Название: Автоматизація управління запасами торгівельного підприємства
Вид работы: дипломная работа
Рубрика: Экономика
Размер файла: 1.94 Mb
Скачать файл: referat.me-385426.docx
Краткое описание работы: Міністерство освіти і науки України Київський інститут міжнародної економіки та підприємництва Факультет Міжнародної економіки (Економічний, Економічної кібернетики, Заочний)
Автоматизація управління запасами торгівельного підприємства
Міністерство освіти і науки України
Київський інститут міжнародної економіки та підприємництва
Факультет Міжнародної економіки (Економічний, Економічної кібернетики, Заочний)
Кафедра міжнародної економіки (економіки підприємства; обліку та аудиту; економічної кібернетики)
Спеціальність: 6.050100 “Міжнародна економіка” (6.050100 “Економіка підприємства”, 6.050100 “Облік та аудит”, 6.050100 “Економічна кібернетика”)
ДОПУСТИТИ ДО ЗАХИСТУ:
Завідувач кафедрою
_______________________
“___” ____________ 20__р.
БАКАЛАВРСЬКА РОБОТА
ТЕМА: Автоматизація управління запасами торгівельного підприємства
Розробив(ла):
Керівник:
Київ–2008
Зміст
Вступ
Розділ 1. Сутність управління запасами в комерційній діяльності торгово-посередницького підприємства
1.1 Задача управління запасами в комерційних підприємствах на сучасному етапі розвитку економіки та наукових досліджень
1.2 Стратегія комерційної діяльності підприємств в галузі управління запасами
1.3 Принципи оптимізації управління запасами в комерційній діяльності торгово-посередницьких підприємств
1.4 Висновки розділу 1
Розділ 2. Комерційна діяльність торгового підприємства «Монолит Пласт» і оптимізація задач підприємства в галузі управління запасами
2.1 Аналіз комерційної діяльності ПП «Монолит Пласт» по оптовим закупкам та збуту сантехнічної продукції
2.2 Загальна постановка задачі управління запасами підприємства ПП «Монолит Пласт» (АВС+XYZ – методологія)
2.3 Оцінка ефективності впровадження проектів автоматизації управління запасами ПП «Монолит Пласт» на базі сполучення АВС та XYZ – аналізів
2.4 Висновки розділу 2
Висновки
Список використаних джерел
Додатки
Вступ
З того моменту, як суспільство пішло від планової економіки й вступило в ринкові відносини умови функціонування підприємств повністю змінилися, тобто щоб вижити, підприємству необхідно проявляти ініціативу, заповзятливість й ощадливість для того, щоб підвищити ефективність
Актуальність досліджень товарної політики та методів управління запасами на торгівельному підприємстві полягає в тому, що в даний час лише деякі торговельні фірми відносяться до формування асортиментної, цінової і збутової політики так серйозно, як це написано в більшості видань. Це дає їм певні переваги – знати ринок, з найбільшою імовірністю пророкувати поведінку попиту, завойовувати покупців і ін. Здобуваючи, таким чином, фінансову міць такі підприємства є серйозною перешкодою на шляху розвитку дрібних оптових фірм, у результаті чого дрібні фірми, що працюють у близькому сегменті, змушені знаходити обхідні шляхи.
Метою роботи є оптимізація управління товарним асортиментом та ефективністю комерційної діяльності підприємства ПП «Монолит Пласт» з використанням автоматизованих систем аналізу асортименту продаж та прогнозу оптимального відновлення торгових запасів.
Для досягнення поставленої мети необхідно вирішити наступні завдання: вивчити теоретичні питання по організації й оцінки ефективності комерційної діяльності на підприємстві, а також розглянути основні шляхи вдосконалення управління запасами в комерційній діяльності підприємства.
Об'єктом дослідження є підприємство – ПП «Монолит Пласт» (Дніпропетровськ).
Предметом дослідження є методологія управління запасами в комерційній діяльності торгівельного підприємства й способи її удосконалення.
Представлена робота складається із двох частин. У першій розглянуті теоретичні питання сутності та алгоритмів управліня запасами в комерційній діяльності торгівельного підприємства. У другому розділі виконана економічна діагностика діяльності підприємства та методи управління запасами, які використаються на вивченому підприємстві. Проаналізована необхідність додаткової автоматизації й представлений проект проведення АВС+XYZ-аналіза товарних асортиментів для оптимізації програми закупок товарних груп продукції згідно статистичним тенденціям попередніх років.
Методи досліджень : проведення горизонтального(індексно-хронологіч-ного) та вертикального(структурно-хронологічного) аналізу балансу та фінансової звітності підприємства, аналіз фінансових коефіцієнтів, структурний аналіз товарної номенклатури та її класифікація.
Інформаційно-методологічна база досліджень — фінансово-статистичні щорічні документи ПП «Монолит Пласт» за 2005-2007 роки та поквартальні журнали реалізації товарів за 2005 – 2007 роки.
Практична цінність отриманих результатів дипломного дослідження полягає в тому, що отримані результати висновків та прогнозів автоматизо-ваної системи управління запасами, побудованої на детальному управлінні асортиментними групами товарів, дозволяють ефективно прогнозувати подаль-ші розвиток високоризикованої діяльності ПП «Монолит Пласт» з викорис-танням алгоритмів керівництва закупками асортиментних груп товарної номен-клатури продукції згідно матриці результатів спільного АВС-XYZ –аналізів.
Розділ 1. Сутність управління запасами в комерційній діяльності торгово-посередницького підприємства
1.1 Задача управління запасами в комерційних підприємствах на сучасному етапі розвитку економіки та наукових досліджень
Комерція – це торгівля, тобто всякий збут товарів, як вид промислу, незалежно від того, чи вироблені вони особою, що збуває, або придбані у інших осіб.
Комерційна діяльність – діяльність, направлена на отримання комерційного прибутку [22, c.12]. Це підприємницька діяльність у сфері торгівлі, посередництва, товарно-грошових і суто фінансових операціях. Поняття комерційна діяльність ширше за поняття торгова діяльність і містить у собі економічне утримання відносин товаровиробників, товарообміну, регульованих у законодавчому порядку [21, c.27].
Комерційна діяльність - широке й складне поняття. Це комплекс прийо-мів і методів, що забезпечують максимальну вигідність будь-якої торговельної операції для кожного з партнерів при врахуванні інтересів кінцевого спожи-вача.
Головна мета комерційної діяльності – одержання прибутку через задо-волення купівельного попиту при високій культурі торговельного обслугову-вання. Ця мета рівною мірою важлива як для організацій і підприємств, так і для окремих осіб, що здійснюють операції купівлі-продажу на ринку товарів і послуг .
Зміст основ комерційної діяльності включає такі напрямки:
− закупівля матеріально-технічних ресурсів промисловими підприємствами й товарів оптово-посередницькими й ін. торговельними підприємствами;
− планування асортиментів і збуту продукції на промисловими підприємствами;
− організація збуту продукції підприємствами – виготовлювачами;
− вибір найкращого партнера в комерційній діяльності;
− організація оптового продажу товарів і комерційне посередництво;
− роздрібна торгівля, як форма комерційно-посередницької діяльності.
Комерційні відносини можуть розвиватися в умовах економічної волі суб'єктів ділових відносин, що припускає володіння капіталом й уміння управляти фінансами. Так само, це передбачає орієнтацію на витяг максимально можливого для складних умов прибутку й найбільш вигідні способи її капіталізації, уміння управляти комерційним ризиком, формування таких організаційних структур комерції, які здатні пристосовуватися до мінливих умов, сприйнятливість до змін у потребах ринку, повна рівноправність партнерів. У той же час не можна вважати економічною волею в комерційній діяльності повну незалежність від інтересів і дій суб'єктів ринку, оскільки в ряді випадків для досягнення яких-небудь стратегічних цілей необхідний компроміс із діловими партнерами. Крім того, воля комерційних взаємин може обмежуватися умовами зовнішнього середовища, комерційною таємницею й іншими об'єктивними факторами.
Для досягнення поставлених задач необхідно керуватися наступними основними принципами:
− нерозривний зв'язок комерції із принципами маркетингу;
− гнучкість комерції, її спрямованість на облік постійно мінливих вимог ринку;
− уміння передбачати комерційні ризики;
− виділення пріоритетів;
− прояв особистої ініціативи;
− висока відповідальність за виконання прийнятих зобов'язань по торговельних угодах;
− націленість на досягнення кінцевого результату - прибутку.
Виділення пріоритетів у комерційній діяльності не менш важливо, ніж у виробництві. Реалізація цього принципу припускає постійне вивчення й знання всіх деталей комерційної діяльності.
Згідно стандарту [6] запаси – це активи підприємства, які:
- утримуються для подальшого продажу за умов звичайної господарської діяльності;
- перебувають у процесі виробництва з метою подальшого продажу продукту виробництва;
- утримуються для споживання під час виробництва продукції, виконання робіт та надання послуг, а також управління підприємством.
Запаси визнаються активом, якщо існує імовірність того, що підприємство отримає в майбутньому економічні вигоди, пов'язані з їх використанням, та їх вартість може бути достовірно визначена.
Для цілей бухгалтерського обліку запаси включають:
- сировину, основні й допоміжні матеріали, комплектуючі вироби та інші матеріальні цінності, що призначені для виробництва продукції, виконання робіт, надання послуг, обслуговування виробництва й адміністративних потреб;
- незавершене виробництво у вигляді не закінчених обробкою і складанням деталей, вузлів, виробів та незакінчених технологічних процесів. Незавершене виробництво на підприємствах, що виконують роботи та надають послуги, складається з витрат на виконання незакінчених робіт (послуг), щодо яких підприємством ще не визнано доходу;
- готову продукцію, що виготовлена на підприємстві, призначена для продажу і відповідає технічним та якісним характеристикам, передбаченим договором або іншим нормативно-правовим актом;
- товари у вигляді матеріальних цінностей, що придбані (отримані) та утримуються підприємством з метою подальшого продажу;
- малоцінні та швидкозношувані предмети, що використовуються протягом не більше одного року або нормального операційного циклу, якщо він більше одного року;
Відомо, що ресурси підприємства і вимоги рентабельної роботи деякою мірою обмежують маневрування як асортиментом товарів, так і цінами на них. Але саме орієнтація на попит покупців і його активне формування повинні виз-начати використання наявних ресурсів. Успішна реалізація товарів забезпечує ефективність роботи підприємства.
Таблиця 1.1
Система показників оцінки комерційної роботи підприємств торгівлі [14]
| Напрямок комерційної діяльності | Показник ефективності комерційної роботи |
| Асортимент товарів і його формування | Широта асортименту Глибина асортименту Коефіцієнт відновлення асортименту Коефіцієнт стійкості асортименту |
| Планування товарної пропозиції і забезпечення товарами | Індекс росту товарообігу Приріст (скорочення) часу обертання товарів Ступінь відповідності товарних запасів нормативові Індекс виконання плану закупівель Ступінь виконання договірних зобов'язань постачальниками Ритмічність надходження товарів по асортименті Коефіцієнт припустимого рівня якості товарів Індекс валового доходу |
| Формування і стимулювання попиту | Відповідність обсягу і структури товарної пропозиції обсягові і структурі купівельного попиту Ступінь відновлення асортименту Коефіцієнт завершенности покупки Обсяг і структура незадоволеного попиту Рентабельність рекламних заходів |
| Економічна ефективність комерційної діяльності | Приріст валового доходу від комерційних операцій Приріст прибутку від комерційної діяльності Співвідношення доходів і витрат по закупівлі і реалізації товарів |
Серед інструментів управління запасами комерційної діяльності торго-вельного підприємства асортиментна політика займає особливе місце.
Перший блок у системі оцінки комерційної діяльності — «Асортимент товарів і його формування» — складається з чотирьох показників. Коефіцієнт відновлення асортименту свідчить про розвиток і характер господарських зв'яз-ків торгівлі як з вітчизняними, так і закордонними партнерами, а також про ро-боту підприємств по відновленню асортименту. Коефіцієнт стійкості асорти-менту характеризує видовий склад пропонованих товарів у товарній групі (під-групі). Цей блок особливо важливий для оцінки роботи підприємств, що реалі-зують товари передбаченого асортиментного переліку.
У ринковій економіці формування асортименту є прерогативою самих торговельних підприємств. В основу діючих у магазинах асортиментних пере-ліків покладена виробничо-технічна ознака угруповання товарів, що не дозво-ляє з достатньою повнотою врахувати комплексність попиту, взаємну допов-нюваність товарів, сезонні особливості розвитку попиту й інші умови.
Другий блок показників — «Планування товарної пропозиції і забез-печення товарами» — складається з восьми показників, що відбивають плано-ваний ріст товарообігу підприємств, зміна в його структурі на основі товарної пропозиції, обсяг планованого валового доходу, товарних запасів, товарообо-ротність, якість товару. Ці показники складають основу планів закупівлі това-рів, вибору постачальників, визначення умов постачання, асортименту, термі-нів, партіонности постачання, цін і розрахунків з постачальниками і т.д. Чим вище індекси цих показників, тим ефективніше господарські зв'язки. Тут зна-чення мають долгосрочность, ступінь сталості господарських зв'язків і, особ-ливо, виконання договірних зобов'язань.
Групу показників третього блоку — «Формування і стимулювання по-питу» — доцільно використовувати при оцінці відповідності обсягу і структури попиту товарній пропозиції. Пропоновані показники розраховуються по під-приємству виходячи з асортименту, його широти, даних про попит населення і факторів, що впливають на ступінь завершенности покупок.
Це напрямок комерційної діяльності нерозривно зв'язано з блоками, що характеризують планування товарної пропозиції і формування асортименту то-варів. Саме в результаті пропозиції товарів споживачеві формується попит, а в результаті аналізу попиту населення здійснюється закупівля товарів і визна-чається асортиментна і цінова політика. У цьому блоці важливе місце належать рекламній роботі торговельних і виробничих підприємств.
Четвертий блок — «Економічна ефективність комерційної діяльності» — характеризує результативність керування комерційною роботою як конкрет-ного підприємства, так і сукупності підприємств на визначеній території. Ці по-казники завершують і узагальнюють оцінку комерційної діяльності.
Економічну эффективность комерційної діяльності варто оцінювати за економічними результатами, що характеризує роботу підприємства в цілому: узагальнюючим економічним показникам (товарообіг, витрати, прибуток, ціни); показникам використання ресурсів (вироблення, товарооборотність); якості торговельного обслуговування (широта, стійкість і відновлювальність асорти-менту); якості товарів.
Ефективність керування торгівлею оцінюється насамперед з позиції якос-ті торговельного обслуговування і рентабельності підприємств. Складової ефек-тивності керування багато в чому залежать від організації комерційної діяльн-ості і її результатів, тому що при здійсненні комерційних операцій формуються товарообіг, доходи підприємства, асортимент товарів, перевіряється їхня якість.
Оцінка ефективності комерційної діяльності підприємств необхідна при плануванні господарської діяльності, виявленні причин невиконання планових завдань, вишукуванні резервів підвищення ефективності роботи підприємства, визначенні стратегії його розвитку. Оцінка комерційної діяльності дає предс-тавлення про адаптацію підприємства до ринкових умов, дозволяє не тільки виробити стратегію і тактику поводження торговельних підприємств, але і під-вищити ефективність керування ними на рівні території. Її застосування дозво-ляє суб'єктам визначати слабкі і сильні сторони торговельної діяльності і скон-центрувати всі умови на напрямках, що є найбільш перспективно-дохідними.
За нестабільного економічного середовища, несвоєчасного виконання прийнятих рішень, помилок в обґрунтуванні оптимального рівня планів тощо виникає істотний (навіть катастрофічний) рівень ризику. У зв’язку з цим ме-неджерам доцільно вживати відповідних заходів, створюючи резервні фонди (фонди ризику) для страхування несприятливих наслідків, зниження ступеня ризику.
Управління запасами пов’язане з проблемою досягнення оптимальної рівноваги між двома конкуруючими чинниками: мінімізацією капіталовкладень у запаси та максимізацією рівня надійності обслуговування споживачів продук-цією даного підприємства.
До запасів, крім предметів і продуктів праці, належать запаси виробничих потужностей, основних фондів і оборотних коштів, незавершене будівництво, кваліфіковані кадри тощо.
Матеріальні запаси можна умовно розподілити на три види [13]:
1. Перший вид — страховий запас готової продукції на складі, призна-чений для компенсації коливань попиту на ринку. Враховуючи, що ринок у на-шій країні перебуває в стадії формування і характеризується суттєвими і важко передбачуваними коливаннями попиту, підприємства (фірми) змушені форму-вати страхові запаси готової продукції для компенсації цих коливань, тобто для зниження ступеня ризику. Запаси позитивно впливають на стимулювання попи-ту, оскільки дилери впевнені, що в будь-який момент вони швидко одержать необхідний обсяг певного товару. Проте необхідно враховувати і негативний вплив запасу на фінансовий стан фірми (підприємства), бо в запасах підприєм-ство фактично «заморожує» частину засобів, вилучаючи їх з обороту.
Другий вид — страховий виробничий запас сировини, матеріалів і комп-лектуючих виробів.
Під страховим виробничим запасом розуміють запас, призначений для запобігання ризику раптової зупинки виробництва внаслідок несвоєчасної дос-тавки сировини, матеріалів і комплектуючих виробів.
Обсяг цього запасу залежить лише від того, наскільки гарантованим і ста-більним є забезпечення підприємства.
Третій вид — динамічний виробничий запас, що являє собою запас мате-ріалів і комплектуючих виробів, який формується з певною періодичністю і в певних обсягах.
Головною метою створення динамічно формованих запасів є зниження прямих виробничих затрат (збитків) при стабільному забезпеченні виробництва необхідним обсягом сировини, матеріалів і комплектуючих виробів.
На ефективність формування запасів впливають два різноспрямованих випадкових чинники: зростання вартості матеріалів і комплектуючих виробів (інфляція на змінні затрати); зростання вартості капіталу (оборотних засобів).
Якщо придбати матеріали і комплектуючі в запас на всю виробничу прог-раму, скажімо на початок року, і використовувати їх у виробництві продукції за «старими» цінами, то в запасах будуть «заморожені» великі кошти, попит на які вимагатиме одержання кредиту в банку під значний відсоток. Необхідність обс-луговувати цей борг значно збільшить загальні (постійні) витрати, котрі можуть бути обтяжені значним ризиком.
Отже, важливо об’єктивно оцінити стратегію формування запасів, вико -ристовуючи їх обсяги і періодичність поповнення як змінні параметри.
Різновиди задач управління запасами та їх складність зумовили створення великої кількості математичних моделей, ефективне використання яких немож-ливе без застосування економіко-математичних методів та ЕОМ. Моделі управ-ління запасами відрізняються багатьма компонентами залежно від характеру змі-ни величин, що до них входять. Найістотнішим чинником, що його необхідно враховувати при розробці моделей управління запасами, є час. Статичні моделі управління запасами лише наближено відповідають реальним умовам. Більш точний розв’язок може бути одержаний на базі використання динамічних моде-лей, що враховують час та відповідні залежності. Слід зазначити, що в багатьох моделях управління запасами одним з головних припущень є те, що, наприклад, попит є заздалегідь відомою детермінованою величиною. Однак в переважній більшості реальних задач попит є випадковою величиною, розподіл імовірності якої може бути як відомим, так і невідомим. У зв’язку з цим виникає економічний ризик, зумовлений невизначеністю, стохастичністю щодо величини попиту.
Величина ризику може бути визначена як відхилення потреб у запасах від середньої (сподіваної) величини.
1.2 Стратегія комерційної діяльності підприємств в галузі управління запасами
Для більш ефективного визначення необхідних обсягів товарно-матеріальних запасів вітчизняним підприємствам доцільно взяти на озброєння досвід зарубіжних фірм, що полягає в складанні моделі найекономічнішого обсягу замовлень, створенні комп'ютеризованої системи управління запасами.
Оптимальне управління запасами полягає у виборі таких обсягів і моментів на поповнення запасів, щоб сумарні витрати на організацію системи постачання набували мінімального значення.
Вибір стратегії управління запасами, який є найбільш відповідальним моментом при складанні математичних або імітаційних моделей, повинен грун-туватися на ретельному аналізі систем постачання та реалізації. Вирішення за-дачі управління запасами спочатку слід знаходити у просторі стратегії управ-ління, а потім, згідно з вибраною стратегією – у просторі її параметрів [18].
Вивчення та аналіз літературних джерел і практичних розробок з даної проблематики показує, що на даний час розглянуто і досліджено значну кількість моделей управління запасами, які, однак, не вичерпують всієї множини можливих варіантів. Таке різноманіття моделей управління запасами, що відображає можливі варіанти виробничих ситуацій, не завжди дає змогу використовувати готові рішення, а спонукає формулювати нові постановки задач управління запасами й розробляти для їх реалізації обчислювальні методи, зокрема, за допомогою засобів імітаційного моделювання.
Стратегія управління запасами в комерційній діяльності торгівельного підприємства спирається на моніторинг оптимального рівня накоплення товар-ної продукції для реалізації для систем з нестійким попитом на реалізуємі товари, що характерно в умовах ринкової економіки.
Імовірнісний характер керованої системи, викликаний нестійкістю попи-ту, а також вимоги до стабільності ряду показників і наявність певних можли-востей маневрування зумовлюють необхідність дослідження адаптивних влас-тивостей рівня реалізації. 3 метою покращення техніко-економічних показни-ків використовують резерви продукції та ресурсів. Розрізняють два види ма-теріальних резервів:
- прямі резерви, що являють собою запас (надлишок) матеріальних ресурсів, які є особливо дефіцитними при коригуванні рівня продаж;
- непрямі резерви, що являють собою такий обсяг допоміжних матеріаль-них ресурсів, узгоджених з рівнем накоплення товарної продукції для реалі-зації, які необхідні для його утримання, транспортування та реалізації.
Для здійснення безперервного процесу товарного обігу необхідні певні запаси товарів. Товарний запас – це сукупність товарної маси, що знаходиться в сфері обігу і призначена для продажу. Товарні запаси виконують певні функції: забезпечують безперервність розширеного виробництва і обігу, в процесі яких відбуваються їхнє систематичне утворення і витрачання; задовольняють плато-спроможний попит населення, оскільки є формою товарної пропозиції; харак-теризують співвідношення між обсягом і структурою попиту і товарної пропо-зиції.
Необхідність утворення товарних запасів предметів споживання викликана наступними причинами: безперервністю процесів обертання; сезонністю виробництва і споживання; не рівномірністю розміщення виробництва і районів споживання; непередбаченими коливання попиту і ритму виробництва; необхідністю перетворення виробничого асортименту в торговий; необхідністю утворення страхових резервів, іншими причинами.
Товарні запаси класифікують по різноманітним ознакам. Так, в залежності від особливостей обігу є товарні запаси поточного зберігання, що призначені для задоволення повсякденної потреби торгівлі в безперебійному продажу товарів для населення, а також запаси товарів сезонного накопичування і дострокового завозу, що пов'язане з сезонністю виробництва і споживання окремих товарів, з умовами їх транспортування в окремі райони країни.
При обліку і плануванні товарних запасів використовуються абсолютні і відносні показники. Абсолютна величина товарних запасів може бути вислов-лена в натуральних або в вартісних одиницях. Абсолютна величина товарних запасів не постійна. Вона весь час змінюється в залежності від надходження і продажу товарів. Тому при аналізі і плануванні велике значення має спів став-лення товарних запасів із товарообігом. З цією метою товарні запаси познача-ються в днях. Цей показник – відносний, він характеризує величину товарного запасу, що знаходиться на підприємстві торгівлі на певну дату, і показує, на скільки днів торгівлі вистачить товарних запасів.
Товарні запаси в днях обороту обчислюються діленням абсолютної вели-чини запасів (на певну дату) на середньоденний товарообіг відповідного періоду [23]:
Vз = З * Т / О (1.1)
де Vз – рівень товарних запасів, дні обороту;
3 – сума товарних запасів;
О – обсяг товарообігу;
Т – число днів в періоді.
Розміри товарних запасів безпосередньо зв'язані зі швидкістю обігу това-рів. При незмінному обсязі товарообігу прискорення оборотності товарів приз-водить до зниження товарних запасів, і, навпаки, уповільнення оборотності вимагає більшої маси товарних запасів.
Швидкість обігу товарів або час, за який реалізуються товарні запаси, розраховується за формулою [23]:
Д = Зср *Т / О (1.2)
де Д – швидкість обігу товарів
Зср – середній товарний запас (розраховується як середня хронологічна)
О – об’єм товарообороту
Т – кількість днів в періоді
Швидкість обігу товарів може висловлюватися і числом оборотів [23]:
С = О / Зср або С = Т / Д (1.3)
де С – число оборотів;
О – обсяг товарообігу;
3ср – середній товарний запас;
Т – число днів в періоді;
Д – швидкість обігу товарів, дні.
Прискорення часу обігу товарів має велике значення - підвищує еконо-мічну ефективність всього суспільного виробництва, впливає на темпи відтво-рення, являючись водночас важливою умовою підвищення рентабельності торгової діяльності підприємства.
Оборотність товарів можна прискорити тільки за рахунок вдосконалення всієї торговельно-комерційної і економічної роботи підприємства. Це вимагає глибокого розуміння впливу різноманітних чинників на формування товарних запасів.
1. Фактори, що впливають на розмір товарних запасів та їх оборотність.
Величина товарних запасів і оборотність залежать від багатьох чинників. Одні з цих чинників прискорюють швидкість обігу товарів і завдяки цьому об'єк-тивно зменшують необхідну величину запасів, інші, навпаки, уповільнюють швид-кість товарного обігу і завдяки цьому збільшують розмір запасів. Знаючи це, мож-на виявити резерви прискорення оборотності запасів підприємства, знизити вит-рати на утворення і зберігання товарних запасів.
До основних чинників, які впливають на оборотність і величину товарних запасів, відносяться наступні.
Співвідношення між попитом і пропозицією товарів. В умовах, коли попит населення перевищує пропозицію товарів, різко прискорюється їхня оборотність, товарообіг здійснюється з меншими товарними запасами. По мірі збільшення пропозиції товарів, насичення ринку, спостерігається деяке уповільнення швидкості обігу товарів. Вивчення попиту населення – одне з умов, що сприяють нормалізації товарних запасів.
2.Складність асортименту товарів. Час обігу товарів складного асорти-менту, як правило, набагато перевищує час обігу товарів простого асортименту.
3.Організація і частота завозу товарів. Чим частіше завозяться товари в крамниці, тим з меншими товарними запасами можна виконати план товарообігу. В свою чергу частота завозу залежить від місцезнаходження торгових підприємств, умов транспортування, розміщення виробничих підприємств. Чим ближче розміщені промислові підприємства або оптові бази до районів споживання, тих частіше виробляється завіз товарів, тим менш часу витрачається на їхню доставку. Висока частота завозу характерна для товарів, що швидко псуються.
Споживчі властивості товарів. Вони або обмежують, або подовжують час обороту.
Ритмічність надходження товарів на протязі кварталу і місяця, порядок завозу товарів.
Існують два основних способи реалізації: робота на замовлення й робота на вільний ринок [24].
Робота на замовлення. При цьому способі підприємство працює на заздалегідь відомий ринок. Випуск продукції здійснюється відповідно до наявного портфеля замовлень, укладеними контрактами, підрядами й попередніми згодами про поставки виробленої продукції й надання послуг. Заздалегідь обговорюються строки, технічні характеристики товарів, обсяги поставок продукції, ціни.
Робота на вільний ринок. При цьому способі підприємство випускає продукцію на вільний ринок без заздалегідь установлених обмежень щодо кількісних і якісних характеристик товарів. Завдання реалізації товарів включають пошуки можливих ринків збуту (з огляду на їх географічне розташування), вибір конкретних форм реалізації, визначення припустимого рівня цін. Реалізація продукції на вільний ринок здійснюється через оптову й роздрібну торгівлю.
Маркетингова товарна політика – це комплекс заходів, у рамках якого один або кілька товарів використовують як основні інструменти досягнення цілей фірми [24].

Рис.1.1. Складники і цілі маркетингової товарної політики [24]
Рішення, які приймає компанія щодо маркетингової товарної політики:
- рішення щодо створення нових товарів (властивості, дизайн, марочна назва, упаковка, сервіс, гарантії, тощо);
- рішення щодо модифікації товарів;
- рішення щодо товарного асортименту (ширина, глибина);
- рішення щодо товарної номенклатури (ширина, глибина, насиченість, гармонійність);
- рішення щодо припинення випуску товарів.
Товарний асортимент – це група товарів, тісно пов'язаних між собою схожістю принципів функціонування, продажем одним і тим самим групам покупців, реалізацією через аналогічні канали збуту або належністю до одного й того самого діапазону цін.
Рішення щодо товарного асортименту стосуються сукупності марок пе-вного товарного асортименту. Чітких правил визначення товарного асортимен-ту не існує. Обсяг і структура асортименту характеризуються показниками: глибина і широта асортименту.
Глибина асортименту – кількість моделей, розмірів або відтінків смаку, кількість різновидів товару певного товарного асортименту.
Широта асортименту – різноманітність товару в асортименті (або кіль-кість асортиментних груп). Розширення товарного асортименту означає вихід за його межі, зазвичай у суміжні товарні категорії.
І під час поглиблення, і під час розширення асортименту головний ризик для компанії – "канібалізм". Нові марки, які зазвичай нічого не доповнюють нового, можуть призвести до такої ситуації, коли компанія почне зазнавати витрат, пов'язаних зі збільшенням асортименту, не збільшуючи продаж.
Компанії можуть пропонувати не одну, а кілька асортиментних груп товарів, які створюють товарну номенклатуру.
Товарна номенклатура – сукупність усіх асортиментних груп товарів і товарних одиниць, які компанія пропонує покупцям. Товарній номенклатурі компанії властиві чотири важливі характеристики: широта, насиченість, гли-бина та гармонійність [25].
Широта товарної номенклатури – кількість асортиментних груп, які випускає компанія.
Насиченість товарного асортименту – загальна кількість окремих товарів, які становлять асортимент.
Глибина товарної номенклатури – кількість варіантів виконання кожної торгової марки (товару) в межах асортиментної групи.
Гармонійність товарної номенклатури – ступінь схожості між товарами різних асортиментних груп з погляду їхнього кінцевого використання, умов виробництва, каналів розповсюдження або інших показників.
Характеристики товарної номенклатури можуть слугувати базовими орі-єнтирами для розробки стратегії товару. У компанії може бути чотири способи розширення діяльності: створення нових асортиментних груп товарів і таким чином розширення товарної номенклатури; компанія може розширити вже на-явні асортиментні групи, щоб отримати статус компанії з невичерпним асорти-ментом; компанія може збільшити кількість варіантів кожного з уже наявних товарів; компанія може прагнути більшої (або меншої) гармонійності товарів різних асортиментних груп.
Стратегія маркетингу марки або товарного асортименту змінюється впро-довж циклу життя товару, тобто стадій, які він проходить від розробки і появи на ринку до зростання, зрілості і занепаду. Життєвий цикл товару складається з п'яти чітко виражених етапів [27].
Розробка – упродовж цього періоду компанія знаходить і втілює в життя нову ідею. Тоді ж обсяг продажу дорівнює нулю, а обсяги інвестицій зростають разом із наближенням до завершальної стадії етапу.
Виведення на ринок починається з першої появи товару на ринку. Завоювання ринку потребує часу, тому обсяг продажу зростає повільно. Прибутки на цьому етапі від'ємні чи невисокі через незначний обсяг продажу чи високі витрати на маркетингові заходи. Витрати на просування товару порівняно високі, оскільки необхідно проінформувати покупців про новий товар і надати їм можливість випробувати його.
Зростання – якщо новий товар користується попитом, він переходить на етап зростання. Зростає обсяг продажу товару. На цьому етапі відбувається постійне зростання прибутку, оскільки витрати на просування співвідносяться з дедалі більшими обсягами продажу, а витрати виробництва на одиницю продукції знижуються. Головним завданням реклами стає не ознайомлення споживачів з товаром, а підтримка прихильності до товару та рішення про купівлю, в певний момент компанія може знизити ціну, щоб залучити нових покупців. На етапі зростання у компанії виникає необхідність шукати компроміс між великою часткою ринку та високим поточним прибутком. Витрачаючи великі кошти на вдосконалення товару, просування та розподіл, компанія може завоювати панівне становище на ринку. У цьому разі, однак, вона відмовляється від максимального поточного прибутку, сподіваючись повернути його на наступному етапі.
Зрілість – зростання обсягу продажу сповільнюється, оскільки основна маса потенційних покупців уже придбала товар. Рівень прибутку залишається незмінним чи знижується внаслідок збільшення витрат на маркетингові заходи, спрямовані на захист товару від конкурентів. Етап зрілості триває довше, ніж попередні етапи. Уповільнення темпів зростання обсягів продажу відбувається внаслідок появи багатьох виробників і великої кількості товару.
Занепад – зниження обсягів продажу та скорочення прибутків. Зменшення обсягів продажу може пояснюватися багатьма причинами, такими як технічний прогрес, зміна смаків споживачів, посилення конкуренції. Компанії можуть припинити свою діяльність на ринку після того, як обсяги продажу та прибутку почнуть зменшуватися. Ті, що залишаються, можуть скоротити бюджет просування, знизити ціни або відмовитися від менших сегментів ринку і другорядних каналів збуту. Підтримка слабкого товару може бути для компанії надто дорогою.

Рис.1.2. Зміна обсягів продажу та прибутку впродовж життєвого циклу товару
Позиція товару – це місце, яке займає певний товар у свідомості спожи-вачів порівняно з аналогічними конкуруючими товарами. Позиціювання товару – спосіб, відповідно до якого споживачі ідентифікують той чи інший товар за його найважливішими характеристиками. Позиція товару – це цілий набір пог-лядів, вражень і відчуттів, що формується у споживача під час порівняння пев-ного товару з товарами-конкурентами. Формування позитивного ставлення спо-живачів до товару компанії – наслідок дій її стратегії позиціювання. Особливе місце в цьому процесі займає політика маркетингових комунікацій. Наприклад, завдяки рекламі може бути створено певний імідж марки товару. Хоча престиж-ність товару підтримується також рівнем ціни, місцем продажу та ін. Вибір по-зиції товару повинен грунтуватися на реальних перевагах товару (послуги). Не-обхідно враховувати позицію, яку займають у певному сегменті ринку конку-ренти, а потім визначати найкращу позицію.
Конкурентні переваги – це сильні сторони товару. Споживачі можуть здійснювати позиціювання самостійно або за допомогою маркетологів. Проте маркетологи розробляють маркетингові програми для зайняття таких позицій, які б забезпечили товарам компанії найбільшу перевагу на визначеному цільовому ринку.
Маркетингова стратегія планування товарного портфелю підприємства охоплює наступні питання [22]:
- який товар вводять на ринок, за якою ціною і на якого споживача він розрахований;
- які умови необхідні для продажу товарів на запланованому рівні, через які канали й у яких обсягах буде проходити реалізація;
- якими засобами доцільно впливати на попит і стимулювання продажів;
- яким повинне бути сервісне обслуговування і хто буде його проводити;
- які будуть отримані результати і які для цього будуть потрібні витрати.
Основним фактором формування товарного портфелю виробничо-торго-вельного підприємства є асортимент продукції – сукупність її видів, різноманіт-ність та сортамент, які об’єднані конкретною ознакою [22].
Формування асортименту продукції на підприємстві є складним проце-сом, який здійснюється з урахуванням дії цілого ряду факторів. Ці фактори по-діляються на загальні та специфічні. До загальних факторів відносять спожив-чий попит та виробництво товарів. Специфічними факторами є умови товаро-постачання, чисельність та спеціалізація підприємств або склад населення, яке обслуговується, транспортні умови, наявність інших конкурентних підприємств в зоні діяльності.
Споживчий попит є основним фактором, який впливає на формування асортименту, і направлений на максимальне задоволення попиту споживача і разом з цим – на активний вплив на попит в сторону його розширення.
Формування асортименту та споживчий попит в своєму розвитку взаємо-зв’язані. Суттєві зміни в попиті повинні відбиватися в сформованому асорти-менті.
При формуванні асортименту продукції (товарів), враховуються деякі особливості попиту. Попит на непродовольчі товари менш стійкий ніж на про-довольчі товари, яким притаманна висока степінь стійкості, а в окремих випад-ках – консервативність. Споживач звикає до конкретних видів продукції, тому важливо досягнути стабільності в формуванні асортименту таких товарів, за-безпечуючи їх безперебійний продаж.
При формуванні асортименту товарів, треба враховувати фактор взаємної заміни. У випадку відсутності у продажі потрібного товару покупець, як прави-ло, не відкладає покупку, а буде шукати йому заміну.
На формування асортименту впливає також характер попиту. Розрізняють попит стійкий, альтернативний та імпульсивний.
Суттєвим фактором формування асортименту являється ціна товару. По-купець обов’язково визначає для себе граничну ціну, або діапазон цін в грани-цях якого він збирається заплатити за покупку. Тому одним із критеріїв раціо-нального формування асортименту продукції є забезпечення співставлення про-дукції з різною ціною.
Від складу та своєчасного оновлення асортименту продукції на підпри-ємстві, в значній мірі, залежить степінь задоволення попиту, витрати населення, які пов’язані з покупкою товарів, кількісні та якісні показники господарської діяльності підприємства. Відсутність в пропозиції окремих товарів, їх вузький, нестабільний або не відповідаючий запитам покупців асортимент, породжують незадоволений попит, збільшуючи витрати часу споживача на пошук необхід-ної продукції, негативно відбивається на економічній ефективності діяльності підприємства. Тому при формуванні асортименту товарів важливою вимогою являється максимальне задоволення попиту споживачів при мінімальних витра-тах часу на пошук та здійснення покупки і забезпечення найбільшої ефективної роботи підприємства.
Процес формування асортименту продукції (товару) складається з 3-х етапів.
На першому етапі фірма встановлює груповий асортимент продукції. Ця робота проводиться на основі маркетингових досліджень в області цільового ринку. В залежності від цього визначаються місце та роль підприємства в загальній системі цільового забезпечення та обслуговування споживача.
На другому етапі формування асортименту проводяться розрахунки структури групового асортименту, визначаються кількісні співвідношення ок-ремих груп товарів. Структура групового асортименту встановлюється з ура-хуванням того сегменті що займає підприємство, його територіальне розміщен-ня та багато інших факторів.
На третьому – заключному етапі визначається внутрішньогруповий асор-тимент, здійснюється підбір конкретних видів продукції в границях кожної гру-пи. Це найбільш відповідальний етап, і від того, наскільки вірно сформовано тут ассортимент продукції, залежить задоволення попиту покупців цільового ринку.
На кінцевому етапі робота по формуванню асортименту ведеться з ураху-ванням очікування змін в попиті споживача, а також виходячи із наявних ви-робничих потужностей, складських та торгових площ, розрахункових показ-ників товарообігу, контингенту споживачів що обслуговується та інших факто-рів.
Формування асортименту залежить від асортиментного переліку продук-ції підприємства. Отже, розробка кожним конкретним підприємством асорти-ментного переліку продукції та здійснення контролю за його дотриманням веде до кращого обслуговування споживачів цільового ринку та створення стійкого асортименту. У випадку виявлення відсутності в продажі товарів, які передба-чені асортиментом, підприємство повинно приймати міри по їх виготовленню та пред’явлення для реалізації споживачу.
Наявність асортиментного переліку дозволяє не тільки раціонально регу-лювати асортимент товарів, але і систематично контролювати його повноту та стабільність.
Формування товарного портфелю підприємства в умовах ринку пов’язана в основному, з трьома групами ризику: забезпеченням пропорції рівня попиту, тобто необхідністю виробництва та закупівлі тільки тих товарів, на які буде попит та які будуть реалізовані; оптимізацією товарних запасів (забезпеченням задоволення попиту через мінімальні товарні запаси); діяльністю конкурентів (досягнення переваг, які дозволяють підтримувати і розширювати частку ринку, завоювати нові сегменти ринку).
Впровадження маркетингових досліджень в діяльність підприємства пов’язано насамперед з використанням маркетингової інформації, що є осно-вою для ефективного управління формуванням асортименту товарів. Успішно реалізувати цю проблему дозволяє створення товарних систем на основі авто-матизації операцій торгово-технологічного процесу.
Автоматизована товарна система охоплює розрахунки із споживачами: аналіз руху товарів (закупку і реалізацію); ринкові дослідження кон’юктури ринку, товарів та споживачів; оцінку роботи виробничого персоналу та їх про-дуктивності. Ця система може також включати і виробництво товару (продук-ції), оскільки працює на зворотній зв’язок з виробництвом товарів.
Пошук шляхів підвищення ефективності управління формуванням товар-ного портфелю на підприємстві повинен проводитися по всіх її елементах.
Насамперед:
- вивчення ринку, торговельної кон’юнктури, прогнозування попиту на товари;
- вивчення та пошук можливих джерел закупки товарів (сировини або напівфабрикатів для виробництва);
- використання власних можливостей або створення додаткових джерел для поновлення товарних ресурсів;
- здійснення товарообмінних операцій;
- закупка товарів на біржах;
- проведення політики тактичного ціноутворення, яке залежить від попи-ту та пропозиції товарів;
- проведення рекламних заходів;
- застосування прогресивних форм реалізації товарів;
- сервісне обслуговування споживачів;
- використання кредитних ресурсів для розширення комерційної діяль-ності тощо.
1.3 Принципи оптимізації управління запасами в комерційній діяльності торгово-посередницьких підприємств
В розвинених країнах управління товарними запасами базується на використанні потужних інформаційних технологій, що дозволяють практично щодня спостерігати їхній стан і динаміку, автоматично здійснювати розміщення замовлень через комп'ютерну мережу і поповнювати запаси до оптимального рівня. Найбільш розповсюджені системи управління запасами, що засновані на використанні моделі EOQ, засобу червоної лінії, двохсекторного засобу. В останній час отримав розповсюдження метод управління запасами по принципу Just-In-Time. При цьому повнота і вірогідність інформаційної бази забезпечується за рахунок автоматизації обліку і використання міжнародної системи кодування товарів.
Загальний принцип, на якому засновані всі системи управління запасами - це взаємозв'язок вхідних і вихідних параметрів, що зазначені на схемі рис 1.3.
![]() |
Рис.1.3. Система управління запасами [13]
Такі системи створюються для найбільш ефективного рішення наступних проблем:
- Реальної оцінки поточного стану запасів;
- Встановлення необхідних термінів розміщення замовлень;
- Визначення доцільного обсягу партії товарів, що замовляється;
- Визначення необхідного обсягу страхових запасів;
- Оцінка витрат управління запасами і засобів їх мінімізації.
Перша проблема вирішується шляхом використання систем контролю рівня запасів, що забезпечують управлінські потреби оперативною інформацією про динаміку їхньої реалізації і поточного стану.
Системи контролю рівня запасів
Існуючі системи контролю рівня запасів варіюють від найбільш простих до достатньо складних в залежності від розміру підприємства, політики і технології менеджменту, обсягу, видів і інших особливостей запасів.
Однім з розповсюджених виглядів систем контролю рівня запасів є системи, засновані на застосуванні засобу червоної лінії. Суть засобу полягає в фіксації граничного кордону, нижче якого рівень запасів не повинен опускатися. При досягненні цього кордону відбувається автоматичне розміщення нового замовлення.
Другий тип систем контролю заснований на використанні двохсекторного засобу, в відповідності з яким запаси для зберігання містяться в двох секторах – робітничому і резервному. Коли запаси робітничого сектора вичерпані, включаються два процесу – поповнюється робітничий сектор за рахунок резервного, і розміщається нове замовлення.
Широке розповсюдження в розвинених країнах отримав класифікаційний підхід до управління запасами (ABC system). Його ідея полягає в використанні класифікації запасів і виділенні трьох груп – А, В, і С, в залежності від ступеня впливу даного виду запасів на зростання товарообороту підприємства. До групи А відносять запаси, реалізація яких вносить найбільший вклад в обсяг товарообороту в грошовому вираженні. До цієї групи відносяться запаси, що забезпечують 70% обсягу реалізації. Як правило, це найбільш дорогі товари, і їхня питома вага в обсязі запасів в натуральному вираженні не перевищує 10%. Запаси цього вигляду вимагають особливої уваги менеджерів і використання кількісних засобів і моделей для оптимізації прийняття рішень. До групи В відносять запаси середнього рівня важливості, що забезпечують 20% обсягу реалізації підприємства. Їхня питома вага в натуральному вираженні, як правило, складає біля 20%. Вибір засобів управління запасами групи В повинен бути заснований на зіставленні витрат на управління і економічного ефекту від їхнього використання. Товарні запаси, реалізація яких має незначний вклад в обсяг товарообороту, порядку 10%, відносять до групи С. Достатньо часто вони складають значну частину в обсязі запасів в натуральному вираженні, – біля 70%. До управління запасами групи С недоцільно застосовувати складні кількісні методи управління, бо при цьому, витрати на управління можуть бути більше економічного ефекту від їхнього використання. Принцип класифікації запасів на групи за їх важливістю для підприємства наведений в таблиці 1.2.
Таблиця 1.2
Класифікація запасів (АВС system) [15]
| Групи запасів | Доля в об'ємі товарообороту в грошовому вимірі | Доля в об'ємі запасів в натуральному вимірі | Чи варто використовувати складні кількісні методи управління |
| 1. Група А | 70% | 10% | Так. |
| 2. Група В | 20% | 20% | В деяких випадках. |
| 3. Група С | 10% | 70% | Не варто. |
Відносно новим підходом до управління запасами, є принцип управління Just-In-Time ("просто вчасно"). Цей підхід вперше був використаний японськими корпораціями, а після цього знайшов розповсюдження в всьому світі. Основна ідея полягає в тому, що запаси практичні не створюються, а процес доставки товарів постачальниками жорстко погоджений з технологічним процесом на підприємстві. В нинішній час такий підхід ефективно використовується компаніями Toyota, General Motors і багатьма іншими. Замовлення розміщуються з інтервалом 3-4 години і негайно реалізуються постачальниками. Ця система дозволяє отримати значний економічний ефект за рахунок доведення витрат зберігання до нуля. Однак, високий рівень вимог до точності функціонування системи постачань і ризик можливих помилок, що призведуть до порушенню технології, не дозволяє використати цей підхід в країнах з нерозвинутою інформаційною і комунікаційною інфраструктурою.
Управління більшістю торговельних компаній розвинених країн заснова-не на використанні комп'ютерної технології. Системи управління включають автоматизовану систему обліку запасів і розміщення замовлень у постачальни-ків. Рух кожної одиниці товарів, з допомогою магнітного штрихового кодуван-ня, відбивається в базі даних, що охоплює інформацію по всій торговій мережі компанії. Система управління базами даних дозволяє постійно оновлювати інформацію про стан запасів, при досягненні крапки замовлення, автоматично розміщувати замовлення через комп'ютерну мережу і враховувати інформацію про поповнення запасів. При цьому, інформація про реалізацію товарів надто-дить в систему управління товарними запасами, дебіторською заборгованістю і грошовими засобами і обробляється на основі вбудованого в систему модель-ного інструментарію.
Базова модель оптимального рівня запасів.
Ідея використання базової моделі EOQ (Economic Ordering Quantity), тобто, моделі оптимального рівня запасів, полягає в визначенні такого рівня запасів, підтримання якого мінімізує сукупні витрати на управління ними. При цьому, сукупні витрати розбиваються на три однорідні групи: витрати зберігання, витрати, пов'язані з формуванням запасів і витрати, що виникають внаслідок недоліку товарних запасів. В таблиці 3 більш детально подана ця класифікація, а також вплив, який здійснює збільшення рівня запасів на поведінку витрат кожної групи.
Зростання рівня запасів супроводжується збільшенням витрат зберігання в прямопропорційній залежності (пряма А на рис.1.4), бо росте обсяг капіталу, імобілізованого в запаси, складські витрати, витрати, пов'язані з старінням і псуванням товарів.

Рис.1.4. Залежність рівня витрат від обсягу товарних запасів.
На другу і третю групу витрат збільшення рівня запасів справляє протилежну дію і веде до їхнього зниження за рахунок ефекту економії від масштабу діяльності, використання оптових знижок постачальників, відвертання дефіциту товарних запасів і зниження рівня обслуговування клієнтів при коливаннях попиту. При цьому, темпи зниження витрат зменшуються з зростанням рівня запасів. Закон зменшення витрат управління запасами, які відносяться до другої і третьої групи, описується кривої гіперболічного вигляду (крива В на рис. 1.4).
Динаміка сукупних витрат, що є сумою витрат перерахованих груп, визначається двома протилежними тенденціями при збільшенні рівня запасів: одна складова цих витрат росте, інша – зменшується. Ефектом двох зустрічних процесів є характер поведінки сукупних витрат, що описується кривою С на рис.1.4. Їхня поведінка характеризується наявністю оптимальної крапки Q*, тобто, таким розміром запасів, при якому сукупні витрати досягають мінімального рівня. Якщо рівень запасів менш Q*, те збільшення їхнього обсягу веде до зниження сукупних витрат. Це досягається за рахунок того, що витрати зберігання ростуть повільніше, ніж зменшуються витрати другої і третьої групи. В крапці оптимального рівня запасів Q*, в якій лінії А и В перетинаються, темпи зміни витрат різноманітних груп врівноважуються, і сукупні витрати стають мінімальними. При подальшому збільшенні запасів, темпи зростання витрат зберігання перевищують темпи зниження витрат другої і третьої групи, і сукупні витрати зростають.
Таблиця 1.3
Класифікація витрат управління запасами.
| Види витрат | Характер поведінки витрат при збільшенні рівня запасів | |
1. Витрати зберігання запасів: 1.1. Витрати, зв'язані з іммобілізацією капіталу, що інвестувався в запаси. 1.2. Складські видатки. 1.3. Видатки по страхуванню. 1.4 Податок на майно. 1.5 Псування, старіння і крадіжки. II. Витрати пов'язані з формуванням запасів. 2.1. Витрати розміщення замовлень. 2.2. Транспортні видатки. III. Витрати пов'язані з дефіцитам запасів 3.1. Втрати обсягу реалізації. 3.2. Втрати від зниження гудвіллу. 3.3. Втрати від неоптимального використання цінових дисконтів, що надаються постачальниками. |
Ростуть Знижуються Знижуються |
|
В відповідності з моделлю EOQ, дослідження по якій вперше були проведені Фордом В. Харрісом в 1915 році, при розрахунку оптимального розміру запасів припускається виконання наступних основних допущень:
- Попит на товари відомий і на даному проміжку часу залишається постійним;
- Ціна закупки товарів у постачальників не залежить від обсягу закупок;
- Час постачання, тобто, час між розміщенням замовлення і надходженням товарів на склад відомий і є постійною величиною;
- При даному рівні запасів, витрати не змінюються в часу;
- Постачання товарів відбувається однаковими партіями в дискретні проміжки часу.
В рамках перерахованих допущень, процес формування і реалізації товарних запасів описується динамічною схемою, яка наведена на рис.1.5.
![]() |
Рис.1.5. Динамічна схема процесу формування і реалізації товарних запасів та графічна ілюстрація розрахунку крапки замовлення.
Крапки t1, t2, t3, …на тимчасової осі відповідають моментам постачання партії товарів,
Величина Q на осі ординат – обсягу наявних запасів. Кут нахилу прямих, що моделюють динаміку товарних запасів, відображає швидкість їхньої реалізації.
В моделі оптимального рівня запасів EOQ використовуються наступні позначки:
S – обсяг реалізації товарів в рік (в нат. од.),
N – кількість замовлень в рік,
Q – розмір одного замовлення,
(t2 – t1) – період реалізації партії товарів,
Q0 (або A) – середній розмір наявних запасів в течію періоду,
p – ціна закупки одиниці товару у постачальників,
C – середні витрати зберігання (в відсотках від вартості запасів).
Т1 – сукупні витрати зберігання,
F – витрати розміщення одного замовлення і його транспортування,
Т2 – сукупні витрати розміщення і транспортування запасів,
T – сукупні витрати управління запасами.
Розмір одного прогнозного замовлення визначається обсягом реалізації товарів в рік і к ількістю замовлень:
Q = S / N (1.4)
Середній розмір наявних запасів на протязі періоду t, де t = 360 / N, складає:
А = (Q+0) / 2=S / (2*N) (1.5)
Тоді, сукупні витрати зберігання можуть бути розраховані наступним чином:
Т1 = Ср * А = Ср* Q / 2 (1.6)
А сукупні витрати розміщення і транспортування:
Т2 = FМ = FS/Q (1.7)
В цьому випадку, сукупні витрати управління запасами визначаються співвідношенням:
Т = Т1+Т2=Ср* Q / 2+FS / Q (1.8)
Оптимальний рівень запасів Q*, що мінімізує сукупні витрати, є рішенням рівняння:
dT / dQ = Cp /2 – FS / Q2 = 0 (1.9)
Q2 = 2*FS / Cp
Після розрахунку оптимального рівня запасів, стає можливим визначення оптимальної кількості замовлень в рік (N*) і оптимальна кількість днів між замовленнями (t):
N*=S / Q* (1.10)
t*=365 / N*
Наступним важливим питанням є розрахунок крапки замовлення Q0, тобто, такого рівня запасів, після досягнення якого слід розміщувати замовлення.
Необхідність такого розрахунку обумовлена тим, що між розміщенням замовлення і отриманням товарів підприємством існує деякий проміжок часу, що називається періодом постачання. Якщо цей часовий період не враховувати, виникає небезпека перерв в реалізації товарів споживачам внаслідок незабезпечення підприємства товарними запасами.
Крапка замовлення розраховується, виходячи з співвідношення:
Q0 = tп q, (1.11)
де q – обсяг реалізації товарів в день, що називається коефіцієнтом попиту (Рис. 1.5)
Наведена базова модель EOQ є найбільш розповсюдженою і застосовується більшістю компаній розвинених країн в якості основи прийняття рішень по управлінню товарними запасами.
Недоліком цієї моделі є досить жорстка система вхідних передумов, в частковості, припущення про незмінність попиту, незалежності оптових цін від обсягу закуповуваної партії товарів і інші гіпотези. Ці припущення в реальній практиці, особливо в умовах нестабільної ринкової середи України, не завжди виконуються. Тому в кожному конкретному випадку, базова модель EOQ повинна бути доопрацьована в відповідності з зміною вхідних допущень. Далі розглядається відома модифікація моделі, що враховує можливі зміни попиту, а також модифікація, що дозволить зняти допущення про незмінність оптових цін.
Вхідна передумова моделі незмінності попиту на проміжку часу, що розглядається, зумовлює припущення, яке полягає в тому, що швидкість реалізації товарних запасів q залишається постійної:
q = Q/t = Q N / 365 = const (1.12)
На протязі періоду t: t = 365 / N
Цієї ситуації відповідає динамічна схема стану запасів, наведена раніше на рис. 1.5.
Якщо попит на товари зміниться, і швидкість реалізації запасів збільшиться, ця динамічна схема стає некоректною і не може адекватно відбивати реальні процеси. Виникає небезпека дефіциту запасів внаслідок несвоєчасного розміщення замовлення і більш пізнього постачання товарів, ніж це необхідно. Незабезпеченість запасами товарообороту, що зростає, веде до втрати прибутків і перерв в операційній діяльності, яка повинна мати безперервний, оптимально збалансований характер.
В силу цих причин виникає необхідність появи категорії страхових запасів (Qs), створення яких необхідно для захисту підприємства від втрат внаслідок вагань попиту, тривалості періоду постачання і інших факторів зовнішньої середи. При цьому, оптимізація обсягу страхових запасів повинна вирішити дилему для підприємства між прибутковістю і ризиком. Зростання страхових запасів веде до зниження ризику виникнення їхнього дефіциту і втрат прибутків від незабезпеченості запасами товарообороту, що зростає. З іншого боку, підтримання їх надмірно високого рівня тягне невиправдане зростання витрат зберігання. Таким чином, оптимальний рівень страхових запасів повинен забезпечувати стан динамічної рівноваги двох зустрічних процесів – втрата прибутків від дефіциту запасів і від їхнього надлишку.
Модифікація динамічної схеми стану запасів на проміжку часу, що розглядається, з урахуванням зміни швидкості їхньої реалізації, вказана на рис.1.6.

Рис. 1.6. Динамічна схема стану запасів з урахуванням зміни швидкості реалізації.
В цьому випадку розрахунок оптимального рівня запасів Q*, крапки замовлення Qт, вимагає деякого корегування і врахування необхідності наявності страхового запасу. Якщо максимальна швидкість реалізації товарів відома, то для розрахунку необхідного рівня страхового запасу може бути використане співвідношення:
Qs = (qmax - q) * т
Тоді оптимальний рівень запасів складає:
Q* + Qs = Q* + (qmax - q) т = (2FS/Cp) 1/2+(qmax - q) т (1.13)
А крапка замовлення Q, розраховується по формулі:
Qт = q* т + Qs = q* т + (qmax - q)* т = qmax t (1.14)
Оптимальний рівень страхового запасу може варіювати в залежності від особливостей ситуації, однак в загальному випадку, при його визначенні доцільно дотримувати логічної схеми, наведеної в таблиці 1.3.
Таблиця 3
Вплив факторів на рівень оптимального страхового запасу.
| Зміна чинників, впливати на оптимальний рівень страхового запасу | Зміна оптимального рівня страхового запасу Qs |
1. Зростання невизначеності змін попиту, що прогнозуються. 2. Зростання витрат, зв'язаних з дефіцитом запасів. 3. Зростання імовірності перерв в постачаннях товарів. 4. Зростання витрат зберігання. 5. Зростання цін на товари даної групи. 6. Падіння цін на товари даної групи. |
Росте Росте Росте Скорочується Росте Скорочується |
1.4 Висновки розділу 1
Запаси – це активи підприємства, які:
- утримуються для подальшого продажу за умов звичайної господарської діяльності;
- перебувають у процесі виробництва з метою подальшого продажу продукту виробництва;
- утримуються для споживання під час виробництва продукції, виконання робіт та надання послуг, а також управління підприємством.
Запаси торгівельного підприємства включають:
- сировину, основні й допоміжні матеріали, комплектуючі вироби та інші матеріальні цінності, що призначені для продажу, обслуговування підприємства й адміністративних потреб;
- готову продукцію, що виготовлена на підприємстві, призначена для продажу і відповідає технічним та якісним характеристикам, передбаченим договором або іншим нормативно-правовим актом;
- товари у вигляді матеріальних цінностей, що придбані (отримані) та утримуються підприємством з метою подальшого продажу;
- малоцінні та швидкозношувані предмети;
Системи управління запасами на підприємствах створюються для найбільш ефективного рішення наступних проблем:
- Реальної оцінки поточного стану запасів;
- Встановлення необхідних термінів розміщення замовлень;
- Визначення доцільного обсягу партії товарів, що замовляється;
- Визначення необхідного обсягу страхових запасів;
- Оцінка витрат управління запасами і засобів їх мінімізації.
Розділ 2. Комерційна діяльність торгового підприємства «Монолит Пласт» і оптимізація задач підприємства в галузі управління запасами
2.1 Аналіз комерційної діяльності ПП «Монолит Пласт» по оптовим закупкам та збуту сантехнічної продукції
Основні реєстраційні характеристики ПП «Монолит Пласт» наведені в табл.2.1.
Таблиця 2.1
Основні реєстраційні характеристики ПП «Монолит Пласт»
| Реєстрацiйнi данi | |||
| Код ЄДРПОУ: | 31816350 | ||
| Назва українською мовою: | ПП "МОНОЛИТ ПЛАСТ" | ||
| Повна назва українською мовою: | ПРИВАТНЕ ПІДПРИЄМСТВО "МОНОЛИТ ПЛАСТ" | ||
| Назва іноземною мовою: | МОНОЛИТ ПЛАСТ ПП 101091 | ||
| Місце основної реєстрації в органах податкової служби: | 466ДПI У КРАСНОГВАРДIЙСЬКОМУ Р-НI М.ДНIПРОПЕТРОВСЬК (КРАСНОГВАРДIЙСЬКИЙ Р-Н М.ДНIПРОПЕТРОВСЬК) | ||
| Адреса юридична: | 49089 ДНІПРОПЕТРОВСЬК, КРАСНОГВАРДIЙСЬКИЙ, ВУЛИЦЯ АКАДЕМІКА ЯНГЕЛЯ д.22 кв. 279 | ||
| Адреса фактична: | 49089 ДНІПРОПЕТРОВСЬК, КРАСНОГВАРДIЙСЬКИЙ, ВУЛИЦЯ АКАДЕМІКА ЯНГЕЛЯ д.22 кв. 279 | ||
| Дата основної реєстрації в ДПА: | 19.02.2002 | ||
| Номер основної реєстрації в ДПА: | №3533 | ||
| Статус: | перебуває на облiку | ||
| Має платежі | |||
| Код інспекції | Назва інспекції | Дата реєстрації | Номер реєстрації |
| 466 | ДПI У КРАСНОГВАРДIЙСЬКОМУ Р-НI М.ДНIПРОПЕТРОВСЬК (КРАСНОГВАРДIЙСЬКИЙ Р-Н М.ДНIПРОПЕТРОВСЬК) | 19.02.2002 | 3533 |
| Стан платника | |||
| ОСНОВНИЙ ПЛАТНИК | |||
| Дата реєстрації в держадміністрації: | 06.02.2002 | ||
| Орган державної реєстрації: | (4052092)ВИКОНАВЧИЙ КОМIТЕТ ДНIПРОПЕТРОВСЬКОЇ МIСЬКОЇ РАДИ БАБУШКІНСЬКИЙ ДНIПРОПЕТРОВСЬКА | ||
| Статутний фонд (в грн.): | 2000,00 | ||
| Орган управління: | (0)Не визначено | ||
| Організаційно-правова форма: | (120)ПРИВАТНЕ ПIДПРИЄМСТВО | ||
| Кількість співробітників: | 1 | ||
| Тип платника податків: | ГОЛОВНЕ ПІДПРИЄМСТВО | ||
| Форма власності: | (10)ПРИВАТНА ВЛАСНIСТЬ | ||
| Форма фінансування: | (2)ГОСПРОЗРАХУНОК | ||
| Коментар: | 101091 | ||
Керівники
| Ідентифікаційний номер | ПІБ | посада | Номер телефону | Ознака факсу | Додатковий номер телефону |
| 2496912753 | ФЕДОРЕНКО СЕРГІЙ ПАВЛОВИЧ | директор | 7712302 | ||
| 2496912753 | ФЕДОРЕНКО СЕРГІЙ ПАВЛОВИЧ | головний бухгалтер | 7712302 |
Види діяльності
| Код виду діяльності | Назва виду діяльності | Тип виду діяльності | Дата видачі ліцензії | Назва органу, що видав ліцензію | Номер ліцензії | Ознака зовнішньоекономічної діяльності |
| 61127 | САНIТАРНО-ТЕХНIЧНI РОБОТИ | |||||
| 71130 | ОПТОВА ТОРГIВЛЯ НЕДЕРЖАВНИХ ОРГАНIЗАЦIЙ, КРIМ СПОЖИВЧОЇ КООПЕРАЦIЇ | Займається зовнішньоекономічною діяльністю | ||||
| 71250 | РОЗДРIБНА ТОРГIВЛЯ НЕДЕРЖАВНИХ ОРГАНIЗАЦIЙ, КРIМ СПОЖИВЧОЇ КООПЕРАЦIЇ |
Засновники
| Засновник | Код засновника-юридичної особи | Код засновника-фізичної особи | Сума внеску в статутний фонд | Еквівалент суми валютного внеску в $ США | Вид валюти | Країна |
| ФЕДОРЕНКО СЕРГІЙ ПАВЛОВИЧ | 0 | 2496912753 | 2000,00 | 0 | УКРАЇНСЬКА ГРИВНЯ | УКРАЇНА |
Реєстр ПДВ
| Код реєестру ПДВ | Номер свідоцтва | Дата видачі свідоцтва | Ознака актуальності свідоцтва | Дата анулювання свідоцтва |
| 318163504669 | 4524724 | 19.02.2002 |
| Код ДПІ2 | МФО банку | Назва банку | Номер рахунку | Код валюти | Дата відкриття рахунку |
| 466 | 305653 | ДНIП.ОД"РАЙФФАЙЗЕН БАНК АВАЛЬ"М.ДН-СЬК | 26006610090100 | 980 | 27.02.2002 |
| 466 | 305653 | ДНIП.ОД"РАЙФФАЙЗЕН БАНК АВАЛЬ"М.ДН-СЬК | 26062610090100 | 980 | 26.03.2004 |
| 466 | 307231 | ОБЛ.ДФБТОВ"ФIНАНСИ ТА КРЕДИТ",М.ДН-СЬК | 260020204401 | 980 | 09.12.2005 |
Підприємство створене з метою здійснення виробничо-господарської, комерційної та інших видів діяльності та отримання на цій основі максимального прибутку Засновником підприємства.
Предметом діяльності приватного підприємства “Монолит Пласт” є торгівля та послуги:
- оптова та роздрібна торгівля промисловими та продовольчими товарами за готівковий та безготівковий рахунок;
- оптова та роздрібна торгівля склопакетами за готівковий та безготівко-вий рахунок;
- оптова та роздрібна торгівля паперовою та полімерною тарою за готів-ковий та безготівковий рахунок;
- оптова та роздрібна торгівля будівельними матеріалами та витратними матеріалами будівельного призначення;
- оптова, консигнаційна, комісійна та роздрібна торгівля товарами народного споживання, промисловими та продовольчими товарами на Україні та за її межами.
Приватне підприємство “Монолит Пласт” у 2005 – 2007 роках представлено директором та головним бухгалтером в одній особі, він же є одночасно головою фінансової служби підприємства. Інші працівники наймаються за співробітництвом на тимчасовій основі виконання контрактів по посередництву в торгівлі сантехнічними виробами на основі матеріальної винагороди з боку покупця у вигляді процентів від суми партії, при цьому ПП “Монолит Пласт” витрат на їх комісійну оплату не несе.
Завдяки своїм очевидним перевагам пластикові труби з кожним роком усе ширше використовуються в практиці водопостачання. Пластикові труби в 3-10 разів легше металевих, стійкі до корозії і дії багатьох агресивних хімічних речовин; вони володіють гладкою внутрішньою поверхнею, практично не заростають брудом, еластичні, мають низьку теплопровідність, їх легко обробляти і монтувати.
Основні області застосування пластикових труб — системи зовнішнього і внутрішнього водопостачання і водовідведення. Після 2000 року в Європі пластикові труби почали домінувати: у Швейцарії частка їхнього використання в новому будівництві і при капітальному ремонті складає 70 %, у Фінляндії — 51 %, у Німеччині — 46 % загального обсягу використаних труб.
З 90-х років минулого сторіччя почалося активне просування пластико-вих водопровідних труб і на українському ринку. Сьогодні в Україні при будівництві водогінних мереж використовуються труби з поліетилена (ПЕ), поліпропілену (ПП), полівінілхлориду (ПВХ), полібутилену (ПБ), а також багатошарові пластикові труби.
ПП «Монолит Пласт» спеціалізується на торгово-посередницькій діяль-ності в галузі сантехнічних виробів з пластикових та металопластикових труб (Додаток В).
Аналіз ефективності комерційної діяльності підприємства оцінюється в процесі економічної діагностики фінансово-економічного стану підприємства і керування його фінансами, яка проводиться на основі його фінансових звітів [16].
Метою фінансових звітів є структурована економічна інформація про фінансовий стан, результати діяльності і зміни у фінансовому стані підприємства, що є корисної для широкого кола користувачів у прийнятті ними економічних рішень.
З 1 січня 2000 р. на підприємствах України незалежно від форм власності (крім банків і бюджетних установ) впроваджені основні форми фінансової звітності, що відповідають міжнародним стандартам, і використовуються при розрахунках фінансового стану підприємства й акціонерного капіталу :
Форма №1 “Баланс” – звіт про фінансовий стан, що відображає активи, зобов'язання і капітал підприємства на встановлену дату [4].
Форма №2 “Звіт про фінансові результати”, що містить дані про доходи, витрати і фінансові результати діяльності підприємства за звітний і попередній періоди [5].
У табл. А.1 Додатку А приведені баланси підприємства ПП „Монолит Пласт” за 2005 - 2007 роки, у табл.Б.1 Додатку Б - звіти про фінансові результати за 2005 - 2007 роки.
Фінансовий аналіз базується на даних бухгалтерської звітності: форма № 1 “Баланс підприємства”, форма № 2 ”Звіт про фінансові результати та їх вико-ристання”.
Практика фінансового аналізу виробила основні методи читання фінансових звітів:
Горизонтальний аналіз – порівняння з показниками минулого періоду.
Вертикальний аналіз – визначення структури підсумкових фінансових показників.
Трендовий аналіз – порівняння кожного показника звітності з показниками минулих періодів і визначення тренда тобто основної тенденції динаміки показника.
Аналіз фінансових коефіцієнтів – відносне порівняння показників звітності (коефіцієнти ліквідності, фінансової стійкості, рентабельності, ділової активності).
Факторний аналіз – визначення впливу чинників на результативний показник методами класичного факторного аналізу (метод ланцюгових підстановок, метод абсолютних та відносних різниць).
Для кращого розуміння і аналізу досліджуваних статистичних даних, їх потрібно систематизувати, побудувавши хронологічні ряди, які називаються рядами динаміки або часовими рядами.
Аналіз результатів первинної статистичної обробки балансових звітів підприємства ПП “Монолит Пласт” за 2005 –2007 роки, наведених в табл. А.1 – А.3 Додатку А , показує (рис.2.1):
- валюта активів балансу у 2006 році зросла на + 95,3 % відносно рівня 2005 року, а у 2007 році ще зросла на + 76,8 % відносно рівня 2006 року, таким чином валюта балансу за два роки зросла з 77,3 тис.грн.. до 267,0 тис.грн..;
- необоротний капітал (основні фонди) підприємства займають невелику долю 3,5 – 5,7 % в валюті баланса, тобто підприємство – чисто торгівельне, а основні фонди – це нестаціонарні склади та офісне обладнання.
- динаміка структурної долі грошових коштів характеризується знижен-ням з рівня 9,0% (2005) до рівня 7,0% (2006) та падінням до 5,9 % у 2007 році;

Рис.2.1. Динаміка основних агрегатів активів балансу ПП “Монолит Пласт” у 2005 – 2007 роках

Рис.2.2 Структура та динаміка пасивів джерел ресурсів в ПП “Монолит Пласт” у 2005 – 2007 роках
- динаміка структурної долі запасів характеризується зростанням у 2006 році з рівня 43,7 %(2005) до рівня 54,8 %(2006) та поступовим падінням до рівня 44,1 % у 2007 році, при цьому запаси представлені виключно статтею «Товари»;
- динаміка структурної долі дебіторської заборгованості характеризується падінням у 2006 році з рівня 41,6 %(2005) до 34,1 % (2006) та нарощуванням до рівня 44,4 % у 2007 році;
Таким чином, для 2007 року для активів підприємства характерні процеси практично повного використання грошових коштів підприємства, при цьому 44,4 % активів займає дебіторська заборгованість за реалізовану продукцію, а 44,1 % активів – запаси, тобто розвиток підприємства залежить від надходжень-ня коштів від реалізації для придбання в запаси наступної партії продукції.
Як показано графіками рис.2.2 основними джерелами ресурсів підприєм-ства ПП “Монолит Пласт” є кредиторська заборгованість та позичені кредитні кошти банків, власний капітал займає долю не більше 1% в пасивах джерел.
Аналіз доходів та витрат на підприємстві ПП “Монолит Пласт” проводився з використанням звітів про фінансові результати (форма №2, Додаток Б).
Аналіз результатів первинної статистичної обробки звітів про фінансові результати підприємства ПП “Монолит Пласт” за 2005 –2007 роки, наведених в табл. Б.1 – Б.3 Додатку Б , показує :
а) джерелом доходів підприємства ПП “Монолит Пласт” є тільки результати основної діяльності по оптовому перепродажу куплених товарів з мінімальною націнкою;
б) основними джерелами витрат підприємства ПП “Монолит Пласт” є матеріальні витрати на покупку товарів та продукції на продаж;
в) чистий дохід підприємства у 2007 році зріс відносно 2005 року з рівня 159,2 тис.грн. (2005) до 501,6 млн.грн., тобто на +215,0%.
д) обсяги валюти баланса підприємства у 2007 році відносно рівня 2005 року зросли з рівня 77,3 тис.грн.. до рівня 267,0 тис.грн.., тобто на +246,7%. Таким чином темп приросту чистого валового доходу підприємства нижче темпа приросту валюти баланса, що свідчить про екстенсивний шлях росту підприємства.
е) підприємство – прибуткове, але суми чистого прибутку після оподатку- вання становлять 2600 – 5900 грн., що є незначним на рівні валових доходів від реалізації більше 0,5 млн.грн../рік, але є достатніми для рівня вкладеного статутного капітала в 500 - 2000 грн.
На рис.2.3 наведені результати аналізу структури витрат підприємства ПП “Монолит Пласт”, які показують, що матеріальні витрати займають долю 99,5 – 99,7 % в собівартості діяльності підприємства, тому основне управління доходами та витратами підприємства повинно виконуватися на рівні цінової стратегії між цінами покупки та продажу товарів.

Рис. 2.3 Динаміки структури витрат в ПП “Монолит Пласт” в 2007 році
Склад оборотних коштів – це сукупність окремих елементів оборотних виробничих фондів і фондів обігу. Структура оборотних коштів – це питома вага вартості окремих статей оборотних виробничих фондів і фондів обігу в загальній сумі оборотних коштів.
Оборотні кошти підприємства класифікуються за трьома ознаками :
1) залежно від участі їх у кругообігу коштів;
2) за методами планування, принципами організації та регулювання;
3) за джерелами формування.
Відповідно до першої ознаки оборотні кошти поділяються на оборотні кошти, авансовані в оборотні виробничі фонди, та оборотні кошти, авансовані у фонди обігу.
Такий розподіл оборотних коштів зумовлений наявністю в кругообігу коштів двох самостійних сфер – сфери виробництва і сфери обігу. Що більше питома вага оборотних коштів, розміщених у сфері виробництва, то ефектив-ніше використовується оборотний капітал. Залежно від методів планування оборотні кошти поділяються на нормовані ( розмірені у часі та у обсягах) та ненормовані.
Необхідність розподілу оборотних коштів на нормовані та ненормовані випливає з економічної доцільності досягнення найліпших результатів за най-менших затрат. Установлення нормативів за окремими статтями оборотних коштів уможливлює забезпечення безперервної діяльності підприємства за умови оптимальних виробничих запасів, розмірів незавершеного виробництва, залишків готової продукції .
До нормованих оборотних коштів належать оборотні кошти у виробничих запасах, незавершеному виробництві та витратах майбутніх періодів, у залиш-ках готової продукції на складах підприємств.
Ненормовані оборотні фонди включають фонди обігу за винятком готової продукції на складі.
В табл.2.3 наведена структура та динаміка активів балансу ПП”Монолит Пласт» за 2005 – 2007 роки.
Таблиця 2.3
Динаміка та структура активів балансу ПП “Монолит Пласт”

В табл.2.4 наведена динаміка джерел формування оборотних коштів підприємства ПП “Монолит Пласт” у 2005 -2007 роках:
Таблиця 2.4
Джерела формування оборотних коштів підприємства

Як показує аналіз структурних даних табл.2.3 – 2.4 :
а) Оскільки власний капітал ПП “Монолит Пласт” не імобілізований в необоротних коштах (використовується система орендованих складів чи тор-гівля «з колес»), джерелами оборотних коштів підприємства є як оборотний власний капітал так і короткострокові банківські кредити та кредиторська заборгованість , тобто комерційні кредити;
в) Оборотні кошти підприємства представлені в матеріальній формі у ви-гляді запасів товарів на складі (45-50%) та у грошовій формі у вигляді дебітор-ської заборгованості за реалізовані товари (45-50%) та суми готівкових грошей в касі та на розрахунковому рахунку в банку (5,0 –6,0%);
Структура оборотних коштів та джерел їх ресурсів є характерною для оп-тових торгових підприємств без значних основних фондів, джерела оборотних коштів дуже нестійкі і банкрутозагрозливі, що потребує дуже чіткого управ-ління строками управління погашенням дебіторської заборгованості та стро-ками зобов’язань по погашенню кредиторської заборгованості.
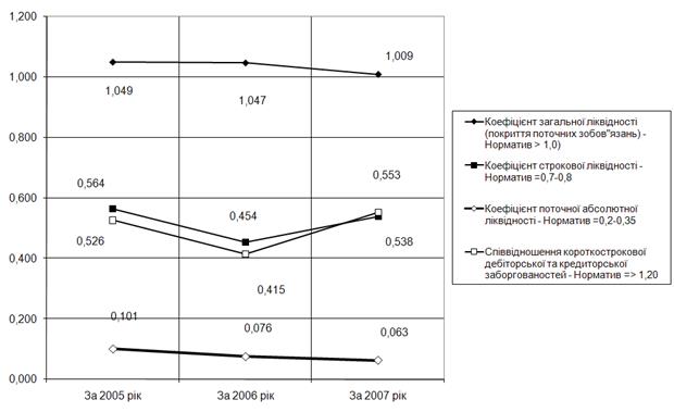
Економічний аналіз впливу нормування оборотних коштів на фінан-сову стійкість підприємства проводиться оперативним розрахунком абсолют-них показників фінансової стійкості (коефіцієнту покриття запасів оборотними коштами) вартість запасів (З) порівнюється з послідовно поширюваним перелі-ком таких джерел фінансування [18]:
власні оборотні кошти (НВОК);
власні оборотні кошти і довгострокові кредити та позики (НВОК + Дп);
власні оборотні кошти, довго- та короткострокові кредити і позики (НВОК + Дп + ДФЗ).
Відповідно до забезпеченості запасів згаданими варіантами фінансування можливі чотири типи фінансової стійкості [18].
1. Абсолютна стійкість - для забезпечення запасів (З) достатньо власних оборотних коштів; платоспроможність підприємства гарантована: З < НВОК
2. Нормальна стійкість – для забезпечення запасів крім власних оборотних коштів залучаються довгострокові кредити та позики; платоспроможність гарантована:З < НВОК+Дп
3. Нестійкий фінансовий стан – для забезпечення запасів крім власних оборотних коштів та довгострокових кредитів і позик залучаються коротко-строкові кредити та позики; платоспроможність порушена, але є можливість її відновити: З < НВОК + Дп + ДФЗ
4. Кризовий фінансовий стан – для забезпечення запасів не вистачає “нормальних” джерел фінансування; підприємству загрожує банкрутство: З > НВОК + Дп + ДФЗ
Забезпеченість запасів джерелами формування є сутністю фінансової стійкості, її зовнішнім проявом, а наслідком є платоспроможність (ліквідність).
Таблиця 2.5
Агреговані статті балансу ПП “Монолит Пласт”

В табл.2.5 – 2.6 наведені результати оперативного розрахунку ступені покриття нормованих запасів в оборотних активах джерелами ресурсів.
Як показують результати розрахунків в табл.2.6 в ПП “Монолит Пласт” відсутнє фінансове управління нормуванням оборотних активів, що приводить до постійно-кризового стану покриття нормованих оборотних коштів (запасів) при повній відсутності власного оборотного капіталу.
Таблиця 2.6
Результати розрахунку стійкості ПП “Монолит Пласт” по покриттю запасів

В табл. Д.1- Д.4 Додатку Д наведені алгоритми розрахунків показників фінансової діяльності підприємства [21] з використанням форм фінансової звітності – Форма 1 “Баланс” та Форма 2 “Звіт про результати фінансової діяльності”.
В табл.Е.1 - Е.5 Додатку Е наведені результати розрахунків коефіцієнтів діяльності підприємства за алгоритмами , наведеними в табл.Д.1 – Д.4 Додатку Д.
Аналіз результатів вторинної (коефіцієнтної) статистичної обробки ба-лансових звітів та звітів про фінансові результати діяльності ПП “Монолит Пласт” за 2003 – 2005 роки, наведений в табл. Е.1 – Е.5 Додатку Е та на рис.2.4 – 2.7.

Рис.2.4. Динаміка показників ліквідності балансу ПП „Монолит Пласт”
Аналіз графіків, наведених на рис.2.4 показує, що у ПП “Монолит Пласт”:
- у 2005-2007 роках рівень загальної ліквідності наближався до нижньої межі нормативного діапазону, але так її і не досягає, тобто загальна ліквідність в підприємстві знаходиться на межі стійкого діапазону;
- у 2005 –2007 роках рівень швидкої (строкової) ліквідності знаходився на 50% нижче нормативного діапазону, що свідчить про проблеми строкової платоспроможності у підприємства;
- у 2005 –2007 роках рівень абсолютної ліквідності знаходилися значно нижче нормативного діапазону, що свідчить про катастрофічні проблеми забезпечення моментальної платоспроможності у підприємства;
- у 2005 – 2007 роках показник відношення короткострокової дебіторської та кредиторської заборгованостей був суттєво нижче значення стійкого діапа-зону (більше 1,0), тому для розрахунків з кредиторами необхідно було не тільки отримати кошти дебіторської заборгованості за відпущені товари, але і реалізу-вати частину продукції, яка знаходилась в товарних запасах та ще не була продана;
Таким чином, у 2005 – 2007 роках підприємство ПП “Монолит Пласт” почало і продовжує свою діяльність в в кризовій полосі неліквідності балансу в короткострокових та довгострокових періодах, що зафіксовано у раніше вказ-аному факті використання у 2005 - 2007 році грошової маси на закупівлю то-варних запасів.
Оскільки на підприємстві ПП ”Монолит Пласт” відсутній фінансовий відділ, а всією діяльністю підприємства управляв в 2005 – 2007 роках директор, він же головний бухгалтер за сумісництвом, увага була сконцентрована на менеджменті, характерному для приватних підприємств – хаотичний пошук кредиторів та покупців без детального аналізу фінансового стану підприємства.
Аналіз рентабельності активів та власного капіталу ПП „Монолит Пласт” показує, що діяльність може бути охарактеризована наступними тенденціями :
1. Обороти виручки від реалізації на рівні 0,5 млн.грн. за рік при статут-ному капіталі ПП “Монолит Пласт” в 500 – 2000 грн. дають ефект надзви-чайної дії операційного та фінансового важелів :
якщо рентабельність активів по валовому реалізаційному прибутку становить 2 –3 %, що відповідає різниці цін між покупкою та продажем товарів; то рентабельність власного капітала по валовому реалізаційному прибутку досягає 180 –200 %
2. Рентабельність власного капітала по чистому прибутку після оподат-кування знизилась з рівня 133% (у 2005 році) до 32 % у 2006 році та підвищи-лась знов до рівня 135% у 2007 році, тобто значно перевищує рівень альтер-нативної доходності – депозитної ставки комерційних банків в 12 – 16 % річних.
Таким чином, високоризикова діяльність ПП “Монолит Пласт” з точки зору неліквідності балансу дає високі рівні прибутків, що відповідає ринковій моделі “ризик – доходність бізнесу”.
На рис.2.6 наведені характеристики ділової активності (швидкості оборо-ту окремих характерних агрегатів активів та пасивів балансу) ПП „Монолит Пласт”.

Рис. 2.6 Характеристики динаміки показників ділової активності ПП „Монолит Пласт” у 2005 -2007 роках
Як показано графіками рис.2.6 у 2006 році відносно 2005 року з нарощен-ням обсягів операцій період обороту оборотних агрегатів зріс в 1,4 – 2,5 рази, що підняло відповідно строк фінансового та операційногоциклу та свідчить про зниження темпів ділової активності підприємства при нарощенні обсягів діяль-ності. У 2007 році відносно 2006 року з подальшим нарощенням обсягів опера-цій період обороту оборотних агрегатів знизився знов 1,4 – 2,5 рази до рівня оборотності 2005 року, тобто підприємство знайшло стійкий ринок збуту та різко відновило темпи ділової активності при нарощенні обсягів діяльності.
В той же час, слід відмітити, що строк обороту дебіторської за боргова-ності практично в 2 рази менший, ніж строк обороту кредиторської за боргова-ності, що компенсує невиконання нормативу відношення дебіторської до кре-диторської заборгованостей .
На рис.2.7 наведені результати аналізу джерел покриття запасів в ПП “Монолит Пласт”.

Рис.2.7. Динаміка показників покриття запасів джерелами ресурсів в ПП “Монолит Пласт” у 2005 -2007 роках
Як видно з графіків рис. 2.7 в 2005 –2007 роках по покриттю запасів в ПП “Монолит Пласт" фіксується кризовий стан з покриттям запасів, оскільки в не-оборотних коштах імобілізовані не тільки власний капітал,але і залучені кошти банківського кредиту, тому без підняння рівню власного капіталу підприємству загрожує неліквідність за рахунок можливої неліквідності накоплених запасів.
2.2 Загальна постановка задачі управління запасами підприємства ПП «Монолит Пласт» (АВС+XYZ – методологія)
Аналіз ABC - це спосіб ресурсного дослідження, що полягає в поділі продукції на категорії A, B і C, що складають у структурі продажів 80, 15 і 5% відповідно, і пропонуванні різних підходів до керування цими товарними групами.
Метод АВС заснований на широко розповсюдженим у практиці способі аналізу, відомим, як «правило 80/20», що вперше обґрунтував В.Парето (1897р.) [14].
Суть методу АВС полягає в тому, що відповідно до мети аналізу вибира-ється класифікаційна ознака. Далі здійснюється ранжирування в порядку убу-вання цієї класифікаційної ознаки. До групи А відносяться найменування в списку, починаючи з першого, сума накопичених вартостей яких складає 70-80% від сумарної вартості всіх реалізованих за цей період товарів. Досвід показує, що звичайно в цю групу попадає 10-20% усього асортименту товарів.
У групу В попадають приблизно третина найменувань товарів, сума вартостей яких складає 15-20%.
До групи С відносяться всі позиції асортимента товарів, що залишилися, сумарна вартість яких складає лише 5-10%. При цьому варто не забувати про «якірні позиції», відсутність яких може привести до втрати продажів у групі А або В. На практиці, такі позиції штучно переносять у відповідні групи масової частки «зв'язаних» позицій. (Якщо більшість зв'язаних позицій в А, то перено-сять в А)
Відповідно до принципу Парето, товари групи А підлягають більш ре-тельному облікові, попит на них прогнозується за допомогою більш складних методик, більш часто й уважніше контролюється своєчасне поповнення цих запасів цих товарних позицій в асортименті. У той час як потреба в активних товарах визначається більш точним методом прогнозування збуту, потреба в малоактивних товарах може визначатися менш точним і більш дешевим способом обліку минулого досвіду. Неоптимальне керування малоактивними товарами слабко впливає на загальні показники керування запасами. З огляду на це, підприємства часто можуть здійснювати закупівлі відразу річної потреби по номенклатурі малоактивних товарів.
Таблиця 2.7
Розрахунок показників АВС-аналізу по реалізації асортиментних груп продукції ПП «Монолит Пласт» у 2005 -2007 роках (по обсягам реалізації)

Таким чином, використання принципу Парето в керуванні товарними за-пасами означає, що вся номенклатура поділяється на групи за критерієм актив-ності та вартості продажів. Група А, як "найбільш активна", піддається самому ретельному контролеві, групі В виявляється менше управлінської уваги, а група С обслуговується "найменш активно".
XYZ-аналіз дозволяє класифікувати товарний асортимент продажів товарів, розглянутий при проведенні АВС-аналіза, у залежності від характеру їх продаж і точності прогнозування змін у їхній потребі, що особливо важливо для торговельних компаній.
Угруповання товарного асортименту при проведенні XYZ-аналізу здій-нюється в порядку зростання коефіцієнта варіації.
До категорії X відносять ресурси, що характеризуються стабільною вели-чиною обсягів продажу, незначними коливаннями в обсягах їх продаж і високій точності прогнозу.
Категорія Y - це ресурси, продаж яких характеризується відомими тен-денціями (наприклад, сезонними коливаннями) і середніми можливостями їхнього прогнозування.
Товари які відносяться до категорії Z, продаються нерегулярно, точність їхнього прогнозування невисока.
При порівнянні варіаційних рядів між собою використовують коефіцієнт варіації. Розподіл коефіцієнта, що рекомендується, варіації по групах:
КВ = 0-10% - група Х
КВ = 10-25% - група Y
КВ > 25% - група Z
Заходи щодо управління продажами: X - закупівля відбувається синхронно процесові продажу товарів Y - необхідне створення запасів товарів для продажу Z - вимагає індивідуальних замовлень по закупівлі товарів на перепродаж.

Рис.2.17. – Динаміка щоквартального обсягу чистого доходу від продажу укрупнених асортиментних груп продукції ПП “Монолит Пласт” у 2005 – 2007 роках (частина 1)

Рис.2.18. – Динаміка щоквартального обсягу чистого доходу від продажу укрупнених асортиментних груп продукції ПП “Монолит Пласт” у 2005 – 2007 роках (частина 2)

Рис.2.19. – Динаміка щоквартального обсягу чистого доходу від продажу укрупнених асортиментних груп продукції ПП “Монолит Пласт” у 2005 – 2007 роках (частина 3)
На рис. 2.17- 2.19 наведена динаміка щоквартального обсягу чистого доходу від продажу укрупнених асортиментних груп продукції ПП “Монолит Пласт” у 2005 – 2007 роках.
Таблиця 2.8
Результати статистичної обробки хронологічних рядів щоквартальних чистих доходів по асортиментним групам ПП “Монолит Пласт”
2.3 Оцінка ефективності впровадження проектів автоматизації управління запасами ПП «Монолит Пласт» на базі сполучення АВС та XYZ – аналізів
В дослідженому підприємстві ПП «Монолит-Пласт» впроваджений 1 етап автоматизованої системи управління запасами на базі сполучення АВС та XYZ – алгоритмів моніторингу асортименту продаж.
Накладення результатів аналізу XYZ на дані ABC-методу утворює 9 груп ресурсів, для кожної з них необхідно розробити свою технику керування, при цьому кожна з груп має дві характеристики вартість запасів і точність прогно-зування потреби в них (Рис.2.20 [12]).

Рис.2.20. – Квадранти спільного проведення аналізу АВС і XYZ
Результатом спільного проведення аналізу АВС і XYZ є виділення клю-чових, найбільш важливих ресурсів фірми і встановлення на цій основі пріори-тетів у структуризації бізнесів-процесів.
Групи AX, AY і AZ вимагають найбільшої уваги, для них необхідно ре-тельне планування потреби, нормування витрати, ретельний (щоденний) облік і контроль, постійний аналіз відхилень від запланованих показників. Причому для категорії AX варто розраховувати оптимальний розмір закупівель і вико-ристовувати технологію "just in time". А для категорії AZ ефективніше викорис-товувати систему постачання по запитах з обов'язковим розрахунком величини страхового запасу. Для ресурсів категорії CX, CY, CZ застосовуються укрупне-ні методи планування.
В табл. 2.9 наведені результати спільного аналізу АВС і XYZ для ПП “Монолит Пласт” за результатами продажу продукції в основних асортимент-них групах. Як видно з спільного аналізу результатів обробки (табл.2.7 – 2.9) продукція ПП “Монолит Пласт” відноситься до категорій AY, BY, CY (мають сезонний характер з наростанням обсягів продажу):
AY – потребує систему постачання по запитах з обов'язковим розрахунком величини страхового запасу:
Труба каналізаційна поліпропіленова "OSTENDORF" (d=100)
Коліна поворотні та трійники поліпропіленові "OSTENDORF" (d=100)
Труба каналізаційна поліпропіленова "OSTENDORF" (d=50)
Труба каналізаційна поліпропіленова "OSTENDORF" (d=32)
BY – потребує систему постачання авансовими партіями згідно прогнозу попиту з обов'язковим розрахунком величини страхового запасу
Коліна поворотні та трійники поліпропіленові "OSTENDORF" (d=50)
Коліна поворотні та трійники поліпропіленові "OSTENDORF" (d=32)
CY – можлива закупка великими партіями, оскільки ціна товарної групи асортименту – невелика
Муфти насувні поліпропіленові "OSTENDORF" (d=32-100)
Хрестовини поліпропіленові "OSTENDORF" (d=32-100)
Таблиця 3.3
Спільний АВС та XYZ –аналізи продажу асортиментних груп продукції ПП “Монолит Пласт” у 2005 –2007 роках

2.4 Висновки розділу 2
Отримані результати економічної діагностики показали, що підприємство ПП «Монолит Пласт» потребує автоматизованої системи управління запасами торгового підприємства, оскільки працює з максимальними ризиками при практичній відсутності страхових запасів. Помилка в асортиментній політиці придбання товарів для підприємства є недопустимою,бо невірні обсяги закупки товарів в асортиментних групах загрожують швидкому доведенню діяльності підприємства до банкрутства.
Впровадження в дослідженому підприємстві ПП «Монолит-Пласт» 1 етапу автоматизованої системи управління запасами на базі сполучення АВС та XYZ – алгоритмів моніторингу асортименту продаж дозволило виявити, що продукція ПП “Монолит Пласт” відноситься до категорій AY, BY, CY (має сезонний характер з наростанням обсягів продажу):
AY – потребує систему постачання по запитах з обов'язковим розра-хунком величини страхового запасу:
BY – потребує систему постачання авансовими партіями згідно прогнозу попиту з обов'язковим розрахунком величини страхового запасу
CY – можлива закупка великими партіями, оскільки ціна товарної групи асортименту – невелика
Таким чином, отримані результати автоматизованої системи управління запасами, побудованої на детальному управлінні асортиментними групами товарів дозволяють ефективно прогнозувати подальші дії ПП «Монолит Пласт» по керівництву закупками асортиментних груп товарної номенклатури продукції згідно матриці результатів спільного АВС-XYZ –аналізів.
Висновки
Економічна діагностика діяльності ПП «Монолит Пласт» за 2005 -2007 роки показала, що підприємство є класичним оптовим торговцем, у якого оборотні активи представлені 3 основними статтями:
запаси куплених товарів;
дебіторська заборгованість за відпущені (продану) товари;
грошові кошти в касі та на розрахунковому рахунку.
Аналіз фінансово-господарської діяльності ПП “Монолит Пласт” за 2005 – 2007 роки виявив наступні проблеми в його розвитку:
- для активів підприємства характерні процеси практично повного використання грошових коштів підприємства, при цьому 44,4 % активів займає дебіторська заборгованість за реалізовану продукцію, а 44,1 % активів – запаси, тобто розвиток підприємства залежить від надходження коштів від реалізації для придбання в запаси наступної партії продукції.
- основними джерелами ресурсів підприємства ПП “Монолит Пласт” є кредиторська заборгованість та позичені кредитні кошти банків, власний капітал займає долю не більше 1% в пасивах джерел.
- підприємство – прибуткове, але суми чистого прибутку після оподатку- вання становлять 2600 – 5900 грн., що є незначним на рівні валових доходів від реалізації більше 0,5 млн.грн../рік, але є достатніми для рівня вкладеного статутного капітала в 500 - 2000 грн.
Результати аналізу структури витрат підприємства ПП “Монолит Пласт” показують, що матеріальні витрати на придбання товарів займають долю 99,5 – 99,7% в собівартості діяльності підприємства, тому основне управління доходами та витратами підприємства повинно виконуватися на рівні цінової стратегії між цінами покупки та продажу товарів.
Як показує аналіз структурних даних :
а) Оскільки власний капітал ПП “Монолит Пласт” не імобілізований в необоротних коштах (використовується система орендованих складів чи тор-гівля «з колес»), джерелами оборотних коштів підприємства є як оборотний власний капітал так і короткострокові банківські кредити та кредиторська заборгованість , тобто комерційні кредити;
в) Оборотні кошти підприємства представлені в матеріальній формі у вигляді запасів товарів на складі (45-50%) та у грошовій формі у вигляді дебіторської заборгованості за реалізовані товари (45-50%) та суми готівкових грошей в касі та на розрахунковому рахунку в банку (5,0 –6,0%);
Структура оборотних коштів та джерел їх ресурсів є характерною для оптових торгових підприємств без значних основних фондів, джерела оборот-них коштів дуже нестійкі і банкрутозагрозливі, що потребує дуже чіткого уп-равління строками управління погашенням дебіторської заборгованості та стро-ками зобов’язань по погашенню кредиторської заборгованості.
Як показують результати розрахунків в ПП “Монолит Пласт” відсутнє фінансове управління нормуванням оборотних активів, що приводить до постійно-кризового стану покриття нормованих оборотних коштів (запасів) при повній відсутності власного оборотного капіталу.
Аналіз результатів вторинної (коефіцієнтної) статистичної обробки ба-лансових звітів та звітів про фінансові результати діяльності за 2005 – 2007 роки показує, що у ПП “Монолит Пласт” на протязі дослідженого періоду веде діяльність в кризовій полосу неліквідності балансу в короткострокових та дов-гострокових періодах, що зафіксовано у раніше вказаному факті використання у 2004 - 2006 році грошової маси на закупівлю товарних запасів.
Оскільки на підприємстві ПП ”Монолит Пласт” відсутній фінансовий відділ, а всією діяльністю підприємства управляв в 2004 – 2006 роках директор, він же головний бухгалтер за сумісництвом, увага була сконцентрована на менеджменті, характерному для приватних підприємств – хаотичний пошук кредиторів та покупців без детального аналізу фінансового стану підприємства.
В той же час, високоризикова діяльність ПП “Монолит Пласт” при від-сутності витрат на організацію ліквідності балансу дає високі рівні прибутків, що відповідає ринковій моделі “високий ризик – висока доходність бізнесу”.
По покриттю запасів в ПП “Монолит Пласт" фіксується кризовий стан, оскільки в оборотних коштах імобілізовані не тільки власний капітал, але і за-лучені кошти банківського кредиту, тому без підняння рівню власного капіталу підприємству загрожує неліквідність за рахунок можливої неліквідності накоп-лених запасів.
Отримані результати економічної діагностики показали, що підприємство ПП «Монолит Пласт» потребує автоматизованої системи управління запасами торгового підприємства, оскільки працює з максимальними ризиками при практичній відсутності страхових запасів. Помилка в асортиментній політиці придбання товарів для підприємства є недопустимою,бо невірні обсяги закупки товарів в асортиментних групах загрожують швидкому доведенню діяльності підприємства до банкрутства.
Впровадження дослідженому підприємстві ПП «Монолит-Пласт» 1 етапу автоматизованої системи управління запасами на базі сполучення АВС та XYZ – алгоритмів моніторингу асортименту продаж дозволило виявити, що про-дукція ПП “Монолит Пласт” відноситься до категорій AY, BY, CY (має сезон-ний характер з наростанням обсягів продажу):
AY – потребує систему постачання по запитах з обов'язковим розра-хунком величини страхового запасу:
Труба каналізаційна поліпропіленова "OSTENDORF" (d=100)
Коліна поворотні та трійники поліпропіленові "OSTENDORF" (d=100)
Труба каналізаційна поліпропіленова "OSTENDORF" (d=50)
- Труба каналізаційна поліпропіленова "OSTENDORF" (d=32)
BY – потребує систему постачання авансовими партіями згідно прог-нозу попиту з обов'язковим розрахунком величини страхового запасу
Коліна поворотні та трійники поліпропіленові "OSTENDORF" (d=50)
Коліна поворотні та трійники поліпропіленові "OSTENDORF" (d=32)
CY – можлива закупка великими партіями, оскільки ціна товарної групи асортименту – невелика
Муфти насувні поліпропіленові "OSTENDORF" (d=32-100)
Хрестовини поліпропіленові "OSTENDORF" (d=32-100)
Таким чином, отримані результати висновків та прогнозів автоматизо-ваної системи управління запасами, побудованої на детальному управлінні асортиментними групами товарів, дозволяють ефективно прогнозувати подаль-ші розвиток високоризикованої діяльності ПП «Монолит Пласт» з викорис-танням алгоритмів керівництва закупками асортиментних груп товарної номен-клатури продукції згідно матриці результатів спільного АВС-XYZ –аналізів.
Список використаних джерел
1. Господарський кодекс України від 16 січня 2003 року N 436-IV(діє з 01.01.2004) // Із змінами і доповненнями, внесеними Законами України від 9 січня 2007 року N 549-V, ОВУ, 2007 р., N 8, ст. 276
2. ЗАКОН УКРАЇНИ «Про господарські товариства» // від 19 вересня 1991 року N 1576-XII (Із змінами і доповненнями, внесеними Законами України станом на 19 лютого 2004 року N 1519-IV)
3. Положення (стандарт) бухгалтерського обліку 1 "Загальні вимоги до фінансової звітності", Наказ Мінфіна України № 87 від 31.03.1999 + № 304 від 30.11.2000.
4. Положення (стандарт) бухгалтерського обліку 2 "Баланс", Наказ Мінфіна України № 87 від 31.03.1999 + № 304 від 30.11.2000.
5. Положення (стандарт) бухгалтерського обліку 3 " Звіт про фінансові результати «, Наказ Мінфіна України № 87 від 31.03.1999 + № 304 від 30.11.2000.
6. Положення (стандарт) бухгалтерського обліку 9 " Запаси», Наказ Мінфіна України № 87 від 31.03.1999 + № 304 від 30.11.2000.
7. Андрєєва Г. І. Економічний аналіз : навч.-метод. посібник / Г. І. Андрєєва. – К. : Знан.ня, 2008. – 263 с.
8. Белявцева В.В. Автоматизированные технологии организации управленческого учета в торговле // Економіка: проблеми теорії та практики: Зб.наук.пр. – Вип. 206 – Дніпропетровськ: Наука і освіта, 2005. – С. 224-229.
9. Бланк И. А. Финансовый менеджмент : учебный курс / И. А. Бланк. – Изд. 2-е, перераб. и доп. – К. : Эльга : Ника-Центр, 2006. – 656 с.
10. Бузулукова Е.А. Ассортимент розничного магазина: методы анализа и практические советы – СПБ.: Изд-во: Питер, 2007. - 176 страниц
11. Бузукова Е.А. Анализ ассортимента и стабильности продаж с исполь-зованием ABC-анализа и XYZ-анализа // Журнал «Управление продажами», Санкт- Петербург, Издательство: «Издательский дом Гребенникова», № 3, 2006, с. 34 – 39
12. Василенко Л. П. Фінанси підприємства у схемах і таблицях : наочний навчальний посібник / Л. П. Василенко, Л. В. Гут, О. П. Оксеєнко ; Київський нац. торг.-екон. ун-т, Чернівецький торг.-екон. ін-т. – К. : Дакор, 2006. – 343 с.
13. Виноградська А.М. Комерційна діяльність торговельного підприємст-ва : Навчальний посібник. - К.: Київ. нац. торг.-екон. ун-т, 2005. - 278 с.
14. Внутрішній економічний механізм підприємства : навч. посібник / П. В. Круш [та ін.] ; Нац. технічний ун-т України "Київський політехнічний ін-т". – К. : Центр учбової літератури, 2008. – 205 с.
15. Воробьев П.Ф. АВС - анализ в управлении товарными запасами Журнал «Управление продажами»», Санкт- Петербург, Издательство: «Изда-тельский дом Гребенникова», № 3, 2006, с. 54 -56
16. Гетьман О.О., Шаповал В.М. Економіка підприємства: навчальний посібник для студентів вищих навчальних закладів.- Київ, Центр навчальної літератури, 2006. – 488 с.
17. Гетьман О. О. Економічна діагностика : навч. посіб. / О. О. Гетьман, В. М. Шаповал ; М-во освіти і науки України, Український державний хіміко-технологічний ун-т, Дніпропетровський ун-т економіки та права. – К. : Центр навчальної літератури, 2007. – 307 с.
18. Дугельный А.П. Бюджетное управление предприятием / А. П. Дугель-ный, В. Ф. Комаров. – М. : Дело, 2007. – 432 с.
19. Економіка підприємства (в питаннях і відповідях) : навч. посібник / І. І. Цигилик [та ін.]. – 2-ге вид., переробл. і доповн. – К. : Центр учбової літератури, 2007. – 212 с.
20. Кармазін В.А. Економічний аналіз : практикум / В. А. Кармазін, О. М. Савицька. – К. : Знання, 2007. – 255 с.
21. Комерційна діяльність : навч. посіб. / Н. О. Криковцева [та ін.]. – К. : Центр учбової літератури, 2007. – 294 с.
22. Комерційна діяльність : підручник / [В. В. Апопій та ін.] ; за ред. В. В. Апопія. – 2-ге вид., переробл. і доповн. – К. : Знання, 2008. – 559 с.
23. Неруш Ю. М. Логистика : учебник / Ю. М. Неруш ; Московский гос. ин-т междунар. отношений (университет) МИД России. – 4-е изд., перераб. и доп. – М. : Проспект, 2007. – 520 с.
24. Новітній маркетинг : навч. посібник / [Є. В. Савельєв та ін.] ; за ред. Є. В. Савельєва. – К. : Знання, 2008. – 421 с.
25. Організація торгівлі : підручник / В. В. Апопій [та ін] ; за ред. В. В. Апопія ; М-во освіти і науки України, Львівська комерційна академія. – Вид. 2-ге, переробл. і доповн. – К. : Центр учбової літератури, 2008. – 629 с.
26. Партин Г.О. Управлінський облік : навч. посібник / Г. О. Партин, А. Г. Загородній. – 2-ге вид., виправл. і доповн. – К. : Знання, 2007. – 304 с.
27. Савицька Г. В. Економічний аналіз діяльності підприємства : нав-чальний посібник / Г. В. Савицька. – 3-тє вид., виправл. і доповн. – К. : Знання, 2007. – 669 с.
28. Сизоненко В.О. Сучасне підприємництво : навч. посібник / В. О. Си-зоненко. – К. : Знання-Прес, 2008. – 440 с.
29. Трубопроводы инженерных систем: каталог 2004 / Под ред. С.Е. Беликова. — М.: АкваТерм, 2004. — 248 с.
30. Управління витратами : навч. посібник / [М. Г. Грещак та ін.] ; за ред. М. Г. Грещака ; Держ. вищ. навч. заклад "Київський нац. екон. ун-т ім. В. Гетьмана". – К. : КНЕУ, 2008. – 259 с.
31. Управленческий учет : пер. с англ. / Э. А. Аткинсон [и др.]. – 3-е изд. – М. : Вильямс, 2007. – 880 с.
32. Фінанси / О. Р. Романенко [та ін.] ; М-во освіти і науки України, Київський нац. екон. ун-т імені Вадима Гетьмана. – 2-ге вид., без змін. – К. : КНЕУ, 2007. – 387 с.
33. Хоружий П.Д., Ткачук О.А. Водопровідні системи і споруди: Навч. посібник. — К.: Вища шк., 1993. — 230 с.
34. Хруцкий В.Е. Внутрифирменное бюджетирование : настольная книга по постановке финансового планирования / В. Е. Хруцкий, В. В. Гамаюнов. – Изд. 2-е, перераб. и доп. – М. : Финансы и статистика, 2007. – 461 с.
35. Цал-Цалко Ю. С. Фінансовий аналіз : підручник / Ю. С. Цал-Цалко. – К. : Центр учбової літератури, 2008. – 566 с.
36. Цигилик І.І. Основи підприємництва : навч. посібник / І. І. Цигилик, З. М. Криховецька, Т. М. Паневник. – 2-ге вид., переробл. та доповн. – К. : Центр учбової літератури, 2007. – 224 с.
37. Швиданенко Г. О. Управління капіталом підприємства : навч. Посібник / Г. О. Швиданенко, Н. В. Шевчук ; М-во освіти і науки України, Держ. вищ. навч. заклад "Київський нац. екон. ун-т ім. В. Гетьмана". – К. : КНЕУ, 2007. – 436 с.
38. Швиданенко Г.О. Бізнес-діагностика підприємства / Г. О. Швида-ненко, А. І. Дмитренко, О. І. Олексюк ; М-во освіти і науки України, Держ. вищ. навч. заклад "Київський нац. екон. ун-т ім. В. Гетьмана". – К., 2008. – 340 с.
39. Шморгун Н.П. Фінансовий аналіз : навч. посібник для студ. вищих навчальних закладів / Н. М. Шморгун, І. В. Головко ; М-во освіти і науки України, Київський нац. ун-т ім. Т. Шевченка. – К. : Центр навчальної літератури, 2006. – 525 с.
40. Шнаппауф Р. А. Практика продаж. Справочное пособие по всем ситуациям в сбыте: примеры и упражнения : вопросы для определения профессионального уровня : пер. с нем./ Р. А. Шнаппауф. – 3-е изд., перераб. и доп. – М. : Интерэксперт, 2007. – 438 с.
41. Экономика предприятия (фирмы) : учебник/ под ред. О. И. Волкова, О. В. Девяткина. – 3-е изд., перераб. и доп. – М. : ИНФРА-М, 2007. – 601 с.
42. http://www.org.ua – «ЛОГІСТИКА – практика управління» - інфор-маційний Інтернет-журнал, 2008
43. Http://www.ukrlogistika.com.ua – Електронний Інтернет - журнал «Дистрибуція та логістіка», 2008
Додаток А
Балансові звіти ПП “Монолит Пласт” за 2005 - 2007 роки


Додаток Б
Звіти про фінансові результати ПП “Монолит Пласт» за 2005 - 2007 роки

Додаток В
Основні види пластикової сантехнічної продукції




Додаток Д
Алгоритми розрахунку показників фінансового стану підприємства
Таблиця Д.1
Алгоритми розрахунку показників рентабельності
| № п/п | Показник | Умовн. поз-ня | Формула для розрахунку | Джерела інформації з форм фінзвітності |
| ПОКАЗНИКИ РЕНТАБЕЛЬНОСТІ | ||||
| 1 | Рентабельність активів за прибутком від звичайної діяльності | Rзв | Прибуток від звичайної діяльності / Валюта активів | Форма 2(190) / Форма1 (280) |
| 2 | Рентабельність капіталу (активів) за чистим прибутком | Rа | Чистий Прибуток / Валюта активів | Форма 2(220) / Форма1 (280) |
| 3 | Рентабельність власного капіталу | Rвк | Чистий Прибуток / Власний капітал | Форма 2(220) / Форма1 (380) |
| 4 | Рентабельність виробничих фондів | Rвф | Чистий Прибуток / Виробничі фонди | Форма 2(220) /Фор-ма1 (030+100+120) |
| 5 | Рентабельність реалізо-ваної продукції за прибутком від реалізації | Rq | Прибуток від реалізації / Виручка | Форма 2(050-070-080) /Форма 2 (035) |
| 6 | Рентабельність реалізованої продукції за прибутком від операційної діяльності | Rqоп | Прибуток від операційної діяльності / Виручка | Форма 2(100) / Форма 2 (035) |
| 7 | Рентабельність реал. продукції за прибутком | Rqч | Чистий прибуток / Виручка | Форма 2(220) / Форма 2 (035) |
| .8 | Коефіцієнт стійкості економічного зростання | Ксез | Реінвестований прибуток / Власний капітал | (Форма 2(220) –[Ф2( 335)* Ф.2(220)/100]) /Форма 1 (380) |
| 9 | Коефіцієнт реінвестування | Кр | Реінвестований прибуток / Чистий прибуток | (Форма 2(220) –[Ф2( 335)* Ф.2(220)/100]) /Форма 2 (220) |
| 10 | Період окупності капіталу | Тк | Активи/Чистий прибуток | Форма 1(280) / Форма 2 (220) |
| 11 | Період окупності власного капіталу | Твк | Власний капітал / Чистий прибуток | Форма 1(380) / Форма 2 (220) |
*Ф.2(335) – частка прибутку, розподілена на видачу дивідендів
Таблиця Д.2
Алгоритми розрахунку показників ділової активності
| № п/п | Показник | Умовне позначення | Формула для розрахунку | Джерела інформації з форм фінзвітності |
| ПОКАЗНИКИ ДІЛОВОЇ АКТИВНОСТІ | ||||
| 1 | Коефіцієнт трансформації | Кт | Чиста виручка від реалізації / Валюта активів | Форма 2(035) /Форма1 (280) |
| 2 | Фондовіддача | Фоф | Чиста виручка від реалізації / Основні виробничі фонди | Форма 2(035) /Форма1 (030) |
| 3 | Коефіцієнт оборотності обігових коштів (обороти) | Ко | Чиста виручка від реалізації / Обігові кошти | Форма 2(035) /Форма1 (260+270) |
| 4 | Період одного обороту обігових коштів (днів) | Чо | 365/ Ко | 365 / Ко |
| 5 | Коефіцієнт оборотності запасів ( обороти) | Коз | Собівартість реалізації / Середні запаси | Форма 2(040) /Форма1 (100+120+130+140 +150) |
| 6 | Період одного обороту запасів(днів) | Чз | 365 / Коз | 365 / Коз |
| 7 | Коефіцієнт оборотності дебіторської заборго-ваності(обороти) | Кдз | Чиста виручка від реалізації / Середня дебіторська заборгованість | Форма 2(035) /Форма1 (050+170+180+190+200+210) |
| 8 | Період погашення дебіторської заборгованості (днів) | Чдз | 365 / Кдз | 365 / Кдз |
| 9 | Коефіцієнт оборотності готової продукції | Кгп | Чиста виручка від реалізації / Готова продукція | Форма 2(035) /Форма1 (130) |
| 10 | Період погашення кредиторської заборгованості (днів) | Чкз | Середня кредиторська заборгованість *360/ Собівартість реалізації | Форма 1(500+520+530 +550+580) /Форма 2 (040) |
| 11 | Період фінансового циклу (днів) - період обороту коштів | Чфц | Чфц= Чоц - Чкз | Чфц= Чоц – Чкз |
| 12 | Коефіцієнт оборотності власного капіталу(оборотність) | Квк | Чиста виручка від реалізації / Власний капітал | Форма 2(035) /Форма1 (380+430+630) |
Таблиця Д.3
Алгоритми розрахунку показників майнового стану
| № п/п | Показник | Умовне позначення | Формула для розрахунку | Джерела інформації з форм фін звітності |
| ПОКАЗНИКИ МАЙНОВОГО СТАНУ | ||||
| 1. | Частка оборотних виробничих фондів в обігових коштах | Ч овф | Оборотні виробничі фонди/ Оборотні активи | Форма 1 (100+120+270) /Форма1 (260+270) |
| 2 | Частка основних засобів в активах | Ч оз | Залишкова вартість основних засобів / Валюта активів | Форма 1(030) / Форма1 (280) |
| 3 | Коефіцієнт зносу основних засобів | К зн | Знос основних засобів/ Первісна вартість основних засобів | Форма 1(032) / Форма1 (031) |
| 4 | Коефіцієнт оновлення основних засобів | К он | Збільшення за звітний період первісної вар-тості основних засобів/ Первісну вартість основних засобів | Форма 1((031к)-(031п)) / Форма1 (031п) |
| 5 | Частка довгострокових фінансових інвестицій в активах | Ч дф | Довгострокові фінансові інвестиції / валюта активів | Форма 1(040+045) /Форма1 (280) |
| 6 | Частка оборотних виробничих активів | Ч ова | Оборотні виробничі фонди/ Валюта активів | Форма 1(100+120+270) /Форма1 (280) |
| 7 | Коефіцієнт мобільності активів | К моб | Мобільні активи / Немобільні активи | Форма 1(260+270) /Форма1 (080) |
Таблиця Д.4
Алгоритми розрахунку показників фінансової стійкості
| Показник | Умов. позн. | Формула для розрахунку | Джерела інформації з форм фінзвітності | |
| ПОКАЗНИКИ ФІНАНСОВОЇ СТІЙКОСТІ | ||||
| 1 | Власні обігові кошти (робочий, функціонуючий капітал) | Рк | Оборотні активи – короткострокові зобовязання | Форма 1(260+270-620-630) |
| 2 | Коефіцієнт забезпечення оборотних активів власними коштами | Кзвк | Власні обігові кошти / оборотні кошти | Форма 1(380+430-080) /Форма1 (260+270) |
| 3 | Маневреність робочого капіталу | Мрк | Запаси / Робочий капітал | Форма 1(100+120 +130+140+150) /Форма1 (260+270-620-630) |
| 4 | Маневреність власних обігових коштів | Мвок | Грошові Кошти / Власні обігові кошти | Форма 1(230+240) /Форма1 (380+430-080) |
| 5 | Коефіцієнт забезпечення власними обіговими коштами запасів | Кзап | Власні обігові кошти / Запаси | Форма 1(380+430-080) /Форма1 (100+120 +130+140+150) |
| 6 | Коефіцієнт покриття запасів | Кпз | "Нормальні" джерела покриття запасів / Запаси | Форма 1(380+430 +480-080+500+520+530+540) /Форма1 (100+120 +130+140+150) |
| 7 | Коефіцієнт фінансової незалежності (автономії) | Кавт | Власний капітал / Валюта Пасивів балансу | Форма 1(380+430+630) /Форма1 (640) |
| 8 | Коефіцієнт маневреності власного капіталу | Км | Власні обігові кошти / Власний капітал | Форма 1(380+430+630-080) /Форма1 (380+430+630) |
| 9 | Коефіцієнт концентрації позикового капіталу | Кпк | Позиковий капітал/Валюта пасивів | Форма 1(480+620) /Форма1 (640) |
| 10 | Коефіцієнт фінансової стабільності ( фінансування) | Кфс | Власні кошти / позикові кошти | Форма 1(380+430+630) /Форма1 (480+620) |
| 12 | Коефіцієнт фінансової стійкості | Кфст | Власний капітал + довгострокові зобов ' язання / Валюта пасивів | Форма 1(380+430+480 +630) /Форма1 (640) |
Додаток Е
Результати розрахунків показників фінансового стану ПП “Монолит Пласт " за 2005 –2007 роки
Таблиця Е.1

Таблиця Е.2

Таблиця Е.3

Похожие работы
-
Чому я обрав спеціальність міжнародна економіка
РЕФЕРАТ На тему: « Чому я обрав спеціальність міжнародна економіка Виконав: Студент І курсу ОГЕУ (ФМЕ) Непомнящий О.О. Викладач Професор Козак Ю.Г. Одеса 2008 рік.
-
Фактори економічного розвитку нових індустріальних країн на прикладі країн-драконів Південно-
МІНІСТЕРСТВО ОСВІТИ І НАУКИ УКРАЇНИ ДЕРЖАВНИЙ ВИЩИЙ НАВЧАЛЬНИЙ ЗАКЛАД «КИЇВСЬКИЙ НАЦІОНАЛЬНИЙ ЕКОНОМІЧНИЙ УНІВЕРСИТЕТ імені ВАДИМА ГЕТЬМАНА» Кафедра міжнародної економіки
-
Види економічного аналізу за відношенням до користувачів, за просторовою та галузевою ознаками
Значення класифікацій видів економічного аналізу. Зовнішній і внутрішній аналіз. Виділення міжгосподарського (регіонального) і внутрішньогосподарського економічного аналізу. Внутрішньогосподарський аналіз - спосіб дослідження причинно-наслідкових зв’яків.
-
Інноваційний розвиток економіки регіонів
Проблеми впровадження в економіку нових ідей, розвитку нових технологій, які дають можливість створювати більш ефективні виробництва. Державні стратегії та програми розвитку регіональної економіки. Інноваційний розвиток як чинник економічного зростання.
-
Розрахунок вартості обєкта права інтелектуальної власності
Міністерство освіти і науки України Тернопільський національний економічний університет Вінницький інститут економіки Кафедра економіки підприємств і корпорацій
-
Держава та її соціально економічні функції
Особлива роль держави у суспільстві. Розкриття співвідношення між функціонуванням ринку як саморегулюючого механізму і мірою впливу держави та її органів на економічні процеси. Характеристика політичної, соціальної, міжнародної та економічної функцій.
-
Управління і структура підприємств
МІНІСТЕРСТВО ОСВІТИ ТА НАУКИ УКРАЇНИ ЗАКАРПАТСЬКИЙ НАЦІОНАЛЬНИЙ УНІВЕРСИТЕТ ФАКУЛЬТЕТ ЕКОНОМІКИ КАФЕДРА ЕКОНОМІЧНОЇ ТЕОРІЇ РЕФЕРАТ з дисципліни
-
Поняття і зміст підприємницької діяльності
Види підприємницької діяльності: виробнича, комерційна, фінансова, посередницька, страхова. Фізична особа - підприємець. Державне регулювання підприємницької діяльності. Правова база України. Рівність прав усіх суб’єктів підприємництва.
-
Критерії та показники економічної безпеки підприємства
МІНІСТЕРСТВО ОСВІТИ І НАУКИ УКРАЇНИ ЧЕРНІВЕЦЬКИЙ НАЦІОНАЛЬНИЙ УНІВЕРСИТЕТ ІМЕНІ Ю. ФЕДЬКОВИЧА Тести по темі: Критерії та показники економічної безпеки підприємства
-
Україна як суб єкт міжнародного економічного права
ДЕРЖАВНА ПОДАТКОВА АДМІНІСТРАЦІЯ УКРАЇНИ НАЦІОНАЛЬНА АКАДЕМІЯ ПОДАТКОВОЇ СЛУЖБИ УКРАЇНИ РЕФЕРАТ З КУРСУ «МІЖНАРОДНЕ ЕКОНОМІЧНЕ ПРАВО» на тему: Україна, як суб’єкт міжнародного економічного права

