Referat.me

Название: Оживление ипотечного рынка, международный опыт и Российская практика

Вид работы: реферат

Рубрика: Экономика

Размер файла: 48.38 Kb

Скачать файл: referat.me-385677.docx

Краткое описание работы: Глава I. Основные теоретические аспекты ипотечного кредитования Понятие ипотека, ипотечное кредитование Проанализировав все аспекты ипотеки можно выделить несколько формулировок, характеризующих данное понятие:

Оживление ипотечного рынка, международный опыт и Российская практика

Глава I. Основные теоретические аспекты ипотечного кредитования

1.1 Понятие ипотека, ипотечное кредитование

Проанализировав все аспекты ипотеки можно выделить несколько формулировок, характеризующих данное понятие:

Таблица 1

Формулировка Источник информации
1 Залог предприятия, строения, здания, сооружения, иного объекта, непосредственно связанного с землей, вместе с земельным участком или правом пользования им называется ипотекой

Финансирование (электронный учебник)

Кошечкин С.А.

2 Разновидность имущественного залога, служащего обеспечением исполнения денежного обязательства с целью получения ипотечной ссуды. Деньги кредит банки, А.А. Казимагомедов, А.А. Гаджиев, издательство Экзамен Москва 2007
3 Один из способов обеспечения обязательства недвижимым имуществом, при котором залогодержатель имеет право в случае неисполнения залогодателем обязательства получить удовлетворение за счет заложенной недвижимости. Банковское дело под редакцией д.э.н. , профессора
О.И. Лаврушина, Москва Финансы и статистика 2005
4 Залог недвижимости для обеспечения денежного требования кредитора (залогодержателя) к должнику (залогодателю). Банки и банковское дело, учебное пособие под редакцией. д.э.н. проф. И.Т. Балабанова, С-Петербург, Москва, Харьков, Минск 2003.doc

Все определения сводятся к одному, термин «ипотека» обозначает залог недвижимого имущества, при котором недвижимое имущество остается в собственности должника и применяется в законодательствах различных стран для обозначения трех следующих правовых категорий:

- залога;

- закладной;

- ипотечного кредита.

Следует различать понятия ипотека и ипотечный кредит, при котором кредит выдаётся банком под залог недвижимого имущества, включая земельную собственность. Данный кредит является одной из форм кредитования, активно используемых в рыночной экономике. Земельная собственность вовлекает в систему рыночных кредитных отношений предприятия, организации, фирмы, население, имеющие в собственности приватизированные квартиры, земельные наделы, жилой фонд и прочую недвижимость.

Ипотечный кредит играет большую роль в замещении государственных источников финансирования потребностей предприятий, фирм и жилищного строительства банковским кредитом. Его развитие способствует наращиванию инвестиционной активности хозяйствующих субъектов. Также ипотечное кредитование рассматривается государством в качестве механизма, способного решить задачи огромной социальной важности в масштабах страны: жилищную проблему, проблему финансирования капитального строительства и др. Для абсолютного большинства рядовых граждан ипотечное кредитование представляется единственно возможным источником решения извечного для россиян жилищного вопроса.

Основными правовыми актами, которые регулируют вопросы ипотеки в Российской Федерации, являются Гражданский кодекс Российской Федерации и Федеральный закон «Об ипотеке (залоге недвижимости)» от 16 июля 1998 года № 102-ФЗ. А также нормативно-правовые акты, в которых затрагивается вопрос об ипотеке.

При получении кредита на покупку недвижимого имущества сама приобретаемая недвижимость поступает в ипотеку (залог) банку как гарантия возврата кредита.

Ипотекой является также залог уже существующего недвижимого имущества собственника для получения им кредита или займа, которые будут направлены либо на ремонт или строительство, либо на иные нужды по усмотрению заемщика-залогодателя.

Ипотечный кредит — одна из составляющих ипотечной системы.

Система ипотечного жилищного кредитования— это комплекс взаимосвязанных субъектов, объектов и обеспечения ипотечных кредитов, взаимодействующих между собой на единой организационно-экономической основе.

К субъектам ипотечного жилищного кредитования можно отнести:

а) Заемщик (залогодатель) – сторона, получающая кредит, при этом являющаяся собственником заложенного недвижимого имущества.

б) Кредитор (залогодержателя) – сторона, выдающая кредит и принимающая имущество в залог.

Основные кредиторы ипотечных кредитов в России - универсальные коммерческие банки. В западных странах ипотечными кредиторами, как правило, выступают специализированные ипотечные институты.

в) Риэлторские компании;

г) Ипотечные брокеры;

в) Страховые компании;

г) Инвесторы;

в) Правительство;

и т.д.

Объектами ипотечного кредитования могут быть приобретение и обустройство земли под жилищное строительство; строительство и реконструкция недвижимости; приобретение недвижимого имущества, залог недвижимости под определенные цели.

Предметом залога, на основании статьи 5 Закона об ипотеке может быть заложено недвижимое имущество, указанное в пункте 1 статьи 130 Гражданского кодекса Российской Федерации, права, на которое зарегистрированы в порядке, установленном для государственной регистрации прав на недвижимое имущество и сделок с ним, в том числе:

1) земельные участки, за исключением земельных участков, указанных в статье 63 настоящего Федерального закона;

2) предприятия, а также здания, сооружения и иное недвижимое имущество, используемое в предпринимательской деятельности;

3) жилые дома, квартиры и части жилых домов и квартир, состоящие из одной или нескольких изолированных комнат;

4) дачи, садовые дома, гаражи и другие строения потребительского назначения;

5) воздушные и морские суда, суда внутреннего плавания и космические объекты.

Ипотека не допускается в отношении:

1) части земельного участка, который с учетом его размера не мо­жет быть использован в качестве самостоятельного участка с соблюдением назначения земель соответствующей категории;

2) жилых комнат, составляющих часть дома или квартиры соб­ственника этого дома или квартиры;

3) ф предприятия, в отношении которого возбуждено дело о банкротстве либо принято решение о ликвидации или реорганизации. (глянуть в законе)

Ипотека устанавливается на имущество, которое принадлежит залогодателю на правах собственности или хозяйственного ведения.

Имущество, на которое установлена ипотека, остается у залогодателя в его владении и пользовании.

На имущество, находящееся в общей совместной собственности (без определения доли каждого из собственников в праве собственности), ипотека может быть установлена при наличии согласия на это всех собственников. Согласие должно быть дано в письменной форме.

Договор об ипотеке заключается в письменном виде и должен быть нотариально удостоверен. В случае неисполнения основного обязательства по договору об ипотеке, взыскание обращается только на заложенное недвижимое имущество, а залогодержатель имеет преимущественное право на удовлетворение своих требований перед другими кредиторами должника.

В продолжение темы ипотечного кредитования можно выделить ряд его особенностей:

1) Кредит выдается на длительный срок (до 50 лет);

2)Процентная ставка по ипотечному кредиту ниже, чем по другим кредитным продуктам банков;

3) Заемщик ипотечного кредита должен иметь в наличии так называемый «первоначальный взнос» — часть стоимости недвижимости, приобретаемой на средства ипотечного кредита. Размер первоначального взноса обычно влияет на срок и процент по кредиту и варьируется 0 % до 70 % стоимости ипотечной недвижимости;

4) Банк выдвигает к заемщику ипотечного кредита ряд специальных требований: о подтверждении дохода, о наличии непрерывного стажа работы и пр.

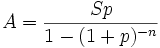
5) Погашение ипотечного кредита осуществляется, как правило, ежемесячными платежами, которые могут погашаться двумя способами – дифференцированными и аннуитетными платежами Первый способ (применяется в основном Сбербанком) состоит в том, что заемщик ежемесячно вносит сумму, в которую входит доля основной суммы кредита и процент от остатка суммы долга. Второй предусматривает погашение кредита одинаковыми ежемесячными суммами (аннуитетами), которые рассчитываются по следующей, формуле:

, где

A — сумма аннуитета, S — сумма кредита, p — процентная ставка за период в долях, n — количество периодов

Ипотечный кредит можно погашать досрочно. При этом уменьшается собственно сумма кредита и размер аннуитета. Ограничением является установленный банком срок, составляющий обычно полгода от даты получения средств, и иногда (редко) – комиссия в размере 1-2% от суммы досрочного платежа. Также бывает, что банки устанавливают нормативы внесения досрочных платежей, например суммами кратными 30 тыс. рублей.

Разница состоит в том, что при дифференцированных платежах заемщику в первые годы обслуживания кредита приходится делать крупные ежемесячные выплаты. Аннуитет облегчает выплаты, однако при полном сроке погашения кредита банк получит вдвое больше средств, чем в случае с дифференцированными платежами (соотношение примерно 3,4:2,3 суммы кредита).

Как показывала практика докризисных лет, большинство кредитов гасились досрочно. Более того, люди старались брать деньги на максимально длительный срок, что уменьшает аннуитетные выплаты и увеличивает возможности досрочного погашения долга. В нынешних условиях роста процентных ставок и снижения сроков кредитования досрочное погашение ипотечного кредита стало более проблематичным

До полного погашения суммы основного долга и процентов по ссуде заемщик не имеет права без письменного согласия банка продать или переуступить имущественные права на недвижимое имущество третьему лицу.

Безусловно, перед тем, как начать выплачивать проценты, кредит необходимо получить, что само по себе тоже является достаточно трудоемкой процедурой. Для получения кредита требуется, чтобы кредитор (банк) одобрил как закладываемое имущество, так и финансовую состоятельность получателя кредита. В первом случае это называется аккредитацией предмета залога, во втором – заемщика. Банк должен обезопасить себя от возможного дефолта, то есть риска неспособности или нежелания заемщика платить по кредиту (такая ситуация именуется дефолтом), в результате чего придется продать заложенную недвижимость должника.

Для аккредитации предмета залога необходимо изучить всю техническую и правовую документацию объекта недвижимости, что предоставляется на рассмотрение кредитной комиссии банка. Еще одним необходимым моментом в этой связи является оценка рыночной стоимости объекта залога, которой, как правило, занимаются частные компании, имеющие соответствующее образование, сертификат и членство в само регулируемой организации.

Также банк должен обезопасить себя от возможного дефолта, то есть риска неспособности или нежелания заемщика платить по кредиту (такая ситуация именуется дефолтом), в результате чего придется продать заложенную недвижимость должника.

Для этого существует специальная операция, под названием Андеррайтинг — оценка возможностей Клиента по обслуживанию выданного ипотечного кредита, то есть расчет суммы кредита, который заёмщик сможет выплатить, с учетом особенностей самого заёмщика (тип трудоустройства, ежемесячный доход и возможность его подтверждения, наличие созаёмщиков или поручителей, состав семьи, наличие несовершеннолетних иждивенцев, др.). Клиент проходит процедуру андеррайтинга дважды: при обращении к ипотечному брокеру (её проводит андеррайтер брокерской компании) перед заключением договора на оказание услуг, а также в банке (проводят кредитные аналитики банка) при рассмотрении заявления на выдачу ипотечного кредита.

Коэффициент Описание Пояснение
П/Д Платеж/Доход отношение платежей по кредиту к доходу заемщика за соответствующий период
О/Д Обязательства/Доход отношение обязательных расходов заемщика к общему совокупному учитываемому доходу
К/З Кредит/Залог отношение суммы запрашиваемого кредита к стоимости приобретаемого имущества
К/Л Кредит/Ликвидационная стоимость отношение суммы предоставляемого кредита к минимальной цене продажи недвижимого имущества

Эти коэффициенты разрабатывались банками и Федеральным агентством по ипотечному жилищному кредитованию на основе опыта ипотечного кредитования США и европейских стран. Такой набор показателей отражает адекватную картину платежеспособности заемщика, и позволяют стандартизировать процедуру одобрения и выдачи ипотечного кредита. Для каждой банковской ипотечной программы эти коэффициенты заранее утверждены, но в некоторых случаях могут корректироваться (например, по возрасту, нестандартному объекту кредитования, по способу подтверждения дохода и т. д.). П/Д, О/Д и К/З могут варьироваться в зависимости от субъекта РФ, предпочтений того или иного банка и размеров средней оплаты труда.

П/Д = не более 40 %

О/Д = не более 60 %

К/З = не менее 30 % и не более 90 %

После расчета по этим коэффициентам часто выбирается минимальная сумма, которая предварительно и будет являться суммой кредита. Одним из основных факторов, влияющих на сумму кредита, является доход и способ его подтверждения. Многие банки понимают, что не все доходы потенциальных заемщиков полностью отражаются в бухгалтерском учёте работодателя и, соответственно, разрабатывают различные способы подтверждения благосостояния, такие как: справка о доходах свободной формы или на бланке кредитной организации, устным подтверждением руководства организации-работодателя, текущими подтверждаемыми расходами, либо анализом доходов организации для руководителей, ИП и крупных акционеров. Отметим, что хотя правила андеррайтинга являются стандартными, на практике они часто определяются каждым банком в отдельном порядке. Для сокращения срока рассмотрения заявки Кредитным комитетом банка брокер обычно знает все правила и предпочтения андеррайтеров банка, и сводит к минимуму время их работы над кредитным делом.

Если же заемщик получил кредит и добросовестно выплачивает проценты, все равно, в жизни случаются события, которые заставляют заемщика отказаться от купленной с использованием ипотечного кредита недвижимости. Такая ситуация может наступить в случае потери заработка, необходимости внесения дополнительных денег или изменении житейских условий, при которых ипотека становится для заемщика ненужной.

Для таких случаев существует давно отработанная схема. Заемщик подает заявление по досрочному полному погашению кредита. Банк проводит расчеты и выставляет недвижимость на продажу, либо же заемщик самостоятельно продает недвижимость, которая находится в обременении банка и на вырученные средства гасит оставшуюся задолженность.

1.2 История ипотечного кредитования

Слово «Ипотека» имеет греческие корни и вошло в обиход еще в VI веке до нашей эры. Афинский реформатор Солон в 594 г. до н.э. осуществил свои знаменитые реформы, в результате которых была введена свобода завещания и отменены поземельные долги. До этого в Афинах залогом подобного рода обязательств была личность самого должника, который в случае невозможности заплатить долг мог попасть рабство. Архонт Солон предложил способ весьма прогрессивного обращения личной ответственности в имущественную.

На пограничной меже земельного участка должника устанавливался столб с надписью, что данное имущество служит обеспечением претензий на определенную сумму, указывались имена должника и кредитора, время, когда долг должен быть возвращен. Именно такой столб и назывался «ипотекой» (подставкой). Ставился такой столб на участке земли в знак запрета заемщику вывозить с него все приведенное, привезенное и принесенное. Впоследствии это слово стало употребляться для обозначения любого залога недвижимости под кредит. Позже для этой цели стали использовать особые книги, называвшиеся ипотечными.

Ипотека существовала и в Древней Греции, и в Древнем Риме, и в средневековой Европе. Уже в Древней Греции обеспечивалась гласность, которая позволяла каждому заинтересованному лицу беспрепятственно удостовериться в состоянии данной земельной собственности.

Новое развитие институт ипотеки получил в Римской империи. В I в. н. э. создавались ипотечные учреждения, которые выдавали кредиты под залог имущества частным лицам.

В период правления императора Антония Пия (II в. н. э.) было разработано особое законодательство для ипотечных банков, которые существовали наряду с другими специализированными банками, а также иными кредитными учреждениями — прообразами сберкасс и сберегательных ассоциаций.

Государство часто оказывало большую поддержку ипотечному кредитованию. Так, при императоре Траяне были созданы специальные фонды для поддержки вдов и сирот, предоставлявшие ипотечные кредиты под 5% годовых.

Институт ипотеки в течение относительно небольшого времени прошел путь эволюции от фидуции (от лат. fiducia сделка на доверии, доверительная сделка) до более прогрессивной стадии — пигнуса (от лат. pignus — неформальный залог) и далее — до ипотеки.

При фидуции объект залога переходил в собственность кредитора, причем последний имел право либо возвратить недвижимость должнику после исполнения договора, либо продать ее, отказавшись от денежного требования.

Договор пигнуса предусматривал передачу недвижимости уже не в собственность, а во владение ею как гарантию кредитного обязательства. Кредитор не имел права оставлять предмет залога у себя и мог продать имущество только в случае невыполнения взятых должником обязательств, возвращая разницу между продажной ценой и остатком долга заемщику.

Ипотека в Средневековье

Становление классического института ипотеки было связано со сменой политико-экономических условий того времени: ослабление рабовладельческого хозяйствования и массовая передача земель арендаторам. Первоначально новая форма залога распространялась на орудия труда, которые арендаторы земель в силу объективных причин не могли передать собственникам земель (латифундистам). Позднее в ипотеку начала передаваться и недвижимость.

При ипотеке имущество оставалось во владении должника, а кредитор получал право истребовать закладываемую вещь с последующей ее продажей с торгов и компенсацией из вырученной суммы остатка долга заемщика. Примерно в таком виде институт залога существует до настоящего времени.

Наряду с ипотекой, возникавшей на основании договоренности сторон, вводились различные легальные ипотеки, действовавшие на основании закона (ипотека инвестора на инвестиции, ипотека на имущество неплательщика налога, ипотека на имущество опекуна, ипотека жены на имущество мужа и т.д.). Появились ипотеки, субординированные по времени возникновения (в силу договора) или по степени их важности (в силу закона). Развивался последующий залог одной и той же недвижимости нескольким лицам.

Роль государства в соблюдении прав участников ипотечных сделок была велика. Достаточно сложные по структуре сделки требовали контроля и регулирования, отлаженной регистрационной системы. В связи с ослаблением этих государственных функций с закатом эпохи Древнего мира, институт ипотеки перестал существовать в течение нескольких веков, прежде чем появиться вновь в средневековом европейском законодательстве.

В Германии она появляется не ранее XIV столетия; во Франции с конца XVI века действовала негласная ипотека. Ипотека распространялась на недвижимость (как правило, имение), независимо от смены владельца и уже тогда являлась надежным вещным правом, но только после внесения специальной записи об ипотеке в особую книгу.

В законодательстве европейских стран ипотека имеет уже две характерные черты. Во-первых, она применима только к недвижимости; во-вторых, продажа заложенного имения производится не самим кредитором, а при посредстве суда. Для кредитора ипотека становится самым верным средством получить "обеспечение по долгам", не принимая в свое владение имение должника и не опасаясь конкуренции кредиторов.

Ипотека становится надежным вещным правом, но только после внесения специальной записи об ипотеке в особую книгу. Средневековые кодексы сохранили определение, что "внесенная ипотека по самой своей природе неделима, она основана на праве получения удовлетворения". "Hypotheka est tota in toto, et tota in qualibet parte" - право получения удовлетворения остается на целом предмете, обремененном ипотекой, пока существует какая-либо часть обязательства. Отдельная продажа частей не лишала кредитора права требовать удовлетворения из них долга в полной сумме. Ипотека распространялась на недвижимость (как правило, имение), независимо от смены владельца.

Ипотечное право самостоятельно существовать не может. Если нет права, в обеспечении которого ипотека установлена, то не может быть и ипотеки, ибо нет предмета, подлежащего обеспечению. Недействительность или прекращение требования влечет за собой недействительность или прекращение ипотеки, но не наоборот. Это значение ипотеки признано не только изначально римским правом, но и рядом законодательств европейских стран.

По римскому праву ипотека распространялась на требование и на все его составляющие, включая проценты с ипотеки и издержки, понесенные кредитором с целью получения удовлетворения. По ипотечному законодательству ряда стран в XVIII - XIX столетиях капитальная сумма требования определялась ее провозглашением (в соответствии с гласностью), ее размером (фиксированном в ипотечной книге), наросшими на сумму процентами, но при условии, что они обозначены в книге записей.

Современный ипотечный кредит возник в Германии. Первый государственный ипотечный банк создан в Силезии в 1770 г. для оказания кредитной поддержки помещикам. Для привлечения кредитных ресурсов банк выпускал закладные — документ о залоге заемщиком недвижимого имущества, дающие кредитору право продажи заложенного имущества с торгов при неуплате заемщиком долга в срок.

В России первые попытки организации ипотечного кредита предприняты с середины XVIII в. — 13 мая 1754 г. создан Государственный банк для дво­рянства, преобразованный в 1786 г. в Государственный заемный банк, к которому в 1802 г. присоединен, созданный в 1797 г., вспомогательный для дворянства банк. Данные банки с точки зрения формы собственности — казенные, а по характеру деятельности - в основном учреждения ипотечного кредита.

У дворянства возникла потребность в долгосрочных денежных ресурсах, появился и их первичный источник в лице государства. Через свои банки оно предоставляло ссуды под залог помещичьих имений вместе с крепостными «душами».

Не обошлось без ошибок и некоторой эйфории, вызванной видимой легкостью получения денег на длительный срок. Зачастую дворяне использовали полученную ссуду для покупки предметов роскоши, заграничных путешествий, обучения детей. К тому же ссуды выдавались по сути дела государственными чиновниками, которые не всегда заботились о преумножении богатства государства и считали, что государственная казна неисчерпаема. Однако деятельность этих банков оказалось малоуспешной, т.к. помещики не возвращали ссуды, не платили и процентов. Предписанная законом продажа просроченных закладных не принимались, не было правильного счетоводства, а поэтому представленные отчеты составлялись приблизительно.

И как результат - в соответствии с повелением Александра II от 16.04.1859 г. и Имперским указом правительствующему Сенату от 1 сентября того же года прекращена выдача ссуд из государственных кредитных учреждений под залог недвижимости. К этому времени Россию уже можно было считать с определенной степенью условности страной с рыночной экономикой. Начался долгий и трудный процесс формирования новых структур системы ипотечного кредита.

С начала 70-х годов XIX столетия в стране действовало 11 акционерных ипотечных (земельных) банков. История работы этих финансовых учреждений тесно переплетена с социально-экономической жизнью страны на рубеже XIX — XX столетий. Их роль в развитии кредитной системы и, как следствие, взлет российской экономики к 1913 году до сих пор недостаточно пропагандировались, хотя именно акционеры этих банков проводили масштабные операции с землей и недвижимостью.

Все большее число российских предпринимателей из дворянского и купеческого сословий получали ссуды под залог фабрик, горнозаводских имений, строений производственного назначения. Крестьянский поземельный банк, приступивший к операциям 10.04.1883 г., имел право проводить следующие операции:

> выдачу крестьянам ссуды под покупаемые ими (по добровольному согла­шению с владельцами) земли;

> выдаваемые кредиты под купленные крестьянами без содействия банка земли для погашения обеспеченных на этих землях долгов по их покупке;

> ссуды выдавались не только дворянам, купцам, крестьянам, но и сельским обществам, отдельным поселениям, не составляющим целых сельских обществ, проживающим в имениях мещанам, постоянно занимающимся земледелием.

Банк выдавал крестьянам долгосрочные ссуды сроком до 35 лет. За 1883 — 1895 годы банк выдал 15 тысяч ссуд на общую сумму 82 миллиона рублей.

Государственный дворянский земельный банк (основан в 1885 году) поддерживал помещичье землевладение путем выдачи дворянам ипотечных ссуд сроком на 66 лет в размере 60 процентов стоимости дворянских имений. Банк оказал помещикам финансовую поддержку, выдав ссуды в 1887 году на 69 миллионов рублей, а в 1890 году — уже свыше 600 миллионов рублей.

В конце XIX века в Санкт-Петербурге основные операции по ипотечным бумагам проводили Международный, Учетный и Ссудный банки, а с 1903 года к ним активно присоединился Азовско-Донской банк.

В Москве работало 8 основных государственных банков. Московский земельный банк в поддержку ипотеки в 1891 году организует московское домовладельческое общество, на которое возлагают специальные функции контроля за недвижимостью. В случае «неисправности» должника его владения переходят в собственность этого общества.

С 1912 года основным координатором по ипотеке становится Московский народный банк. Большой популярностью пользовались ссудо-сберегательные и ссудные товарищества. В первом десятилетии XX века они объединили интересы 8 миллионов человек. В России еще существовала практика заклада домовладельцами своих строений в Московском городском кредитном обществе. Получаемая ими ссуда позволяла расширить владение и построить новые дома, квартиры в которых сдавались внаем.

Частную ипотеку возглавляли 10 акционерных земельных банков, выдав ссуды под землю и городскую недвижимость, при этом на четко определенной территории. Они предоставляли кредит в виде реализуемых на бирже закладных листов (особого рода ценных бумаг, действовавших на ипотечном рынке, имевших колеблющийся курс). В случае «неисправности» должника имущество «уходило» с публичных торгов. Акции и закладные листы ипотечных банков были излюбленным средством помещения капиталов для российских предпринимателей и рантье.

В годы октябрьского переворота ипотечные банки в России были полностью ликвидированы.

Элементы российской ипотеки были взяты разными странами для применения и дальнейшего развития, поэтому многое из современных западных новаций сегодня воспринимается как “чужое”, несмотря на истинно российские корни.

В последнее 15-летие вновь заметно растет потребность в развитии такого вида банковских операций, как ипотечное кредитование

1.3. Виды ипотечного кредитования/ипотеки

Условия ипотечного кредитования непосредственно различаются между собой, это может зависеть от многих признаков, законодательство той или иной страны, условия банка, а также различие внутри банковских программ, от целей заемщика и пр. Однако, говоря непосредственно о видах, в данной работе, предлагается классифицировать ипотечное кредитование, по предмету залога

Как уже обсуждалось выше, при ипотечном кредитовании кредит, возможно, брать как на приобретаемую недвижимость, при котором она переходит в залог к кредитору, так и под залог недвижимости уже имеющейся в собственности.

В первом случае все предельно ясно, вы приобретаете квартиру, дом, земельный участок или прочую недвижимость в собственность, при этом она поступает в ипотеку (залог) банку, как некий гарант вашей кредитоспособности. В случае, если вы по какой-либо причине не сможете выплачивать проценты по кредиту, банк в праве продать заложенную недвижимость и тем самым погасить ваш долг.

Более подробно рассмотрим случай залога уже имеющейся недвижимости. Когда ипотечное кредитование в России только появилось, кредиты выдавались лишь только под залог приобретаемой недвижимости. Но брать кредит под залог приобретаемой недвижимости не всегда удобно. Вот несколько примеров, когда кредит под залог имеющейся недвижимости становится более выгодным:

- Кредит на развитие бизнеса.

Можно получить кредит «на развитие бизнеса», под одни процентные ставки, а можно получить ипотечный кредит «под залог имеющейся квартиры», процентные ставки по которому будут меньше. Данный способ получения кредита, на сегодняшний день достаточно популярен у бизнесменов.

- Отсутствие первоначального взноса:

Сейчас банки кредиты без первоначального взноса практически не дают. Но можно получить кредит под залог имеющейся недвижимости. Допустим, заемщику нужна квартира, стоимостью 3 000 000 рублей, а у заемщика есть квартира стоимостью 4 500 000 рублей. Заемщик может заложить имеющуюся квартиру, и получить до 70% её стоимости, то есть, в нашем примере, до 8 000 000 х 70% = 3 150 000 рублей.

Нужная заемщику квартира стоит 3 000 000 рублей, а кредит может быть до
3 150 000 рублей. Отсюда видно, что данного кредита хватает, чтобы купить нужную квартиру, не имея наличных денег на первый взнос.

- Покупка недвижимости за рубежом:

В ряде стран кредиты россиянам не дают. Однако, получив кредит под залог имеющейся недвижимости, данными денежными средствами можно воспользоваться для приобретения зарубежного жилья, обойдя тем самым волокиту с иностранными банками.

- Более низкая процентная ставка:

Иногда при покупке земли, коттеджа, квартиры в новостройке, процентная ставка
по кредиту выше, чем ставка по кредиту под залог имеющегося жилья.

Несмотря на ряд преимуществ, не стоит забывать о рисках, получаемых взамен.

Если говорить о вложении полученных от залога квартиры средств в развитие бизнеса, то начинающим бизнесменам здесь нужно крепко думать. Во-первых, надо иметь в виду только тот бизнес, приносящий постоянную уверенную прибыль и, во-вторых –
сто процентную уверенность, того, что с этим бизнесом ничего не случится. Иначе на память приходят суровые 90-е годы, когда не просчитавшие свои ресурсы бизнесмена лишались квартиры. Потеря бизнеса страховым случаем не является, поэтому тут страховая компания не поможет и со своей проблемой бизнесмен останется один на один, тем более, если заложенная квартира является единственным жилье.

Что касается приобретения недвижимости за рубежом или покупки новостройки, здесь ситуация менее рискованная, так как под залог одной недвижимости,

вы приобретаете достаточно дорогой и ликвидный объект, что существенно снижает риски.

Кредиты, выдаваемые под залог, имеющегося недвижимого имущества могут быть как целевые , так и нецелевые . Целевые кредиты - те, которые выдаются на определенные цели. Например, когда заемщик берет кредит хоть и под залог имеющегося квартиры, но на цели приобретения другой недвижимости: квартиры, коттеджа, земельного участка и т.д.

Процентные ставки по таким кредитам обычно ниже, чем по «нецелевым кредитам». Но банку нужно подтверждать целевое использование кредита. Например, купили другую квартиру - принесите документы в банк, чтобы подтвердить, что деньги потрачены по целевому назначению.

Нецелевые кредиты выдаются на различные нужды: принимает банк в залог имеющуюся недвижимость, выдает кредит, и не спрашивает, на что заёмщик собирается потратить деньги. Процентные ставки по таким кредитам обычно выше, но зато не нужно подтверждать целевое использование, выданных кредитных средств.

Само понятие ипотека, по основанию ее возникновения можно разделить на два вида:

- Ипотека в силу закона;

- Ипотека в силу договора.

Ипотека в силу закона (легальная ипотека) — ипотека, возникающая при наступлении определенных фактов, указанных в законе, независимо от волеизъявления сторон в отношении возникновения ипотеки. При переходе права собственности на объект недвижимости от одного лица к другому, точнее при приобретении данного права новым собственником, но при обязательном наступлении определенных законом фактов. Определяющим фактом, в этом случае для ипотеки в силу закона является получение денежных средств на приобретения или строительство объекта недвижимости в кредит или заем.

Ипотека в силу закона возникает в следующих четырех основных и распространенных случаях:

- Приобретение жилых домов, квартир, земельных участков с использованием кредитных средств банка или иной кредитной организации либо средств целевого займа.

- Строительство жилых домов, зданий, сооружений или квартир с использованием кредитных средств банка или иной кредитной организации либо средств целевого займа.

- Продажа в кредит.

- Рента.

В соответствии с п. п. 1, 2 ст. 11 Федерального закона "О государственной регистрации прав на недвижимое имущество и сделок с ним" N 122-ФЗ от 21.07.1997 года (далее – Закон о регистрации) государственная регистрация договора, влекущего возникновение ипотеки в силу закона, является основанием для внесения в Единый государственный реестр прав на недвижимое имущество и сделок с ним записи о возникновении ипотеки в силу закона. При ипотеке в силу закона ипотека как обременение имущества возникает с момента государственной регистрации права собственности на это имущество, если иное не установлено договором.

Согласно п. 27 Инструкции о порядке государственной регистрации ипотеки объектов недвижимого имущества, утвержденной Приказом Министерства юстиции Российской Федерации N 213 от 15.06.2006, в случае, если из правоустанавливающего документа и иных представленных на государственную регистрацию права (перехода права) документов невозможно установить, что объект недвижимого имущества является предметом ипотеки, возникающей на основании закона (например, в договоре купли-продажи не указано, что данный объект приобретается за счет кредитных или заемных средств и т.д.), государственная регистрация ипотеки в силу закона осуществляется на основании совместного заявления залогодателя и залогодержателя с приложением документов, подтверждающих возникновение ипотеки на основании закона (кредитного договора, договора займа с условием целевого займа).

Ипотека в силу договора (договорная ипотека) — ипотека, возникающая на основании договора об ипотеке (залоге недвижимости).

Договор об ипотеке не является самостоятельным обязательством, а заключается в обеспечение обязательства по договору займа, кредитному договору или иному обязательству.

Основным отличием легальной ипотеки от договорной является то обстоятельство, что при договорной ипотеке не меняется собственник объекта недвижимости, а ипотека возникает на основании договора об ипотеке . Как прокомментировал адвокат
Санкт-Петербургской городской коллегии адвокатов Антон Лебедев: «Правило достаточно простое – все, что не относится к ипотеке в силу закона является ипотекой в силу договора». В своем материале: «Что такое "ипотека в силу закона" и "ипотека в силу договора"? Он также рассказывает, что ранее нежилая недвижимость была исключением – залог нежилой недвижимости осуществлялся только на основании договора ипотеки. Теперь это исправлено. Также, в случае, когда ипотечный кредит получается под залог уже имеющегося жилья, возникновение ипотеки возможно только на основании договора. Даже если кредит получал один заемщик, а собственниками должны стать два человека, включая заемщика, необходимо заключать договор ипотеки, т.к. возникновение ипотеки в силу закона сразу для двоих будет невозможно.

http://www.ipotek.ru/podzalog.php, http://www.credit.ru/publication/2789

1.4. Рынок ипотеки, модели ипотечного кредитования.

Обычно операции на ипотечном рынке осуществляются в два этапа.

На первом этапе, называемом первичным рынком, происходит предоставление кредитов под залог недвижимости. Этот этап регулирует отношения банка кредитора и заемщика. Поскольку банки предоставляют кредиты на длительный срок и под относительно невысокий процент. У них снижается объем доступных денежных ресурсов, которые необходимы для осуществления повседневной деятельности. Вопрос, как в кратчайшие сроки вернуть себе отданные на длительный срок деньги, называется проблемой рефинансирования выданных кредитов. Для решения этой проблемы возникает вторичный рынок ипотечного кредитования.

Иными словами можно сказать, что рынок ипотечного кредитования включает два направления:

• непосредственную выдачу ипотечных кредитов хозяйствующим субъектам и населению;

• привлечение ресурсов для кредитования (рефинансирование выданных кредитов), включающие в себя продажу ипотечных кредитов на вторичном рынке (ипотечных обязательств).

Первым направлением занимаются в основном ипотечные банки, вторым - финансовые компании, фонды, скупающие активы ипотечных банков, обеспеченные залогом имущества, и затем от своего имени на их базе выпускающие ценные бумаги (облигации). Ценные бумаги ликвидны, поскольку обеспечены недвижимостью и позволяют получать долгосрочный и стабильный доход на инвестиции. По обязательствам некоторых финансовых компаний за рубежом гарантом выступает государство, что повышает их надежность.

Функционирование вторичного рынка ипотечного кредита на жилье обеспечивает ликвидность капитала ипотечных банков, связывает денежную массу в обороте, способствует перераспределению по районам страны и экономическим сферам, стабилизирует процентные ставки по кредитам.

Основные способы рефинансирования кредитов сводятся либо к полной уступке прав по выданному банком ипотечному кредиту специализированной организации (получается два уровня: банк — специализированная организация), либо к выпуску ценных бумаг самим банком, выдавшим кредит.

Когда права требования по кредитам (закладные) уступаются специализированной организации, она объединяет однообразные закладные в пулы и уже под залог пулов выпускает собственные ценные бумаги.

Исходя из способа рефинансирования ипотечных кредитов, были построены базовые модели ипотечного кредитования:

- Двухуровневую или классическую (американскую)

- сбалансировано автономную (Германскую)

- и усеченно-открытую (английскую, испанскую и французскую, итальянскую)

Американская модель ипотечного кредитования заключается в следующем, после того как банк выдал кредиты, он, либо специализированные организации формируют ипотечный пул, т.е. совокупность выданных кредитов (совокупность закладных). На этой стадии через специальные компании, занимающиеся продажей закладных по кредитам продаются ценные бумаги, обеспеченные заложенной недвижиомтью, и вступает в игру государство.

Используя посредничество крупнейших фирм, государство выступает гарантом по ценным бумагам ипотеки. Ценные бумаги (закладные) продаются инвестору, который получает по ним постоянный небольшой доход. Кроме того, должен существовать ряд организаций, типа пенсионных фондов, страховых компаний и пр., которые в обязательном порядке (согласно законодательству) будут приобретать определенное количество ипотечных закладных.

Данная модель организации ипотечной схемы была создана и получила наибольшее развитие в Соединенных Штатах Америки, собственно говоря, поэтому она и называется Американской. Толчком к разработке ипотечной стратегии стала Великая депрессия 30-х годов XX века, тяжелый экономический кризис и упадок жилищного рынка. По инициативе правительства США были созданы специальные правительственные структуры — Федеральная жилищная администрация и Администрация по делам ветеранов, — которые страховали выдаваемые банками ипотечные кредиты. В 1935 году было создано также Агентство финансирования работ по реконструкции и на его основе в 1938 году — ныне всем известная федеральная национальная ипотечная ассоциация, «Фэнни Мэй». Именно она стала той «специализированной организацией», которая характеризует эту модель ипотечного кредитования как двухуровневую. С 1954 г. «Фэнни Мэй» было преобразовано в государственно-частную корпорацию, принадлежащую частично индивидуальным владельцам акций, а частично — Федеральному Правительству. В 1968 г. корпорация была разделена на две корпорации: «Джинни Мэй» и корпорацию, сохранившую свое прежнее название «Фэнни Мэй» и ставшую частной акционерной компанией. «Фэнни Мэй» занимается покупкой ипотечных кредитов, застрахованных и гарантированных Федеральной жилищной администрацией и Управлением по делам ветеранов, а также обычных кредитов, обеспеченных заложенным имуществом в виде односемейных домов или квартир в многоквартирных домах. Она выступает в качестве долгосрочного инвестора в ипотечные кредиты, и ведет программу выпуска ценных бумаг, обеспеченных ипотечными кредитами. В дополнение к своим стандартным программам приобретения кредитов, «Фэнни Мэй» выпускает собственные обязательства (облигации, краткосрочные векселя) и производит покупку ценных бумаг на контрактной основе. «Фэнни Мэй» выпускает гарантированные ценные бумаги, которые обеспечены ссудами из ее собственного портфеля, а также пулами ипотек организованными кредиторами.

Что касается «Джинни Мэй», то она представляет собой полностью государственную корпорацию, действующую в рамках Министерства жилья и городского развития. Используя механизмы вторичного рынка ипотечных кредитов, «Джинни Мэй» предоставляет, а также стимулирует предоставление ипотечных ссуд, в рамках государственных приоритетов оказания помощи тем секторам рынка жилья, для которых недоступны обычные методы кредитования. Специальные программы помощи осуществляются за счет займов из Государственного казначейства, за счет процентов, приносимых собственным портфелем, а также за счет комиссионных за обязательства. Программа гарантирования ценных бумаг финансируется за счет гарантийных взносов и взносов за подачу заявлений, выплачиваемых эмитентами ценных бумаг.

Еще одним правительственным и «квази-правительственным» учреждением, которому была поручена организация и обслуживание вторичного рынка ипотечного кредитования в Соединенных Штатах Америки, является «Фрэдди Мак» созданный Конгрессом США в 1970 году. Деятельность «Фрэдди Мак» направлена на увеличение ликвидности инвестиций в сфере ипотечного бизнеса, а также на создание и развитие фондов ипотечного кредитования путем развития общенационального вторичного рынка обычных ипотечных кредитов в сфере жилья.

Германская модель значительно отличается от американской. Основное расхождение основано на отношении европейцев к недвижимости как к единичному, неповторимому товару. Это в свою очередь приводит к тому, что каждая закладная осложнена множеством подробностей и не поддается унификации, чем ограничивается вторичный рынок закладных. Никто не будет быстро принимать решение о покупке ценной бумаги, условия, реализации которой в каждом конкретном случае различны. Следовательно, для поддержания баланса активов и пассивов немецкие ссудные компании и банки вынуждены активно выступать в качестве эмитентов собственных ценных бумаг и формировать достаточно большой уставной фонд, что в американской модели не обязательно. Кроме того, для привлечения долгосрочных средств в Германии сильно развита система накопительных счетов (или система «стройсбережений»). Суть этой системы заключается в следующем.

Если вы хотите получить кредит в банке на постройку дома, то сначала вы должны открыть специальный «накопительный счет» в ипотечном банке. Как только на счету накопится необходимая часть стоимости будущего жилища (на это уйдет примерно 5-8 лет), вы получаете право на государственную дотацию (до 10% стоимости жилья и льготный кредит для оплаты недостающей части). Погашение кредита обычно длится 10-15 лет. При этом за счет целевых вкладов у кредитных учреждений есть возможность использовать их для выдачи ссуд гражданам, обратившимся за кредитом ранее. Немецкая модель уже на старте предлагает гражданам конкретные типы жилья в районах застройки, концентрируя необходимые средства для освоения территории застройки. Надо отметить, что такая схема ориентирована на людей со средним и даже низким уровнем дохода.

В отличие от классической и одноуровневой модели, в которой средства на ипотеку банки привлекают на открытом финансовом рынке за счет выпуска облигаций, система контрактных стройсбережений является замкнутой, оторванной от финансового рынка. Принцип работы немецкой системы «Стройсбережение», может быть показан на следующем примере: 10 желающих строить, не имея достаточного собственного капитала, начитают сберегать средства. Предположим, каждому для этого нужен 1 млн. рублей, но каждый сберегает в год лишь 100 тыс. Если каждый действует в отдельности, то желающий строить должен ждать примерно 10 лет, пока он сможет начать строительство. В случае если все 10 объединяются в целевой коллектив, первый из них может строить уже через год, если другие предоставляют ему свои сбережения в качестве кредита. На второй год может строить второй, если первый теперь уже вместо сберегательного вклада вносит долю по возврату кредита и т.д. Таким образом, все желающие достигают цели в среднем в два раза быстрее по сравнению с тем подходом, при котором каждый действует единолично. Государство поощряет желание сберегать и использовать собственный капитал путем предоставления дотаций; в Германии эти дотации называются «премии по стройсбережению».

Отличительные особенности Немецкой модели — основанной на системе сбережений от Американской модели — основанной на системе вторичного рынка ипотечных ценных бумаг, приведены в таблице.

Сравнительные параметры моделей кредитования

Сравниваемые параметры Немецкая модель Американская модель
Стоимость привлекаемых банком ресурсов Ниже рыночных Рыночная
Получение кредита После прохождения сберегательной стадии Сразу после обращения в банк
Форма привлеченных ресурсов Сберегательные (депозитивные) счета Обеспеченные ипотекой ценные бумаги
Основная форма государственной поддержки Премиальные выплаты по вкладам Государственные гарантии по закладным
Объемы кредитования Ограничены объемом сбережений Ограничены платежеспособностью заемщика
Нагрузка на бюджет Постоянно На 1 этапе при становлении системы рынка
Сроки кредитования 8 10 лет От 15 до 30 лет Сроки кредитования от 15 до 30
Сумма кредита до 45% от стоимости квартиры До 100% стоимости квартиры

Наиболее простой и одновременно наименее совершенной моделью ипотечного кредитования следует считать модель, которую условно можно назвать "усеченно-открытой" или одноуровневой. Она в основном замыкается в рамках первичного рынка закладных. Использование закладных, полученных ипотечными банками от клиентов по выданным ссудам в рамках такой модели, как правило, не идет дальше их использования в качестве обеспечения части привлекаемых внешних финансовых ресурсов. Усеченная модель может применяться как специализированными ипотечными, так и универсальными банками, имеющими отделы ипотечного кредитования.

Первой принципиальной характеристикой этой модели является то, что совокупная заявка всех клиентов банка на ипотечные ссуды может обеспечиваться банком из произвольных источников, в том числе за счет собственных капиталов, за счет средств клиентов, находящихся на депозитах, за счет межбанковских кредитов и т.п.

Вторая характерная черта данной модели - зависимость процентных ставок по ипотечным ссудам от общего состояния кредитно-финансового рынка в стране. Указанная зависимость оказывает существенное влияние на масштаб и активность банков в сфере ипотечного кредитования в отдельные благоприятные и неблагоприятные периоды.

Относительная простота организации ипотечного кредитования на базе этой модели обусловила достаточно широкое практическое распространение ее во многих странах мира, и особенно в развивающихся странах с неполнотой сформировавшейся инфраструктурой финансового рынка и рынка ценных бумаг. Однако по той же причине она занимает существенную нишу на рынке ипотечных услуг и в развитых странах: Англии, Франции, Испании, Франции, Италии и др.

Следует признать, что с точки зрения экономического прогресса наиболее эффективной выглядит классическая американская модель. Благодаря перепродаже выданных кредитов и развитому рынку ипотечных ценных бумаг ничто не ограничивает рост «ипотечного» капитала. Напротив, в Европе, особенно до организации Евросоюза, относительно небольшие объемы финансовых рынков отдельных стран препятствовали развитию общеевропейского ипотечного рынка, который можно было бы сопоставить по объемам с американским. В последнее время страны Европейского союза объединяют свои усилия для того, чтобы создать конкурентный европейский рынок ипотечных ценных бумаг.

С другой стороны, если рассматривать вопрос с точки зрения юридической организации, культурно-исторических и правовых традиций, классическая модель чужда европейским правовым системам, поскольку основана на иной, англо-саксонской системе права. Поэтому классическая модель в Европе будет выглядеть несколько иначе.

Единая позиция всех участников рынка о том, какую модель ипотечного кредитования лучше внедрять на российском рынке, окончательно не сформирована до сих пор.

Официально в России за основу принята двухуровневая модель ипотечного жилищного кредитования. Это отражено в принятой Концепции развития системы ипотечного жилищного кредитования. По замыслу Правительства российская двухуровневая ипотечная система не предполагает диктата федерального центра и лишь способствует осуществлению контроля, выработке рекомендаций, оказанию методической помощи и внедрению единых общепринятых мировых стандартов и технологий. По мере развития системы в регионах могут создаваться собственные ипотечные операторы, не зависимые от федерального центра.

С введением закона «Об ипотечных ценных бумагах», в котором предусмотрена возможность банкам самостоятельно выпускать закладные, стало возможным активно развивать и одноуровневую модель ипотеки.

Кроме того, активно развиваются жилищно-строительные кооперативы, которые функционируют по образу немецкой системы контрактных стройсбережений.

Поэтому сейчас однозначно сказать о том, какая модель победила в России, невозможно. Скорее всего, на необъятных просторах нашей Родины приживутся обе модели, но в адаптированном под наши условия виде.

Ипотека в каждой отдельно взятой стране, конечно же, имеет свои национальные особенности. Интернациональным остается понятие ипотеки и ипотечного кредитования.

Похожие работы

  • Ипотека земельных участков

    Содержание Введение ……………………………………………………………….....3 1. Теоретические и правовые основы ипотеки земельных участков.…………………………………………………………………………...5

  • Модели ипотечного кредитования

    МИНИСТЕРСТВО ОБРАЗОВАНИЯ И НАУКИ РЕСПУБЛИКИ КАЗАХСТАН Казахский Национальный Университет имени аль-Фараби Факультет «Высшая школа экономики и бизнеса

  • Ипотечное кредитование как вид залогового права

    МИНИСТЕРСТВО СЕЛЬСКОГО ХОЗЯЙСТВА РФ ГОСУДАРСТВЕННЫЙ УНИВЕРСИТЕТ ПО ЗЕМЛЕУСТРОЙСТВУ Кафедра экономики недвижимости Ипотечное кредитование как вид залогового права.

  • Развитие ипотечного жилищного кредитования в современных условиях

    СОДЕРЖАНИЕ ВВЕДЕНИЕ…………………………………………………………… Глава 1. Теоретические аспекты ипотечного кредитования……….. 1.1.Понятие ипотеки и ипотечного кредитования…………………

  • Ипотечное кредитование 4

    Ипотека слово популярное. Она даёт надежду на приобретение комфортного жилья тем категориям населения, которым не под силу приобрести квартиру единовременно.

  • Ипотека – залог недвижимости

    В обеспечение обязательства по договору займа или кредита, иного обязательства (обязательства, основанного на купле-продаже, аренде, подряде, другом договоре) может быть установлена ипотека – залог недвижимости.

  • Ипотечные облигации с покрытием

    ФЕДЕРАЛЬНОЕ АГЕНТСТВО ПО ОБРАЗОВАНИЮ ГОСУДАРСТВЕННОЕ ОБРАЗОВАТЕЛЬНОЕ УЧРЕЖДЕНИЕ ВЫСШЕГО ПРОФЕССИОНАЛЬНОГО ОБРАЗОВАНИЯ ТЮМЕНСКИЙ ГОСУДАРСТВЕННЫЙ УНИВЕРСИТЕТ

  • Жилищное строительство - фактор, определяющий синергетический эффект экономического роста

    Жилищное строительство как приоритетная область народного хозяйства, причины его сокращения в России за последнее десятилетие и основные тенденции. Изменения в структуре источников финансирования жилищного строительства, значение ипотечного кредитования.

  • Ипотечное кредитование

    Ипотека - залог недвижимого имущества для обеспечения денежного требования залогодержателя к залогодателю. Понятие и особенности ипотечного кредитования. Американская и немецкая модели ипотечного кредитования. Участники системы ипотечного кредитования.

  • Ипотека

    Ипотечные банки. Развитие системы ипотечного кредитования. Возрождение ипотеки в России.