труда получила названия эффекта замещения и эффекта дохода. Эффект замещения проявляется в том, что каждый час свободного времени рассматривается работником как упущенная выгода. Отсюда стремление заместить свободное время дополнительной работой, а значит, тем набором товаров и услуг, которые можно приобрести на возросшую заработную плату.
Рассматривая индивидуальное предложение труда, надо иметь в виду, что в мгновенном и даже коротком периоде работник практически не может повысить качество своего труда (приобрести опыт, квалификацию, необходимое образование и т.д.). Единственное, что он может сделать в этих условиях, «откликаясь» на рост ставки заработной платы, — это увеличить число отработанных часов. Границы такого увеличения объективны и достаточно узки (24 ч, 365 дней, 30 — 50 лет трудового стажа).
Однако, когда проблемы с хлебом насущным решены, меняется и наше отношение к свободному времени, вступает в игру эффект дохода. Проявляется эффект дохода в том, что. при достижении работником достаточно высокого уровня материального благополучия дальнейшее повышение заработной платы ведет к сокращению предложения труда в пользу свободного времени.
Именно такая закономерность поведения людей на рынке труда лежит в основе длительной тенденции к сокращению рабочей недели. На протяжении последних ста лет рабочая неделя в развитых западных странах сократилась на 40%, ибо свободное время — это ценнейшее благо, потребление которого нельзя отложить из-за ограниченности срока человеческой жизни. [16,c.79]
Ценой равновесия на рынке труда является заработная плата, определяемая современной экономической теорией как цена труда и рассматриваемая в двух аспектах.
В широком смысле слова в этот термин включают оплату труда различных категорий работников: «голубые и белые воротнички», специалисты высокой квалификации, владельцы мелких предприятий сферы услуг. При таком подходе к определению заработной платы в нее включают доходы в виде гонораров, премий и т.д.
В узком смысле слова под заработной платой понимается ставка заработной таты — цена, выплачиваемая за использование единицы труда в течение определенного времени (часа, дня и т.д.).
Ставки заработной платы различны для разных категорий работников и видов работ. Они зависят от уровня квалификации, производительности, характера трудовой деятельности, массовости или, наоборот, уникальности профессии. Чем уже профессиональная группа, тем сильнее средняя зарплата в ней может отличаться от среднего уровня зарплаты по отрасли, по народному хозяйству. Чем более массовая профессия и чем легче в определенных рамках переход от одного рода занятий к другому, тем в большей степени ранок труда соответствует условиям рынка совершенной конкуренции.
Зарплата в 1000 песо — это много или мало? Для ответа на этот вопрос необходимо знать следующее: что на эти деньги можно купить? Необходимо различать номинальную и реальную заработную плату.
Номинальная заработная плата — это сумма денег, которую получает работник за свой дневной, недельный, месячный труд.
По ее размеру можно судить об уровне дохода, но не об уровне потребления человека.
Реальная заработная плата — количество благ и услуг, которое можно приобрести на полученные деньги. Она находится в прямой зависимости от номинальной заработной платы и в обратной зависимости — от цен на товары и услуги.
Равновесие на рынке труда означает, что все предприниматели, согласные платить заработную плату W на уровне точки Е, находят на рынке необходимое количество труда, их спрос на труд удовлетворен полностью. Полностью трудоустроены и все работники, готовые предложить свои услуги при этом же уровне заработной платы. Поэтому точка Е определяет положение полной занятости (категория занятости является одной из основных макроэкономических переменных).
В случае превышения реальной заработной платы уровня равновесной предложение на рынке труда превышает спрос на него, рабочих мест не хватает для всех желающих продать свой труд по этой цене.
В случае снижения реальной заработной платы по сравнению с равновесной спрос на рынке труда превышает предложение, в результате чего образуются не заполненные рабочие места, поскольку работников, согласных работать за более низкую заработную плату, не хватает.
Обе ситуации (безработица и наличие незанятых рабочих мест) в условиях конкурентного рынка не могут быть устойчивыми, они подвергаются коррекции со стороны рыночных механизмов в направлении восстановления равновесия. Колебания спроса на труд и предложения труда позволяют в самом общем виде дать ответ на вопрос о том, почему высока или низка заработная плата. Не случайно в Библии сказано: «Работник стоит своей платы».
Причины дифференциации заработной платы следующие :
1. Неоднородность работников по уровню квалификации и профессиональной подготовки;
2. Различия видов работ по привлекательности;
3. Разные природные способности людей;
4. Несовершенная конкуренция на рынке труда.
Если бы рынок труда носил конкурентный характер, на нем были бы невозможны длительные, устойчивые отклонения от равновесия. Как же объяснить тот факт, что в последние десятилетия рост безработицы не приводил к снижению заработной платы в промышленно развитых странах Запада?
Наличие устойчивой безработицы может свидетельствовать лишь об одном — на рынке труда присутствуют внеконкурентные факторы, которые устойчиво отклоняют заработную плату вверх от ее равновесного значения. Что же можно отнести к этим внеконкурентным факторам?
Во-первых, это государство, активно регулирующее рынок труда, законодательно лишая заработную плату рыночной гибкости. Именно государство устанавливает прожиточный минимум, индексирует доходы, составляет генеральные соглашения. В России впервые такое соглашение было подписано на 1992 г. и включало 52 пункта. [17,c.134]
Во-вторых, это профсоюзы, содействующие длительному и устойчивому отклонению рынка труда от состояния полной занятости. Требуя повысить заработную плату, ускорить замещение труда капиталом без учета прочих экономических условий, профсоюзы, защищая права своих членов, нередко нарушают права на труд той части рабочей силы, которая по тем или иным причинам ищет работу.
«Кто уже бывал на посту председателя профсоюза металлистов, может стать разве что еще римским папой» (В.Брандт).
В-третьих, это крупные корпорации, которые тяготеют к установлению сравнительно стабильной во времени ставки заработной платы, отказываясь пересматривать ее в зависимости от соотношения спроса и предложения на рынке труда.
Рынок труда в России имеет свои особенности. Классические признаки рынка труда в российской экономике развиты еще недостаточно. Сохраняет свои позиции госсектор со сформировавшимися в нем принципами занятости, оплаты труда и профсоюзами как «школой коммунизма». Гарантий стабильной занятости даже при относительно низкой зарплате госсектор уже не дает. Негосударственный сектор экономики развивается медленно. Более высокая зарплата здесь свидетельствует не только о возможностях оплачивать высококвалифицированный труд, но выступает также своеобразной компенсацией за неясность перспектив. В середине 90-х гг. XX в. по ряду специальностей в этом секторе предлагались зарплаты размером до двухсот минимальных окладов. Однако предложение труда оставалось неэластичным, в особенности по таким квалификационным группам, как менеджеры, аудиторы, биржевые маклеры, банковские работники, в первую очередь молодого возраста, но с международным опытом работы. [11,c.24]
1.3. Рынок капитала
В экономической теории и предпринимательской практике, пожалуй, нет понятия, которое бы использовалось столь часто и одновременно столь неоднозначно, как капитал. Этот термин употребляют в отношении оборудования, зданий, денег и ценных бумаг, а также в отношении талантливого инженера и предприимчивого управляющего («человеческий капитал»). Общее во всех приведенных примерах — капитал устойчиво ассоциируется со способностью приносить доход.
На рынке факторов производства под капиталом понимается физический капитал, или производственные фонды, — капитальное благо, используя которое, можно в будущем увеличить поток доходов. Таким образом, производительностью обладает не только труд, но и капитал. Если фактор труд — феномен, созданный вне экономической системы, то капитал — фактор, производимый самой экономической системой.
«Производительность капитала представляет собой не большую проблему, чем то, что вишневое дерево приносит вишни. Это естественно» (В.Парето).
Капитал пользуется спросом, потому что он производителен. Субъектами спроса на капитал являются предприниматели, бизнес, субъектами предложения капитала — домашние хозяйства.
Спрос на капитал — это спрос на инвестиционные средства, а не просто на деньги. Бизнес предъявляет спрос на определенные денежные суммы для покупки капитала в физической форме. Спрос на деньги населения имеет другую природу, она не связана с предпринимательской деятельностью.
Графически спрос на капитал можно представить как кривую, имеющую отрицательный наклон, поскольку применительно к капиталу, так же как и к другим факторам производства, действует закон убывающей доходности: уровень дохода на капитал имеет тенденцию к понижению по мере роста инвестиционных средств. Эту закономерность давно заметили экономисты прошлого А. Смит, Д. Рикардо, К. Маркс и другие теоретики. Это знает и бизнес на своем опыте, чисто эмпирически: чем больше масштабы капиталовложений, тем меньше (при прочих равных условиях) отдача от них. Уровень дохода на капитал называют еще чистой производительностью капитала, а выраженную в процентах — естественной нормой процента. Прочтите еще раз мысль В. Парето, и станет ясен смысл слова «естественная».
Предложение капитала не следует понимать в том смысле, что домашние хозяйства (население) предлагают бизнесу станки, оборудование и т.д. Они предлагают инвестиционные средства, т.е. денежные суммы, которые бизнес использует для приобретения производственных фондов. Происходит это при помощи посредников — инвестиционных фондов, коммерческих банков и т.п. [8,c.249]
Графически предложение капитала можно представить кривой, имеющей положительный наклон, что обусловлено сущностью процента, заключающейся в следующем. Субъекты, предлагающие капитал, по сути, отказываются от самостоятельного альтернативного его применения: открывать собственное дело и получать доход; покупать землю и получать ренту, поехать отдыхать на престижный курорт (получить полезность). Таким образом, процент — это своеобразная равновесная цена, которая складывается в точке пересечения кривых спроса и предложения на капитал и в которой происходит совпадение предельной доходности на капитал и предельных издержек упущенных возможностей (рис. 2.1).
![]() |
Рис. 2.1. Равновесие на рынке капитала
Экономическая теория подчеркивает, что сегодняшние блага люди оценивают выше будущих. Эта особенность экономического поведения субъектов рыночного хозяйства получила название временного предпочтения. При определении категории процента важную роль играет фактор времени. Дающий деньги в ссуду отказывается от текущего (сегодняшнего) потребления своего капитала, предоставляя эту возможность другим субъектам.
«Временное предпочтение — склонность хозяйственных субъектов при прочих равных условиях предпочесть реальный товар в настоящий момент, нежели его получение в некоем будущем» (Э. Долан и Д.Линдсей).
Сказанное соответствует русской поговорке: «Лучше синица в руках, чем журавль в небе».
Нетерпение, желание иметь блага сейчас, а не потом, связаны и с тем обстоятельством, что срок нашей жизни ограничен и, откладывая потребление, мы рискуем. Поэтому те, кто использует заемные средства сегодня, должны заплатить за это владельцу капитала.
«Процент — это цена, которую люди платят за то, чтобы получить ресурсы сейчас, а не ждать, пока они заработают деньги, на которые эти ресурсы можно купить» (П.Хейне).
Норма процента (ставка процента) равна результату деления дохода от капитала, отданного в ссуду, умноженному на 100%, к ссудному капиталу.
Фактор риска в рыночном хозяйстве связан с неопределенностью, как имманентной чертой рыночного процесса. Вы рискуете, предоставляя ссуду
малоизвестной фирме или отдельному лицу, чье финансовое положение не досконально известно. Вы рискуете в принципе, откладывая возможность сегодняшнего распоряжения деньгами, так как завтра могут измениться политическая ситуация в стране, налоговое законодательство; и человек не вечен. Поэтому чем выше риск при предоставлении ссуды, тем выше должна быть ставка процента. [2,c.58]
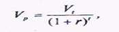
Сравнение уровня дохода на капитал с процентной ставкой — это один из способов обоснования эффективности инвестиционных проектов. Другой способ, имеющий огромное значение и использующийся не только в сфере бизнеса, — это процедура дисконтирования, которое неразрывно связано с фактором времени и заключается в том, что при осуществлении инвестиционных проектов (покупка оборудования, строительство нового завода и т.п.) необходимо сопоставлять величину сегодняшних затрат и будущих доходов, т.е. это процедура определения сегодняшней стоимости будущей суммы денег.
«Дисконтирование — это процедура вычисления сегодняшнего аналога суммы, которая выплачивается через определенный срок при существующей норме процента» (Э.Долан и Д.Линдсей).
(2.2)
где Vp , V, — соответственно сегодняшняя и будущая стоимости будущей суммы денег; / — число лет; г — ставка процента в десятичных дробях.
Дисконтирование применяется не только бизнесменами, осуществляющими инвестиционные проекты.
Так, при получении выигрышей по лотерее на разных временных условиях, получении денежных сумм по завещанию, где также оговорены различные временные сроки выплаты денег и т.п., люди используют процедуру дисконтирования, которая помогает осуществить рациональный экономический выбор.
Решая вопрос, какой частью текущего дохода пожертвовать ради увеличения возможностей потребления в будущем периоде, потенциальный кредитор ориентируется на свои предпочтения. В рамках своих бюджетных возможностей он выбирает наиболее предпочтительную комбинацию текущего и будущего потребления и, исходя из нее, определяет долю текущего дохода, которую следует предложить в ссуду под установленный процент.
При проведении дисконтирования важно различать номинальную и реальную ставки процента.
Номинальная ставка процента — это текущая рыночная ставка процента без учета темпов инфляции.
Реальная ставка процента — это номинальная ставка за вычетом ожидаемых (предполагаемых) темпов инфляции.
Если номинальная ставка процента не покрывает уровня инфляции, то делать сбережения вообще становится бессмысленно. Потребители и инвесторы склонны в этом случае брать взаймы, в кредит для того, чтобы в будущем периоде расплатиться обесценившимися деньгами.
При характеристике процента, так же как и в случае с заработной платой и с земельной рентой, важно учитывать то, что для одних хозяйствующих субъектов является доходом, для других — расходами или издержками. [1,c.263]
ГЛАВА 3. АНАЛИЗ РАЗЛИЧНЫХ РЫНКОВ ТУЛЬСКОЙ ОБЛАСТИ
3.1. Рынок земли в Тульской области
Тульская область — один из наиболее развитых регионов России с высокими экономическими возможностями. Выгодное географическое расположение, наличие природных богатств, топливно-энергетических и минеральных ресурсов, плодородных земель, мощного промышленного комплекса, высокого научно-технического, а также значительного туристского потенциала позволяют рассматривать регион как один из перспективных ареалов экономического роста Центрального федерального округа. За 2003 — 2007 гг. реальный валовой региональный продукт (ВРП) увеличился на 17,3%.
Сельское хозяйство региона многопрофильное. Благоприятные климатические и почвенные условия дают возможность получать добротные урожаи зерновых, сахарной свеклы, картофеля, овощей, плодов и ягод, развивать высокотоварное мясо-молочное скотоводство, свиноводство и птицеводство, что позволяет не только обеспечивать потребности местного населения в основных видах продовольствия, но и вывозить его за пределы области.
Агропромышленный комплекс занимает значительное место в системе народного хозяйства Тульской области. Доля продукции сельского хозяйства в структуре валового регионального продукта (ВРП) составляет около 10%.
К началу 2008 г. в сельском хозяйстве действовало 5 колхозов, 418 сельхозорганизаций с новыми организационно-правовыми формами хозяйствования, а также 3251 фермерское хозяйство с общей земельной площадью 105,2 тыс. гектаров.
Четыре предприятия - ОАО племенное хозяйство «Лазаревское», племзавод-колхоз «Новая жизнь» им. И. М. Семенова, ОАО СПП «Тульское» и ОАО СПП «Ефремовское» — по итогам рейтинга наиболее крупных и эффективных сельхозпредприятий России за 2002-2004 гг. вошли в элитный клуб «Агро-300». ООО «Тульский бройлер» по результатам рейтинга наиболее крупных и эффективных сельхозпредприятий по производству мяса птицы занимает в России 10-е место.
На селе реализуется приоритетный национальный проект «Развитие АПК», позволивший привлечь сюда крупные финансовые средства. На поля пришла новая техника: 71 широкозахватный почвообрабатывающий и 42 посевных комплекса. С их помощью обрабатывается уже почти половина всех сельскохозяйственных угодий.
В 2007г. общая посевная площадь сельскохозяйственных культур в хозяйствах всех категорий составила 772,5 тыс. гектаров.
В структуре посевов зерновых культур увеличились до 45% площади под пшеницей. На полях области выращиваются также картофель, сахарная свекла, овощи, в садах — фрукты и ягоды.
К началу 2008 г. поголовье крупного рогатого скота в хозяйствах всех категорий насчитывало 154,0 тыс. голов, из него коров — 76,0 тыс. голов. Поголовье свиней составило 133,1 тыс. голов, поголовье овец и коз - 41,4 тыс. голов. Численность птицы в сельхозорганизациях увеличилась на 23,4% и составила 4224,1 тыс. голов.
Наиболее стабильно развивающееся направление сельского хозяйства — производство яиц, которое имеет самую высокую технологическую оснащенность, ориентировано на выпуск конечного продукта со стабильным потребительским спросом. Средняя яйценоскость одной курицы-несушки в 2007 г. составила 305 штук. По производству куриных яиц Тульская область занимает 5-е место в ЦФО.
Администрацией Тульской области разработана программа «Охрана и воспроизводство биоразнообразия ихтиофауны Тульской области» на 2002-2015 гг., в рамках которой проводятся широкомасштабные работы по зарыблению естественных водоемов области мальками карпа, карася, сазана, белого и черного амуров, белого и пестрого толстолобиков, стерляди. В 2007 г. из областного бюджета на эти цели выделено 300 тыс. рублей.
В области сформировался солидный производственный потенциал рыбоводных предприятий — ЗАО «Туларыбхоз», ЗАО «Черепетский рыбхоз», ООО «Щекинский рыбхоз». При объединении «Алексинский химкомбинат» создано уникальное коллекционное маточное стадо осетровых рыб.
3.2. Рынок труда в Тульской области и его оптимизация
Экономически активное население – лица, в возрасте 15 - 72 года которые в рассматриваемый период (обследуемую неделю) считаются занятыми или безработными.
Уровень экономической активности населения Тульской области (61% в 2007 г.) заметно ниже среднего по РФ (65%) и уступает почти всем областям Центра, кроме Брянской и Тамбовской. Пониженная активность сохранялась весь переходный период начиная с 1998 г., одна из причин этого — более старая возрастная структура населения.
Область до сих пор выделяется повышенной занятостью в промышленности (28% по сравнению с 22% в среднем по РФ), хотя и уступает трем областям Центра — Ярославской, Ивановской и Владимирской. Этот структурный "флюс" сохранился, несмотря на то что за 1998–2007 гг. численность занятых в промышленности сократилась в области на 38%, а их доля — на 11 процентных пунктов. Доля занятых в торговле выросла более чем вдвое, что отражает общую тенденцию перетока избыточной рабочей силы из реального сектора в сектор услуг, при этом в Тульской области эта доля максимальна (18,5%) по сравнению с другими областями Центра и совсем немного уступает Москве (19,4%). Кроме того, растет бюджетная занятость: вдвое выросла доля занятых в управлении, увеличилась доля занятых в отраслях социальной сферы (здравоохранении, образовании, культуре), эти тенденции типичны для многих регионов страны.
|
Из-за сохранения государственного контроля над предприятиями ВПК и неразвитости малого бизнеса структура занятости по формам собственности отличается от других областей Центра: доля занятых в предприятиях и организациях частной формы собственности самая низкая (45%), занятость в структурах смешанной собственности, к которым относится большинство военных заводов, максимальна (15,8%). В то же время занятость на предприятиях и организациях иностранной и совместной собственности (6%) почти вдвое превышает среднюю по стране, а в Центральном ФО уступает только Липецкой области, так как в химической промышленности Тульской области с середины 1990-х годов работают крупные иностранные компании.
Уровень общей безработицы в области был ниже среднего по стране в течение всего переходного периода. Ситуация на областном рынке труда лучше и по сравнению с другими регионами Центра с высокой промышленной занятостью, хотя в 2007 г. из-за спада в машиностроении безработица в области вновь начала расти (рис. 3.1). Локальные зоны высокой безработицы существовали только в первой половине 1990-х годов в нескольких депрессивных районах Подмосковного угольного бассейна. С помощью займа Всемирного банка была реализована программа закрытия шахт и переобучения занятых в угольной промышленности, но более существенное воздействие на структурную перестройку занятости и сокращение безработицы оказал рост трудовой маятниковой миграции, в том числе в Москву.
|

Рис. 3.1. Динамика общей безработицы в регионах Центра с высокой долей занятых в промышленности
"Портрет" нынешнего тульского безработного типичен для большинства регионов страны: среди безработных преобладают мужчины (51–65% в последние годы); более половины безработных мужчин и женщин составляют лица без профессионального образования (со средним и неполным средним общим образованием). Однако смещение безработицы в сторону низкоквалифицированной рабочей силы выражено в Тульской области сильнее (54% всех безработных) по сравнению со среднероссийской структурой (48%).
Уровень зарегистрированной безработицы (1,2%) в полтора раза ниже среднего по стране, показатели напряженности рынка труда минимальны (1,5 безработных на одну вакансию), а в Туле вакансий больше, чем зарегистрированных безработных (0,6). Эти данные не вполне адекватно отражают ситуацию на областном рынке труда, хотя вполне точно указывают на структурный характер безработицы. Еще одна особенность — рост доли зарегистрированных безработных, проживающих в сельской местности (с 9% в 2005 г. до 14,4% в 2007 г.). По муниципалитетам различия в уровне зарегистрированной безработицы невелики: от 0,8% в Туле до 2,0% в Кимовском и Плавском районах.
3.3. Рынок капитала в Тульской области
Тульская область — один из перспективных ареалов экономического роста Центрального генерального округа России. Торговый оборот организаций области с регионами РФ составляет более 66 млрд рублей, из которого на долю ЦФО приходится 40 млрд рублей. Доля вывоза товаров с территории области в регионы приблизилась к 53% от оборота, ввоза — 47%.
Основу «регионального экспорта» составляет продукция химических и сельскохозяйственных предприятий, пищевой перерабатывающей промышленности, машиностроения, предприятий стройиндустрии и черной
металлургии. Импортирует область конечную продукцию металлургических предприятий, автомобилестроения, радиоэлектронику, большую часть продукции предприятий легкой промышленности.
Основные партнеры: Москва и Московская область, на долю которых приходится более 50% торгового оборота, а также Курская, Белгородская, Липецкая, Калужская, Орловская, Рязанская и Ярославская области.
Тульская область — участник международной торговли с вековыми традициями. Регион поддерживает связи с партнерами в 89 странах мира. Более 300 хозяйствующих субъектов области различных форм собственности осуществляют внешнеторговые операции с иностранными компаньонами.
Внешнеторговый оборот в 2007 г. составил 2452,7 млн. долларов США и по сравнению с 2006 г. увеличился на 27,9%. Тульскими предприятиями экспортировано товаров на сумму 2237,8 млн. долларов, что на 29% больше, чем в 2006 г. Импорт составил 388,5 млн. долларов и возрос на 35,4%.
Основные статьи экспорта: продукты неорганической химии, метанол, удобрения, пластмассы и изделия из них, синтетический каучук, нити нейлоновые, черные металлы, ферросплавы; краны, клапаны, вентили для трубопроводов; двигатели, генераторы электрические; инструменты, аппараты оптические. Более 70% экспорта области приходится на химические товары и металлы.
Основные статьи импорта: кукуруза, органические химические соединения, корма для животных, солод, моющие и чистящие средства, пластмассы и изделия из них; бумага, картон; насосы жидкостные, машины специального назначения, двигатели и генераторы электрические.
Партнерство со странами дальнего зарубежья. Основные торгово-экономические партнеры — страны Европы, на долю которых ежегодно приходится более 50% внешнеторгового оборота области. На европейском рынке представлен практически весь спектр товаров тульских предприятий. Наиболее активно развивается сотрудничество с Германией, Италией, Нидерландами, Чехией.
Около трети всей экспортируемой областью продукции поставляется в азиатские страны. Основные торговые партнеры этого региона — Индия, Китай, Турция, Сирия, Республика Корея.
Торгово-экономический партнер на американском континенте — Соединенные Штаты Америки, удельный вес которых во внешнеторговом обороте области составляет ежегодно 4-5%.
В последние два года постепенно наращиваются объемы торговли со странами Африки.
Партнерство со странами СНГ. В 2007 г. торговый оборот региона со странами СНГ составил 257,7 млн. долларов и увеличился на 8,2%. На этом рынке работают более 70 тульских предприятий. Традиционно основными партнерами Тульской области являются Украина, Белоруссия, Казахстан.
Инвестиционный потенциал Тульской области определяется выгодным географическим положением, политической стабильностью, разнообразием типов промышленного производства, значительным научно-техническим потенциалом, развитой транспортной сетью. В регионе создана база данных инвестиционных проектов, субъекты инвестиционной деятельности получают государственную поддержку.
На протяжении 2002-2007 гг. в экономике области наблюдалось усиление инвестиционной активности и, как результат, увеличение объемов инвестиций в основной капитал. Общий объем иностранных инвестиций, поступивших в 2007 г., составил 235,6 млн. долларов США и возрос по сравнению с 2006 г. в 2,7 раза. Инвестиционный рост произошел за счет портфельных инвестиций (в производство и распределение электроэнергии) и прочих кредитов (в производство пищевых продуктов и химическое производство).
В общей структуре инвестиций в основной капитал за данный период по видам экономической деятельности наибольший удельный вес заняли обрабатывающие производства (38,7%), операции с недвижимостью (16,5%), строительство (9,9%), сельское хозяйство (9,5%), распределение электроэнергии, газа и воды (7,9%), а среди обрабатывающих производств — химическая (49,2%), производство пищевой продукции (20,2%), металлургическое производство (17,1%).
Сформировавшийся в Тульской области благоприятный деловой климат позволил целому ряду зарубежных инвесторов разместить на ее территории новые высокоэффективные производства. В 2007 г. основными инвесторами выступали фирмы Германии (46,7% поступлений), США (32,5%), Швейцарии (10,7%) и Кипра (9,2%). В регионе прочно обосновались корпорации с мировой известностью: «Проктер энд Гэмбл», «Кнауф», «Каргилл», «Юниливер» и другие. Их высокодоходный бизнес служит показателем доверия со стороны зарубежных партнеров. Инвестиции мощных российских компаний «Сибур», «Татнефть», «Балтика» позволили развить производство на крупных предприятиях — Ефремовском заводе СК, Узловском заводе «Пластик», Тульском пивкомбинате.
ЗАКЛЮЧЕНИЕ
Рынок как социальная форма организации экономики, с одной стороны, вызывает в человеке активность (предприимчивость), а с другой порождает социальное расслоение населения, безработицу, не всегда управляемый рост цен. Вот почему крайне необходимы культура экономики, культура рынка и соответствующее развитие их субъектов. Поэтому программа экономических реформ должна учитывать эти моменты и отражать определенную логику и следующие элитные задачи формирования рыночной экономики :
1) разгосударствление экономики, приватизация, развитие предпринимательства; поиск и использование резервов и возможностей;
2) формирование рынка и его инфраструктуры, установление хозяйственных связей рыночного типа и становление новых мотивационных механизмов развития предпринимательства;
3) демонополизация экономики и устранение организационных структур, сложившихся в рамках административно-командной системы и препятствующих развитию рынка;
4) постепенное ограничение государственного контроля над ценами, переход к свободному ценообразованию;
5) осуществление жесткой кредитно-денежной и финансовой политики, направленной на ограничение денежной массы в обращении;
6) создание сильной системы социальных гарантий и поддержки населения, облегчающей людям адаптацию к условиям рыночной экономики;
7) осуществление активной структурно-инвестиционной политики, которая, опираясь преимущественно на экономические методы, обеспечила бы необходимые структурные сдвиги в народном хозяйстве в направлении социальной переориентации.
Таким образом, экономические реформы должны быть «настроены» на человека, на удовлетворение его потребностей, развитие его личности.
Уровень зарегистрированной безработицы (1,2%) в полтора раза ниже среднего по стране, показатели напряженности рынка труда минимальны (1,5 безработных на одну вакансию), а в Туле вакансий больше, чем зарегистрированных безработных (0,6). Эти данные не вполне адекватно отражают ситуацию на областном рынке труда, хотя вполне точно указывают на структурный характер безработицы. Еще одна особенность — рост доли зарегистрированных безработных, проживающих в сельской местности (с 9% в 2005 г. до 14,4% в 2007 г.). По муниципалитетам различия в уровне зарегистрированной безработицы невелики: от 0,8% в Туле до 2,0% в Кимовском и Плавском районах.
Администрацией Тульской области разработана программа «Охрана и воспроизводство биоразнообразия ихтиофауны Тульской области» на 2002-2015 гг., в рамках которой проводятся широкомасштабные работы по зарыблению естественных водоемов области мальками карпа, карася, сазана, белого и черного амуров, белого и пестрого толстолобиков, стерляди. В 2007 г. из областного бюджета на эти цели выделено 300 тыс. рублей.
В общей структуре инвестиций в основной капитал за данный период по видам экономической деятельности наибольший удельный вес заняли обрабатывающие производства (38,7%), операции с недвижимостью (16,5%), строительство (9,9%), сельское хозяйство (9,5%), распределение электроэнергии, газа и воды (7,9%), а среди обрабатывающих производств — химическая (49,2%), производство пищевой продукции (20,2%), металлургическое производство (17,1%).
СПИСОК ИСПОЛЬЗУЕМОЙ ЛИТЕРАТУРЫ
1. Бабич А.М., Павлова Л.Н. Финансы: Учебник. – М.: Юнити-Дана, 2006. – 687 с.
2. Борисов Е.Ф. Экономическая теория: Курс лекций для студентов; высших учебных заведений. - М., 2003. – 587с.
3. Булатов А.С. Экономика. - М.: БЕК, 2003. - 502.с.
4. Деева А.И. Финансы. - М.: Экзамен, 2004. - 654с.
5. Дробозиной Л.А. Финансы: Учебник для вузов. – М.: Финансы, 2005. – 527 с.
6. Жуков Е.Ф. Экономическая теория: Учебник для вузов. - М.: Банки и биржи, ЮНИТИ, 2004. - 421с.
7. Казаков А.П., Минаева Н.В. Экономика: Учебный курс. - М.: БЕК 2005. – 365с.
8. Козырев В.М. Основы современной экономики. Учебник. - М.: Экономика, 2005. – 541с.
9. Косой А.В. Экономика. - М.: Деньги и кредит, 2004. - 318с.
10. Мешкова В.Я. Экономика. - М.: Финансы, 2004. - 498с.
11. Мысляева И.Н. Государственные и муниципальные финансы. - М.: Инфра-М, 2003. - 514с.
12. Поляк Г.Б. Финансы. - М.: Экономика и финансы, 2003. - 369с.
13. Родионова В. М. Финансы. - М.: Финансы и статистика, 2005. – 440с.
14. Жуков Н.О. Социальная политика РФ// Экономика и жизнь, 2007. - №06. - с.11 - 14
15. Кашепов А.В. Рынок труда в России: регулирование, прогнозы.// Экономист. – 2007. - №3. – с.96-102
16. Кашепов А.В. Российский рынок труда: проблемы формирования, перспективы. //Общество и экономика. - 2007. -№78. – с.107-109
17. www.71r.ru
18. www.gks.ru
19. www.government.ru
20. www.rbc.ru
21. www.ress.ru
Похожие работы
-
Эволюция межбанковских расчетов
Расчеты, основанные на установлении двусторонних корреспондентских отношений. Расчеты через централизованные корреспондентские счета.
-
Экономическое равновесие и его цикличность
Рыночная экономика развивается циклический. Экономический цикл образуют периодические колебания общей экономической активности. Экономический рост изменяется спадом производства, процветания — кризисом и депрессией. Циклические колебания являются синхронными, происходят с постоянной последовательностью в четко очерченных временных границах.
-
Основные принципы государственного регулирования инвестиционной деятельности региона
Существуют различные подходы к проблеме регулирующего воздействия на инвестиционный процесс на региональном уровне, которые принципиально отличаются позицией относительно роли и места государственных органов управления в рыночной экономике.
-
Социально-экономическая сущность бюджета 2
Лекция 1 15.02.11 Тема 1: Социально-экономическая сущность бюджета. Вопрос 1. Теоретические основы общественных финансов. Финансы - система экономических отношений по поводу формирования и использования централизованных и децентрализованных фондов денежных средств в процессе распределения и перераспределения ВВП и НД для решения социальных, экономических и политических задач.
-
Рынок сущность, функции, структура, достоинство и недостатки рыночной экономики
Московский Государственный Строительный Университет Реферат на тему: Рынок: сущность, функции, структура. Достоинство и недостатки рыночной экономики.
-
Анализ мотивации труда 2
ВВЕДЕНИЕ ГЛАВА 1. ТЕОРЕТИЧЕСКИЕ ПОДХОДЫ К ИЗУЧЕНИЮ МОТИВАЦИИ ТРУДОВОЙ ДЕЯТЕЛЬНОСТИ 1.1 Сущность понятия мотивация 1.2 Система мотивации персонала предприятия
-
Понятие и элементы финансовой системы
Финансы - это экономические отношения, возникающие в процессе распределения, перераспределения в денежной форме части стоимости национального продукта, создания и использования на этой основе денежных фондов.
-
Финансы и финансовая система. Государственный бюджет и государственный долг
Введение Данная курсовая работа посвящена изучению финансовой системы, государственного бюджета и государственного долга. Актуальность данной темы заключается в том, что надежная финансовая система является стержнем в развитии и успешного функционирования рыночной экономики и необходимой предпосылкой роста и стабильности экономики в целом.
-
Цели, задачи и функции маркетинга
Маркетинг — это новая предпринимательская философия. Распределительный маркетинг. Функциональный маркетинг. Управленческий маркетинг.
-
Основы рыночной экономики
Чистый капитализм. Частная собственность. Свобода предпринимательства и выбора. Роль личного интереса. Конкуренция.
