Название: Анализ производства и эффективности использования кормов
Вид работы: реферат
Рубрика: Экономика
Размер файла: 163.86 Kb
Скачать файл: referat.me-386898.zip
Краткое описание работы: Содержание стр. Введение…………………………………………………………. Организационно-экономическая характеристика аграрного цеха………………………………………………………………... Анализ производства и эффективности использования кормов
Анализ производства и эффективности использования кормов
Содержание
|
3 4 14 14 17 23 26 27 29 31 38 40 41 |
Введение………………………………………………………….
Организационно-экономическая характеристика аграрного цеха………………………………………………………………...
Анализ производства и эффективности использования кормов
Анализ состава и структуры кормовых культур…………..
Анализ урожайности кормовых культур…………………..
Анализ потребления и обеспеченности в кормах…………
Анализ влияния типа, уровня кормления животных на их продуктивность……………………………………………...
Анализ показателей эффективности использования кормов………………………………………………………..
Резервы увеличения производства и эффективности использования кормов……………………………………………
Выводы и предложения………………………………………….
Список литературы………………………………………………
Приложения………………………………………………………
Введение.
Для обеспечения положительной динамики эффективности сельскохозяйственного производства необходимо постоянное соблюдение пропорциональности в развитии животноводства и растениеводства, связующим элементом которых является кормовая база. Рационально организованная, прочная и устойчивая кормовая база- решающее условие неуклонного увеличения производства продукции животноводства и повышение его эффективности. Важное значение для оценки деятельности сельскохозяйственного предприятия имеет анализ выполнения плана по объему производства кормов.
В курсовой работе представлены вопросы создания прочной и устойчивой кормовой базы, производства кормов. Цель курсовой работы заключается в исследовании экономической эффективности использования кормов.
Основные задачи состоят в следующем:
охарактеризовать состав и структуру кормовых культур
рассмотреть урожайность культур;
оценить влияние уровня кормления на продуктивность животных;
определить ресурсы увеличения производства кормов.
Объектом исследования является аграрный цех ОАО «Заготинвест». Целью цеха является удовлетворение потребностей работников ОАО в мясе свинины и говядины.
Источниками информации, необходимой для написания курсовой работы, послужили: годовые отчеты цеха, баланс агроцеха, бизнес-план, производственные отчеты, отчетность по производству продукции растениеводства, первичная документация.
В процессе изучения и обработки материалов применялись: балансовый, детерминированный факторный, экономическо-статистический, математико-статистический методы экономических исследований.
1. Организационно-экономическая характеристика аграрного цеха.
Аграрный цех является структурным подразделением Открытого Акционерного Общества «ЗаготИнвест» (ОАО «ЗаготИнвест»). Цех был создан с целью удовлетворения потребностей рабочих в мясе свинины, говядины.
Аграрный цех реализует свою продукцию в основном рабочим ОАО «ЗаготИнвест», в его столовую и торговую сеть магазинов. Цех образовался как подсобное хозяйство в 1984 году. Цех расположен в южной части п. Безбожник. От областного центра - города Кирова - хозяйство находится в 120 километрах. Грузовая и пассажирская связь осуществляется по железной дороге Киров – Котлас.
В состав агроцеха входят:
административный корпус;
свинарник-откормочник;
комплекс по откорму КРС;
убойный цех;
автомобильный парк;
гараж для сельхозтехники;
складские помещения;
котельная;
сеть внутрихозяйственных дорог.
Основой сырьевой зоны, обслуживающей агроцех, являются хозяйства как района, так и области, которые рассчитываются за приобретенные в АО товаро-материальные ценности живым скотом. Поступивший скот ставится на откорм. Откорм является заключительной и наиболее ответственной фазой в производстве свинины и говядины. В задачу которого входит получение в максимально короткие сроки наибольшего количества продукции хорошего качества при наименьших затратах труда и средств.
Д
ля
оценки уровня
специализации
производства
рассчитывают
коэффициент
специализации:
, где Удi – удельный вес i-го вида товарной продукции в общем её объеме;
n – порядковый номер отдельных видов продукции по их удельному весу в ранжированном ряду.
Данные для расчета коэффициентов приведены в приложении 1. Значение коэффициента специализации в размере 0,41-0,43 указывает на высокую степень специализации хозяйства. Структура товарной продукции по годам меняется не значительно. Наибольший удельный вес за анализируемый период занимает производство свинины, вторым по объему – производство говядины. Изменяется удельный вес в общем объеме товарной продукции телят и поросят. В 1999 году удельный вес поросят составил 3,4%, а в 2000 году увеличился до 4%. Соответственно, удельный вес телят снизился с 3,9 до 3%. Это связано с тем, что хозяйство решило специализироваться на производстве свинины, постепенно отказываться от производства говядины, считая это экономически невыгодным.
Эффективность производства и финансовый результат можно проанализировать через ряд показателей: производительность труда, себестоимость продукции, денежная выручка, прибыль, объем реализации.
Достаточная обеспеченность агроцеха трудовыми ресурсами, их рациональное использование, повышение уровня производительности является факторами увеличения объема производства продукции и повышение эффективности производства. Численность работников, занятых производственной деятельностью в аграрном цехе рассмотрена в таблице 1.
Таблица 1
Среднесписочная численность работников, чел.
|
Категории работников |
1999 г. |
2000 г. |
2001 г. |
|
Работники, занятые в сельхозпроизводстве |
19 |
19 |
19 |
|
из них постоянные рабочие |
17 |
18 |
17 |
|
в т. ч. трактористы-машинисты |
7 |
7 |
7 |
|
рабочие, занятые обслуживанием животноводства |
10 |
10 |
11 |
|
рабочие сезонные и временные |
4 |
3 |
3 |
|
служащие, из них |
4 |
4 |
3 |
|
руководители |
1 |
1 |
1 |
|
специалисты |
3 |
3 |
2 |
|
работники ЖКХ |
3 |
3 |
2 |
|
количество работников на конец года, всего |
30 |
30 |
29 |
|
из них численность женщин |
8 |
9 |
8 |
Среднесписочная численность работников в хозяйстве составила 30 человек, и лишь в 2001 году – 29 человек. Это связано с переводом бухгалтера в штат базы акционерного общества. Нехватку рабочих мест в особо напряженные периоды восполняют привлеченные временные и сезонные работники. Аграрное хозяйство является животноводческим комплексом, поэтому затраты труда в растениеводстве носят сезонный характер. Животноводство требует сравнительно больших затрат труда. Прямым показателем производительности труда является выход продукции в единицу времени, причем обратным показателем является трудоемкость продукции, то есть затраты труда на единицу продукции. Чем ниже трудоемкость, тем выше производительность труда.
Таблица 2
Трудоемкость и уровень производительности труда
|
Показатели |
1999 г. |
2000 г. |
2001 г. |
Отклонение |
|
производительность труда, ц /чел.-ч. |
2,31 |
3,46 |
3,34 |
1,03 |
|
трудоемкость чел.-ч./ц |
43,5 |
33,1 |
35 |
-8,5 |
Наиболее эффективное производство мяса в хозяйстве при самом низком уровне затрат на 1 центнер и при самом высоком выходе продукции в единицу времени. Это наблюдается в 2000 году, когда трудоемкость производства продукции составила 33, 1 чел.-ч. /ц, а производство свинины и говядины достигает наибольших размеров. Самым неэффективным производство оказалось в 1999 году – трудоемкость составила 43, 5 чел.-ч./ц, а производительность снизилась до 2, 31 чел.-ч./ц.
Повышение уровня механизации является необходимым условием снижения трудовых затрат на единицу продукции и повышение производительности труда.
Полнота и своевременность выполнения планируемого объема производства продукции зависит от обеспечения хозяйства основными и оборотными фондами, эффективности их использования. Материальным условием развития сельхозпроизводства является рост и совершенствование фондов. Структура основных фондов меняется из года в год, что связано с влиянием многих факторов: постройка новых зданий и сооружений, введение в действие и выведение из строя машин; поступление и выбытие продуктивного скота.
Таблица 3
Структура основных производственных фондов, %
|
Состав |
1999 г. |
2000 г. |
2001 г. |
|
Здания |
67,0 |
68,2 |
70,0 |
|
Сооружения |
13,2 |
12,9 |
12,5 |
|
Машины и оборудование |
13,6 |
12,8 |
11,4 |
|
Транспортные средства |
2,5 |
2,5 |
2,6 |
|
Производственный инвентарь |
0,6 |
0,5 |
0,5 |
|
Продуктивный скот |
3,1 |
3,1 |
3,0 |
|
Итого, в т. ч. |
100 |
100 |
100 |
|
производственные фонды |
92,8 |
91,9 |
91,2 |
|
непроизводственные фонды |
7,2 |
8,1 |
8,8 |
Происходит уменьшение удельного веса основных активов, что связано с уменьшением размера активов в результате их износа и в связи с тем, что новые активы не приобретаются. Значительный удельный вес занимают здания - 90,7%, так как из-за специализации хозяйства требуются капитальные животноводческие помещения. Процент зданий в течение анализируемого периода возрос в результате достройки свинокомплекса. Доля машин и оборудования сократилась, это связано с тем, что машины и оборудование изнашиваются быстро, и их доля в структуре основных активов будет уменьшаться, если не приобретать новые.
Экономическую эффективность использования основных производственных фондов характеризуют фондоотдача, фондоемкость, фондовооруженность.
Таблица 4
Эффективность использования основных производственных фондов
|
Показатели |
1999 г. |
2000 г. |
2001 г. |
|
Фондоотдача, руб |
0,54 |
0,29 |
0,40 |
|
Фондоемкость,руб |
1,15 |
1,20 |
1,25 |
|
Фондовооруженность, тыс.руб. |
78,30 |
78,52 |
80,01 |
Положительным моментом является уменьшение фондоемкости. Наиболее эффективно фонды используются в 1999 году – фондоотдача составила 0,54 руб., а фондоемкость – 1,15 руб.
Важными показателями экономической эффективности оборотных средств являются материалоемкость, материалоотдача.
Таблица 5
Эффективность оборотных средств, руб.
|
Показатели |
1999 г. |
2000 г. |
2001 г. |
|
Материалоемкость |
0,081 |
0,085 |
0,090 |
|
Материалоотдача |
13,41 |
11,55 |
10,20 |
Уменьшение материалоотдачи объясняется тем, что темпы роста стоимости оборотных средств превышают темпы поступления выручки.
В динамике за ряд лет в хозяйстве наблюдается неуклонный рост себестоимости продукции.
Таблица 6
Себестоимость 1 ц продукции, руб.
|
Показатели |
1999 г. |
2000 г. |
2001 г. |
|
Привесы телят |
2364 |
1726 |
2417 |
|
Привесы поросят |
2414 |
1726 |
2637 |
|
Приплод поросят |
3010 |
1807 |
3500 |
|
Мясо говядина |
2073 |
3315 |
3532 |
|
Мясо свинина |
2374 |
3453 |
3719 |
|
Картофель |
78 |
142 |
193 |
|
Сено |
30 |
58 |
100 |
|
Силос |
18 |
36 |
60 |
|
Зеленый корм |
15 |
15 |
20 |
Рост затрат на возделывание кормов ведет к росту себестоимости мяса. Наибольший рост себестоимости кормов, по сравнению с 1999 годом, наблюдается по картофелю. Себестоимость возросла в 2,4 раза. Это объясняется тем, что картофель – трудоемкая культура, требующая больших затрат труда и техники. Себестоимость картофеля приближается к рыночной цене, поэтому цех планирует в 2003 – 2005 гг. отказаться от возделывания картофеля и закупать его в размерах, соответствующих потребностям хозяйства.
На данном этапе работы хозяйства производство убыточное, это связано с тем, что хозяйство реализует продукцию по ценам ниже себестоимости. Агроцех был создан как подсобное хозяйство ОАО «ЗаготИнвест», что и определило основные каналы реализации.
Таблица 7
Каналы реализации продукции
|
Каналы |
1999 г. |
2000 г. |
2001 г. |
|||
|
ц. |
цена реализации 1 ц, руб. |
ц. |
цена реализации 1 ц, руб. |
ц. |
цена реализации 1 ц, руб. |
|
|
столовая АО |
||||||
|
говядина |
42,18 |
1283 |
45,00 |
1270 |
42,63 |
2663 |
|
свинина |
18,19 |
1701 |
19,50 |
1700 |
15,72 |
2921 |
|
магазины АО |
||||||
|
говядина |
301,18 |
1300 |
450,11 |
1301 |
291,17 |
2661 |
|
свинина |
253,01 |
1513 |
375,61 |
1690 |
274,77 |
2990 |
|
субпродукты |
19,45 |
450 |
15,15 |
510 |
84,12 |
820 |
|
Фирма "Мясопродукты" |
||||||
|
говядина |
5,91 |
1283 |
15,00 |
1390 |
7,30 |
2806 |
|
свинина |
9,32 |
1603 |
20,15 |
1700 |
11,17 |
3327 |
|
На сторону |
||||||
|
говядина |
- |
- |
15,01 |
1510 |
23,40 |
2806 |
|
свинина |
- |
- |
28,79 |
1720 |
38,45 |
3422 |
Преобладающим каналом реализации является сбыт мяса через магазины акционерного общества, которые находятся на территории базы и в городе. Некоторая часть поступает в столовые общества. Намечается расширение каналов реализации, но реализация продукции на сторону так же идет по ценам ниже себестоимости.
В 2001 году средняя цена реализации 1 центнера мяса говядины составила 2734 руб., при себестоимости 3532 руб., свинины – 3165 руб. при себестоимости 3719 руб. за 1 центнер.
На просьбы агроцеха поднять цены реализации АО отказывает. Убыток, фиксируемый в хозяйстве, увеличивается как в результате инфляционных процессов, так и из-за диспаритета в стоимости кормов и реализованной продукции.
Таблица 8
Финансовый результат деятельности, тыс. руб.
|
Показатели |
1999 г. |
2000 г. |
2001 г. |
|
Выручка от реализации товаров, оказания услуг |
1848 |
1827 |
3083,2 |
|
Себестоимость реализованных товаров, услуг |
2168 |
2707 |
3186,2 |
|
Выручка от реализации |
|||
|
свинины |
893 |
918 |
2136,4 |
|
говядины |
455 |
709 |
546,8 |
|
Убыток от финансовой деятельности |
-320 |
-880 |
-103 |
В хозяйстве наблюдается убыток каждый год. Убыток списывается на фирму «Мясопродукты», которая является структурным подразделением ОАО «ЗаготИнвест». Удельный вес фирмы в выручке АО – 6%. Из-за полученного убытка производство мяса в хозяйстве является не рентабельным.
Для проведения анализа финансового состояния агроцеха воспользуемся аналитическим балансом хозяйства (Приложение 2). Данные для аналитического баланса за 2001 год приведены в Приложении 3.
Абсолютным показателем финансовой устойчивости являются показатели, характеризующие степень обеспеченности запасов и затрат источниками их формирования (Приложение 4).
В течение анализируемого периода агроцех находится в неустойчивом финансовом состоянии, так как источников для формирования запасов недостаточно, но несмотря на привлечение кредиторской задолженности хозяйство не смогло изменить своего положения. Хозяйство испытывает недостаток собственных оборотных средств, который увеличивается на конец 2001 года. Данное положение вызвано уменьшением собственного капитала на 713 тыс. руб. Ухудшение финансового положения цеха обусловлено увеличением запасов, происходит затоваривание. Часть произведенной продукции хозяйством не реализуется, а остается в запасах. Общая величина запасов увеличилась на 52 тыс. руб. Но на предприятии наблюдается сокращение источников формирования запасов в результате отхода хозяйства от краткосрочных кредитов.
К показателям анализа финансового состояния предприятия относятся показатели финансовой устойчивости и платежеспособности (Приложение 5). Уменьшение коэффициента финансовой независимости (автономии) означает сокращение собственного капитала в пассиве баланса, что отрицательно сказывается на деятельности предприятия. Увеличение краткосрочных обязательств в 2001 году по сравнению с 2000 годом вызвало увеличение коэффициента финансовой зависимости, что нежелательно для хозяйства.
Коэффициент соотношения заемных и собственных средств характеризует превышение займов и кредитов над собственным капиталом. Так как показатель меньше 1, то хозяйство может привлекать краткосрочные обязательства для восстановления платежеспособности. Коэффициент сохранения собственного капитала меньше оптимального значения, что означает сокращение собственного капитала в течение каждого года. Коэффициент абсолютной ликвидности баланса показывает, что кредиторская задолженность может быть погашена в ближайшее время и полностью, что увеличивает возможность хозяйства в получении новых кредитов и займов. Коэффициент промежуточной ликвидности характеризует возможность покрытия краткосрочной задолженностью, в счет поступлений в отгруженную продукцию, оказания услуг. Увеличение показателя положительно сказывается на ликвидности баланса. Оптимальное значение коэффициента текущей ликвидности говорит о способности аграрного цеха погасить краткосрочные обязательства в счет оборотных средств, увеличение показателя - о наличии активов для покрытия обязательств. Факторный анализ коэффициента текущей ликвидности показывает какие факторы повлияли на уменьшение коэффициента по сравнению с 2000 годом (Приложение 6). Коэффициент ликвидности запасов показывает удельный вес запасов и затрат к краткосрочным обязательствам. Удельный вес запасов увеличился на 5%, что является следствием не использования запасов, их не обновлением. Значение коэффициента покрытия в анализируемом периоде больше значения показателя текущей ликвидности, что означает, что хозяйство не платежеспособно. Для дальнейшей нормальной работы агроцеху необходимо погасить кредиторскую задолженность, увеличивать собственные денежные средства, обновлять запасы на складах, избегать их затоваривания.
Но несмотря на полученный убыток организация мяса в хозяйстве поставлена на высоком уровне. Ухудшение платежеспособности связано с инфляционным ростом цен, с диспаритетом в стоимости кормов и реализуемой продукции, а так же вызвано политикой АО по отношению к аграрному цеху.
2. Анализ производства и эффективности использования кормов
2.1. Анализ состава и структуры кормовых культур
Объем производства растениеводства является одним их основных показателей, характеризующих деятельность сельскохозяйственных предприятий. От его величины зависит степень удовлетворения животных кормами. Объем производства кормов зависит от ряда факторов, одним из которых являются выполнение плана сева, изменение в размере и структуре посевных площадей.
Таблица 9
Состав и структура посевных площадей агроцеха
|
Культуры |
базисный год |
прошлый год |
отчетный год |
|||||
|
га |
% |
га |
% |
план |
факт |
|||
|
га |
% |
га |
% |
|||||
|
картофель |
32 |
17,4 |
25 |
14,0 |
29 |
16,2 |
22 |
12,0 |
|
однолетние травы |
29 |
15,8 |
40 |
22,3 |
25 |
14,0 |
42 |
22,8 |
|
многолетние травы на зеленый корм |
22 |
12,0 |
21 |
11,7 |
23 |
12,8 |
20 |
10,9 |
|
на сено |
83 |
45,1 |
72 |
40,2 |
80 |
44,7 |
75 |
40,8 |
|
озимая рожь на зеленый корм |
18 |
9,8 |
21 |
11,7 |
22 |
12,3 |
25 |
13,6 |
|
всего посевов |
184 |
100 |
179 |
100 |
179 |
100 |
184 |
100 |
За анализируемые три года наблюдается изменение структуры посевных площадей, это связано с размещением культур в полях севооборотов, потребностями в кормах, возможностью хозяйства. Наибольший удельный вес занимают многолетние травы на сено, так как это основной корм в зимнее время года. Удельный вес картофеля в отчетном году по сравнению с планом и прошлым годом уменьшается, что привело к недовыполнению плана производства картофеля. Сокращение площади под картофель в отчетном году обусловлено тем, что хозяйству не хватило собственного посадочного материала, так как не были соблюдены правила закладки в хранилища и хранения картофеля. Оставшаяся площадь была засеяна однолетними травами. Недостаток картофеля хозяйство покрыло силосом (в пересчете на питательность). Структура посевных площадей должна обеспечить агроцех кормами при наименьших издержках и оптимальных размерах площади пашни. Поэтому изменяя структуру посевных площадей хозяйство должно учитывать содержание кормопротеиновых единиц в кормовых культурах. Необходимо увеличивать площади под культурами с высоким содержанием единиц.
Кормопротеиновые единицы (Е) определяются по формуле:

, где
К – содержание протеиновых единиц в центнере продукции, ц.к.ед.
П – содержание переваримого протеина в центнере продукции, кг
В сене многолетних трав содержится:
Е = (0,45+10*5,2)/2=26,2 кормопротеиновых единиц
В зеленой массе однолетних трав:
Е = (0,2+10*2,2)/2=11,1
В зеленой массе многолетних трав:
Е = (0,2+10*2,2)/2=11,1
В картофеле:
Е = (0,3+10*1,6)/2=8,2
В озимой ржи на силос:
Е = (0,2+10*1,5)/2=7,6
Хозяйство должно стараться увеличивать площади, занятые такими культурами, как многолетние травы на сено и зеленый корм, однолетние травы.
В процессе анализа состава и структуры посевных площадей хозяйству необходимо определить на сколько целесообразны те изменения, которые произошли в составе посевных площадей. Расчет влияния структуры посевных площадей на выход продукции осуществлен способом абсолютных разниц и приведен в Приложении 7.
За счет увеличения доли более урожайных культур – однолетних трав (с высоким содержанием кормопротеиновых единиц) средняя урожайность кормовых культур возросла на 1,404 ц.к.ед./га. Изменение валового сбора за счет структуры посевов составит:
ВС = 1,404*184 = 258 ц.к.ед.
По кормовым культурам выход продукции с 1 га рассчитывается в пересчете на центнеры кормовых единиц в соответствии с коэффициентами перевода по питательности, используемых в хозяйстве (питательность картофеля 0,3 к.ед.; сено – 0,45 к.ед.; зеленая масса и силос - 0,2 к.ед.).
Проведенные расчеты подтвердили экономическую обоснованность изменений хозяйством плановой структуры посевных площадей.
2.2. Анализ урожайности кормовых культур.
Урожайность сельскохозяйственных культур является основным фактором, который определяет объем производства продукции растениеводства.
В процессе анализа урожайности выявляется степень выполнения плана по урожайности в среднем по хозяйству. Большое влияние на урожайность оказывают культура земледелия, агротехника и технология выращивания культур, удобрение почвы, качественное выполнение полевых работ.
Таблица 10
Динамика и выполнение плана урожайности культур, ц.к.ед.
|
Культуры |
Базисный год |
Прошлый год |
отчетный год |
отчетный год в % к базисному |
||
|
план |
факт |
% выполнения |
||||
|
картофель |
24 |
27 |
26,1 |
25,5 |
97,7 |
106,3 |
|
однолетние травы |
37 |
35 |
37 |
36 |
97,3 |
97,3 |
|
многолетние травы на зеленый корм |
32 |
34 |
32 |
36 |
112,5 |
112,5 |
|
сено |
9,8 |
10 |
9 |
9,9 |
110,0 |
101,0 |
|
озимая рожь на зеленый корм |
31 |
29 |
30 |
30 |
100,0 |
96,8 |
За анализируемый период наблюдаются колебания в урожайности кормовых культур в хозяйстве. Рост урожайности наблюдается по многолетним травам на сено, так как в хозяйстве было проведено поверхностное улучшение угодий, а так же увеличение урожайности многолетних трав на зеленый корм, это вызвано тем, что цех закупил качественные семена люцерны. На урожайность влияют погодные условия, количество осадков, плодородие почв, которые хозяйство старается учитывать, планируя урожайность культур.
Урожайность в хозяйстве немногим ниже по району, это объясняется низким качеством отдельных участков пашни.
Выполнение плана по агротехническим мероприятиям, эффективность каждого из них положительно влияет на уровень урожайности и валовой сбор продукции. Выполнение плана по количеству внесенных удобрений на 1 га посевов каждой культуры определяется сравнением фактических данных с плановыми, а так же в динамике лет.
Таблица 11
Выполнение плана по внесению минеральных удобрений
|
Культуры |
Количество внесенных удобрений на 1 га посевов, кг NPK |
|||
|
Прошлый год |
Отчетный год |
|||
|
план |
факт |
выполнение плана в % |
||
|
однолетние травы |
2,8 |
2,8 |
2,5 |
89,3 |
|
многолетние травы: |
||||
|
на сено |
1,0 |
1,0 |
1,0 |
100,0 |
|
зеленый корм |
1,7 |
1,3 |
1,5 |
115,4 |
|
озимая рожь на зеленый корм |
2,5 |
2,2 |
2,5 |
113,6 |
План по внесению минеральных удобрений под однолетние травы недовыполнен, а под многолетние травы и озимую рожь перевыполнен, что послужило одной из причин повышения средней урожайности кормовых культур по хозяйству.
Нормы внесения удобрений разработаны в хозяйстве с учетом потребности растений в элементах питания, наличия элементов питания в почве и возможности их усвоения растениями. Для определения окупаемости удобрений используются расчетный и корреляционный методы.
Окупаемость внесения минеральных удобрений расчетным методом определяется по формуле:
Оу = (Уф – Ур)/Кф , где
Оу – окупаемость 1 ц NPK;
Уф и Ур – фактический и расчетный уровень урожайности культур;
Кф – фактическое количество внесенных удобрений на 1 га посевов, ц NPK.
Таблица 12
Окупаемость удобрений по культурам
|
Показатели |
однолетние травы |
многолетние травы на сено |
многолетние травы на зеленый корм |
озимая рожь |
|
Качество почвы, балл |
56 |
56 |
56 |
56 |
|
Цена 1 балла, ц |
3 |
0,36 |
3 |
2 |
|
Расчетная урожайность (от естественного плодородия), ц/га |
168 |
20,2 |
168 |
112 |
|
Фактическая урожайность, ц/га |
180 |
22 |
190 |
150 |
|
Прирост урожайности за счет удобрения почвы, ц |
12 |
1,8 |
12 |
38 |
|
Количество внесенных удобрений на 1 га, ц |
2,5 |
1 |
1,5 |
2,5 |
|
Фактическая окупаемость 1 ц NPK, ц |
1,8 |
1,8 |
8 |
15,2 |
|
Нормативная окупаемость 1 ц NPK, ц |
5 |
2 |
5 |
10 |
В хозяйстве наблюдается недовыполнение плана окупаемости удобрений при выращивании многолетних трав на сено и однолетних трав на зеленый корм. Это произошло из-за снижения нормы внесения удобрений на 1 га, а также из-за низкого качества удобрений. По озимой ржи и многолетним травам на зеленый корм фактическая окупаемость 1 ц NPK превышает нормативную, это позволяет хозяйству получать необходимое количество корма.
Для определения окупаемости удобрений можно использовать корреляционный анализ (Приложение 8). Получилось уравнение прямой линии:
Ух = 12,7+5,6 x
а – постоянная величина урожайности не связанная с количеством внесенных удобрений (при х=0);
b – на сколько увеличивается урожайность с увеличением удобрений на 1 ц/га.
Таким образом, увеличение удобрений, вносимых под культуры, вызовет повышение средней урожайности кормовых культур на 5,6 ц.к.ед. /га. Коэффициент детерминации (d = r2=0.92) показывает, что прибавка урожайности на 92 % зависит от степени удобрения почв.
Большое влияние на урожайность оказывает выполнение плана по внедрению более перспективных и урожайных сортов. Хозяйство должно стараться увеличивать удельный вес более урожайных сортов, что вызывает возрастание средней урожайности по отдельной культуре. Сортовой состав наиболее полно представлен по картофелю. Агроцех возделывает такие сорта, как «Невский» и «Луговой». По остальным культурам хозяйство возделывают те сорта, которые обеспечивают наибольший выход продукции. Из однолетних трав агроцех возделывает вико-овсяную смесь, из многолетних - клевер и люцерну. Влияние данного фактора рассчитано по структуре посевов.
Таблица 13
Расчет влияния структуры сортов на среднюю урожайность картофеля
|
Сорт |
Посевная площадь, га |
Удельный вес сортов, % |
Плановая урожайность ц.к.ед/га. |
Изменение средней урожайности ц.к.ед/га. |
|||
|
план |
факт |
план |
факт |
+ / - |
|||
|
"Невский" |
14 |
13 |
48 |
58 |
10 |
23 |
2,3 |
|
"Луговой" |
15 |
9 |
52 |
42 |
-10 |
29 |
-2,9 |
|
Всего |
29 |
22 |
100 |
100 |
- |
- |
-0,6 |
При сокращении площади и уменьшении удельного веса под более урожайным сортом «Луговой» средняя урожайность картофеля снизилась на 0,6 ц.к.ед, по сравнению с планом, и составила 25,5 ц.к.ед. Это было вызвано нехваткой посадочного материала «Лугового» сорта, вследствие гибели во время хранения. Недовыполнение плана посадки картофеля и снижение средней урожайности ведут к тому, что хозяйство недополучает валовой сбор, что отрицательно сказывается на состоянии кормовой базы. В отчетном году хозяйству пришлось заменить картофель другими кормами, пересчитывать рационы, балансируя их по питательности.
Урожайность сельскохозяйственных культур также зависит от агротехнических мероприятий: качества и способов обработки земли, размещение культур в севооборотах, способов ухода за посевами, сроков уборки. Влияние агротехнических мероприятий на урожайность можно измерить с помощью многофакторной корреляционной модели. Модель включает следующие факторы:
у – урожайность с 1 га, ц.к.ед/га;
х1 – качество почвы, балл;
х2 – количество внесенных удобрений на 1 га почвы, у NPK;
х3 – удельный вес посевов более урожайных сортов;
х4 – удельный вес посевов в оптимальные сроки;
х5 – процент уборки урожая в оптимальные сроки.
Корреляционная модель будет иметь вид:
у = 0,5 + 0,35х1 + 4х2 + 0,1х3 + 0,8х4 + 0,16х5
Коэффициенты уравнения с х1 . . . х5 показывают на сколько ц.к.ед изменится урожайность кормовых культур при увеличении сопутствующего факторного показателя на единицу.
Таблица 14
Подсчет увеличения урожайности на основе корреляционного анализа
|
Фактор |
Уровень показателя |
Коэффициент регрессии |
Увеличение урожайности, ц.к.ед |
|
|
фактический |
возможный |
|||
|
х1 |
56 |
58 |
0,35 |
-0,7 |
|
х2 |
2 |
2,5 |
4 |
-2 |
|
х3 |
40 |
60 |
0,1 |
-2 |
|
х4 |
75 |
70 |
0,8 |
4 |
|
х5 |
90 |
80 |
0,16 |
1,4 |
| Итого |
- |
- |
- |
0,7 |
Средняя урожайность кормовых культур за счет выполнения агротехнических мероприятий увеличилось на 0,7 ц.к.ед и составила 27,5 ц.к.ед. Основные факторы роста урожайности – посев и уборка урожая в оптимальные сроки.
В отчетном году в хозяйстве наблюдается рост средней урожайности кормовых культур, по сравнению с планом. В первую очередь это было вызвано ростом урожайности отдельных культур, таких как многолетние травы (клевер, люцерна), а также с соблюдением сроков посева и уборки урожая.
2.3 Анализ потребления и обеспечения в кормах
Основным условием повышения эффективности производства продукции животноводства является обеспечение поголовья необходимым объемом и ассортиментов кормов, правильным их использованием.
Потребность животных на откорме в грубых, сочных и зеленых кормах хозяйство покрывает самостоятельно.
Зерновыми кормами агроцех обеспечивает колхоз «Борисёнки».
Таблица 15
Обеспеченность животных кормами, ц.к.ед
|
Виды кормов |
Отчетный год |
Недостаток(-), перерасход(+) |
Обеспеченность кормами,% |
|
|
план |
факт |
|||
|
Концентраты |
2098 |
2098 |
- |
100 |
|
Сено |
720 |
720 |
- |
100 |
|
Силос |
1190 |
1428 |
238 |
120 |
|
Картофель |
545 |
474 |
-71 |
87 |
|
Зеленый корм |
485 |
480 |
-5 |
99 |
|
Прочие корма |
31 |
31 |
- |
100 |
|
Всего кормов: |
||||
|
ц.к.ед |
5069 |
5231 |
162 |
103 |
|
переваримого протеина |
532 |
549 |
- |
- |
Обеспеченность животных кормами в агроцехе не плохая, но не достает картофеля. Перерасход силоса вызван тем, что часть корма идет на покрытие недостатка картофеля. Концентрированные корма хозяйство закупает в объеме, удовлетворяющем потребности животных. Корма, заготовленные в хозяйстве, высокого качества, поэтому животные достаточно обеспечены перевариваемым протеином, а так же кальцием, фосфором, каротином.
При росте поголовья животных за анализируемый период наблюдаются колебания в расходе кормов. Объем скармливаемых кормов практически полностью удовлетворяет потребности животных.
|
Таблица 16 |
|||||
|
Расход кормов на производство продукции |
|||||
|
Показатели |
Базисный год |
Прошлый год |
Отчетный год |
Отчетный год в % к базисному |
|
|
план |
факт |
||||
|
Израсходовано кормов, ц.к.ед |
|||||
|
телята |
2049 |
2448 |
1926 |
1988 |
97 |
|
свиньи |
3343 |
3234 |
3143 |
3243 |
97 |
|
Поголовье КРС, гол |
100 |
78 |
50 |
50 |
50 |
|
Поголовье свиней, гол |
350 |
360 |
428 |
450 |
129 |
|
Получено привеса, ц |
|||||
|
телята |
350 |
273 |
175 |
200 |
57 |
|
свиньи |
525 |
540 |
642 |
675 |
129 |
|
Расход кормов в ц.к.ед на 1 ц прироста |
|||||
|
телята |
9,3 |
8,9 |
8,7 |
9 |
97 |
|
свиньи |
6,5 |
6,3 |
6,3 |
6 |
92 |
|
Потребность в кормах, ц.к.ед |
|||||
|
телята |
2049 |
2497 |
1926 |
2008 |
98 |
|
свиньи |
3377 |
3267 |
3143 |
3243 |
96 |
|
Удовлетворение потребности в кормах,% |
|||||
|
телята |
100 |
98 |
100 |
99 |
- |
|
свиньи |
99 |
99 |
100 |
100 |
- |
Уменьшение расхода кормов вызвано улучшением их качества, что вызвало пересмотр структуры рациона по питательности, энергии и пересчет кормовых единиц. Рацион стал в большей степени удовлетворять зоотехническим нормам. С уменьшением расхода кормов снизился расход на единицу продукции, и составил в отчетном году 9 ц.к.ед. на 1 центнер прироста телят и 6 ц.к.ед. на 1 центнер прироста свиней, что на 3 и 8 % меньше, чем в базисном году соответственно.
2.4 Анализ влияния типа и уровня кормления животных на их продуктивность
Основным источником увеличения производства продукции животноводства является продуктивность животных. Одним из факторов, влияющих на продуктивность животных является тип кормления. Хозяйством был выбран наиболее эффективный тип кормления, который в максимальной степени соответствует особенностям производства. Тип кормления был установлен с учетом возможностей производства кормов и эффективности возделывания культур в условиях хозяйства.
|
Таблица 17 |
||||
|
Тип кормления животных в аграрном цехе |
||||
|
Группа кормов |
молодняк КРС |
свиньи |
||
|
ц.к.ед |
% к итогу |
ц.к.ед |
% к итогу |
|
|
концентрированные |
378 |
19 |
1654 |
51 |
|
грубые |
517 |
26 |
227 |
7 |
|
сочные |
596 |
30 |
876 |
27 |
|
зеленые |
497 |
25 |
486 |
15 |
|
итого |
1988 |
100 |
3243 |
100 |
На свиноферме хозяйства применяется концентрированный тип кормления, концентраты занимают в структуре рациона 51 %. Данный тип кормления обеспечивает наибольшую продуктивность свиней, но концентрированные корма очень удорожают стоимость рациона, что в конечном итоге отражается на себестоимости мяса. Поэтому в летнее время хозяйство вводит в рацион зеленые корма, силос. Они достаточно дешевы, богаты углеводами, протеином, минеральными веществами.
Для молодняка КРС применяется силосно-сенной тип кормления. Хозяйство стремится полностью и равномерно обеспечить животных зелеными кормами с весны до осени, что ведет к сокращению доли концентрированных кормов в структуре рациона. Основным кормом в зимнее время является сено, которое обеспечивает необходимое количество протеина и каротина.
Продуктивность животных, их рост и развитие зависят от уровня кормления. При низком уровне кормления большая часть корма идет на поддержание жизненных процессов, а меньшая – на получение продукции, в результате чего увеличиваются затраты корма на производство единицы продукции. Уровень кормления – это количество использованных кормов на 1 голову за период. В таблице 18 представлен среднегодовой уровень кормления.
|
Таблица 18 |
||||
|
Среднегодовой уровень кормления, ц.к.ед |
||||
|
Показатели |
базисный год |
отчетный год |
Отчетный год в % к базисному |
|
|
план |
факт |
|||
|
Произведено на условную голову: |
19,0 |
18,3 |
19,2 |
101 |
|
картофеля |
3,1 |
3,3 |
2,8 |
90 |
|
сена |
4,9 |
4,9 |
4,9 |
100 |
|
силоса |
8,0 |
7,2 |
8,6 |
108 |
|
зеленой массы |
3,0 |
2,9 |
2,9 |
97 |
Коэффициенты перевода в условное поголовье: молодняк КРС – 0,6; свиньи – 0,3.
План по уровню кормления животных агроцехом в отчетном году был выполнен. Выполнение плана обеспечили эффективное возделывание кормовых культур, рост урожайности, увеличение площади под более урожайными и перспективными культурами. Таким образом, в отчетном году было произведено необходимое количество кормов, которые обеспечили хозяйству увеличение привесов животных.
Повышение уровня кормления животных является одним из источников роста продуктивности.
|
Таблица 19 |
||||||
|
Резерв увеличения производства продукции за счет повышения уровня кормления |
||||||
|
Группы животных |
Расход кормов на 1 голову,ц.к.ед |
Фактический расход кормов на 1 ц продукции,ц.к.ед |
Резерв роста продукции животноводства, ц |
Возможное поголовье животных, гол |
Резерв роста объема производства продукции,ц |
|
|
план |
факт |
|||||
|
молодняк КРС |
17 |
19 |
9 |
0,2 |
50 |
10 |
|
свиньи |
8,5 |
10 |
6 |
0,25 |
450 |
112,5 |
Увеличив расход кормов на 1 голову, по сравнению с планом, агроцех дополнительно получил продукцию по молодняку КРС –10 ц, по свиньям – 112,5 ц., что обеспечило хозяйству дополнительную выручку от реализации продукции. Резерв роста продуктивности по свиньям составил 0,25 ц. Хозяйство, увеличивая поголовье свиней в будущем году до 600 голов, при неизменных других факторах, сможет получить дополнительно до 150 ц продукции. Таким образом, уровень кормления является условием интенсификации производства продукции животноводства, повышения его эффективности.
2.5 Анализ показателей эффективности использования кормов
Производство продукции животноводства зависит не только от обеспеченности животных кормами, но и от эффективности их использования.
|
Таблица 20 |
||||
|
Эффективность использования кормов по видам продукции |
||||
|
Показатели |
Отчетный год |
|||
|
прирост живой массы КРС |
прирост живой массы свиней |
|||
|
план |
факт |
план |
факт |
|
|
Валовая продукция |
200 |
200 |
675 |
675 |
|
Расход кормов, ц.к.ед на1ц. продукции |
8,7 |
9 |
6,3 |
6 |
|
всего на продукцию |
1740 |
1800 |
4252 |
4050 |
|
Отклонение от плана (экономия-,перерасход+) |
60 |
-202 |
||
В отчетном году в хозяйстве наблюдается экономия кормов в размере 142 ц.к.ед. Это объясняется тем, что корма заготовленные корма высокого качества, что обеспечивает необходимую продуктивность животных. Хозяйство в 1999 году уделило внимание породному составу свиней, были закуплены породистые свиноматки, от которых планируется получить высокопродуктивное потомство. Это также повлияло на уменьшение расхода кормов на 1 ц продукции (Приложение 9).
Затраты на корма для молодняка КРС на откорме в отчетном году по сравнению с базисным годом уменьшились на 24,1 тыс. руб. Это произошло за счет сокращения валового производства мяса говядины на 150 ц, что было вызвано сокращением поголовья КРС. Сокращение расхода кормов на 1 ц продукции привело к уменьшению затрат на корма на 1,2 тыс. руб. Но из-за высокого темпа роста цен на корма, работы и услуги по заготовке кормов произошло увеличение затрат на корма в целом по хозяйству.
Общая сумма затрат на корма для откорма свиней возросла на 24 тыс. руб. Это вызвано ростом поголовья. В будущем году хозяйство планирует заняться откормом только свиней, постепенно ликвидируя поголовье молодняка КРС.
Введение сбалансированных и более эффективных рационов вызвало уменьшение расхода кормов на 1 ц продукции как при откорме свиней, так и молодняка КРС.
Эффективное использование кормов является одним из важных факторов, который позволяет в полной мере использовать потенциал животных.
3. Резервы увеличения производства и эффективности использования кормов
К важным задачам анализа хозяйственной деятельности предприятия относятся выявление и подсчет резервов увеличения производства продукции земледелия.

Рис.1. Основные направления поиска резервов увеличения производства продукции растениеводства
Используя данные резервы, хозяйство может получить дополнительную продукцию растениеводства, которая обеспечит хозяйству прочную и устойчивую кормовую базу.
|
Таблица 21 |
||||
|
Подсчет резервов увеличения производства продукции растениеводства за счет более полного использования земельных ресурсов |
||||
|
Мероприятия |
Площадь,га |
Культура |
Урожайность ц.к.ед./га |
Резерв,ц.к.ед. |
|
Осушение болот |
5 |
куртофель |
25,5 |
127,5 |
|
Распашка пастбищ |
25 |
озимая рожь |
30 |
750 |
В связи с ликвидацией поголовья коров хозяйство отказалось от использования пастбищ, передав площади в распоряжение колхоза «Звезда». Включение их в сельскохозяйственный оборот обеспечит хозяйство дополнительным силосом, зеленой массой. Расширение посевных площадей возможно и из-за осушения болот, высвободившаяся площадь будет засеяна картофелем. Использование данного резерва позволит хозяйству дополнительно получить 874,5 ц.к.ед.
|
Таблица 22 |
||||||||
|
Расчет резервов увеличения производства продукции растениеводства за счет изменения размера и структуры посевных площадей |
||||||||
|
Культура |
Структура посевов,% |
Площадь,га |
Фактическая урожайность, ц.к.ед./га |
Объем производства при структуре посевов,ц.к.ед. |
||||
|
план |
факт |
план |
факт |
план |
факт |
|||
|
картофель |
12 |
12 |
22 |
22 |
25,5 |
561 |
561 |
|
|
однолетние травы |
18 |
23 |
33 |
42 |
36 |
1188 |
1512 |
|
|
многолетние травы |
||||||||
|
на сено |
47 |
41 |
86 |
75 |
9,9 |
851 |
742 |
|
|
на зеленый корм |
12 |
11 |
22 |
20 |
36 |
792 |
720 |
|
|
озимая рожь на зеленый корм |
11 |
13 |
21 |
25 |
30 |
630 |
750 |
|
|
Итого |
100 |
100 |
184 |
184 |
- |
4022 |
4285 |
|
|
Таблица 23 |
||||
|
Резерв увеличения производства продукции за счет дополнительного внесения удобрений |
||||
|
Показатели |
Однолетние травы |
Сено многолетних трав |
Многолетние на зеленый корм |
Озимая рожь на зеленый корм |
|
Дополнительное количество удобрений,ц NPK |
50 |
112 |
20 |
25 |
|
Фактическая окупаемость 1 ц NPK,ц |
1,8 |
1,8 |
8 |
15 |
|
Резерв увеличения производства продукции,ц.к.ед. |
48 |
91 |
32 |
75 |
Дополнительное внесение удобрений даст прибавку урожайности по каждой культуре.
Резерв увеличения производства продукции растениеводства за счет повышения окупаемости удобрений зависит от дозы и качества удобрений, их структуры, способов и сроков внесения в почву.
|
Таблица 24 |
||
|
Резерв увеличения производства продукции за счет роста окупаемости удобрений почвы |
||
|
Показатели |
Однолетние травы |
Многолетние травы на сено |
|
Фактическая окупаемость 1 ц NPK, ц |
1,8 |
1,8 |
|
Возможная окупаемость 1 ц NPK, ц |
5 |
2 |
|
Прирост окупаемости удобрений,ц |
0,2 |
0,2 |
|
Возможное количество удобрений,ц NPK |
105 |
75 |
|
Резерв увеличения производства продукции,ц.к.ед. |
4,2 |
6,75 |
За счет повышения уровня окупаемости удобрений по однолетним травам и многолетним травам на сено хозяйство получит резерв увеличения валового сбора продукции растениеводства в размере 10,95 ц.к.ед.
Для увеличения производства продукции растениеводства необходимо внедрение более урожайных сортов культур. Хозяйство выращивает 2 сорта картофеля: в отчетном году площадь под сортами: «Луговской» - 9 га, «Невский» - 13 га. Урожайность сорта «Луговской», в среднем, выше. Если агроцех будет выращивать только сорт «Луговской», то получит дополнительно 78 ц.к.ед.(6*13га).
|
Таблица 25 |
|||||
|
Подсчет резервов увеличения производства кормов за счет уборки урожая в оптимальные сроки |
|||||
|
Культура |
Площадь, убранная в оптимальные сроки,га |
Урожайность при уборке, ц.к.ед. |
Потери продукции, ц.к.ед. |
||
|
в срок |
позже |
с 1 га |
со всей площади |
||
|
многолетние травы на сено |
12 |
22 |
18 |
4 |
78 |
|
озимая рожь на зеленый корм |
6,4 |
30 |
27 |
3 |
16,2 |
Если бы хозяйство организовало уборку кормовых культур в оптимальные сроки, то оно бы дополнительно могло получить 67,2 ц.к.ед. Для получения кормов хорошего качества необходимо скашивать травы на сено в молодом возрасте, до созревания семян и обсеменения растений, озимую рожь – в срок трубкования.
|
Таблица 26 |
|||||||
|
Подсчет резервов увеличения производства продукции за счет проведения агротехнических мероприятий |
|||||||
|
Мероприятия |
Площадь,га |
Урожайность,ц.к.ед. |
Потери продукции,ц.к.ед. |
||||
|
план |
факт |
+ / - |
мероприятия проведены |
мероприятия не проведены |
с 1 га |
всего |
|
|
коренное улучшение земель |
15 |
10 |
-5 |
25 |
22 |
3 |
15 |
|
поверхностное улучшение земель |
20 |
18 |
-2 |
24 |
22 |
2 |
4 |
За счет повышения качества обработки земель, известкования почвы, лущения стерни хозяйство может получить резерв роста урожайности и выхода продукции.
В заключении анализа необходимо обобщить все выявленные резервы по каждой кормовой культуре.
|
Таблица 27 |
||||||
|
Обобщение выявленных резервов по увеличению производства продукции растениеводства ,ц.к.ед. |
||||||
|
Источники резервов |
картофель |
однолетние травы |
сено многолетних трав |
многолетние травы на зеленый корм |
озимая рожь на зеленый корм |
корма всего |
|
Расширение посевной площади |
127,5 |
750 |
877,5 |
|||
|
Улучшение структуры посевов |
324 |
-109 |
-72 |
120 |
263 |
|
|
Дополнительное внесение удобрений |
48 |
91 |
32 |
75 |
246 |
|
|
Повышение эффективности удобрений |
4,2 |
6,75 |
10,95 |
|||
|
Использование более урожайных сортов |
78 |
78 |
||||
|
Предотвращение потерь при уборке урожая в оптимальные сроки |
48 |
19,2 |
67,2 |
|||
|
Применение агротехнических мероприятий |
19 |
19 |
||||
|
Всего резервов |
205,5 |
376,2 |
55,75 |
-40 |
964,2 |
1561,65 |
При использовании внутрихозяйственных резервов увеличения производства продукции растениеводства хозяйство может дополнительно получить 1561,65 ц.к.ед., что обеспечит хозяйству устойчивую и экономически эффективную кормовую базу. Наиболее существенными резервами увеличения производства кормов послужили дополнительное внесение удобрений, расширение посевных площадей, внедрение более урожайных сортов. Изменение структуры посевов привело к увеличению производства кормов за счет увеличения доли однолетних трав, озимой ржи, что вызвало не -дополучение валового сбора зеленой массы многолетних трав. Но этот недостаток компенсируется зеленой массой озимой ржи и однолетних трав.
В дальнейшей деятельности хозяйству необходимо учитывать источники увеличения валового сбора кормов, разрабатывать мероприятия, направленные на освоение выявленных резервов.
Выводы и предложения.
В данной курсовой работе был проведен анализ кормовой базы аграрного цеха ОАО «ЗаготИнвест», выявлены резервы увеличения производства кормов.
В цехах организация производства кормов поставлена на хорошем уровне. Корма, производимые в хозяйстве, высокого качества, это позволяет увеличивать объем производства мяса.
Кормовая база хозяйства полностью удовлетворяет потребности животных в кормах. Ветзоослужбой агроцеха были разработаны полноценные рационы, выбраны наиболее эффективные типы кормления животных. Для бесперебойного обеспечения животных кормами в хозяйстве составлен баланс кормов, учитывающий потребности животных, затраты на производство кормов.
Для эффективного производства и использования кормов хозяйству можно предложить:
внедрение районированных кормовых культур с высокой урожайностью;
закупку высокопродуктивных животных, обеспечивающих максимальный выход продукции при минимальном расходе корма;
совершенствование структуры посевов, за счет увеличения доли более эффективных культур, размещения культур по наилучшим предшественникам;
ввести контроль за сроками выполнения работ и ритмичностью производства продукции растениеводства;
использование внутрихозяйственных резервов увеличения производства кормов;
проведение агротехнических мероприятий: повышение качества обработки земли, внесения удобрений в почву, известкование почвы, осушение болот, распашка залежей и пастбищ.
Предложенные мероприятия помогут хозяйству наиболее эффективно использовать кормовую базу хозяйства, обеспечивающую стабильные темпы роста производства продукции животноводства.
Список литературы
Абрютина М.С., Грачев А.В. Анализ финансово-экономической деятельности предприятия. – М.: Издательство «Дело и Сервис», – 2000. – с. 27
Гиляровская Л.Т. Экономический анализ. – М.:Юнити, 2001
Завгородний В.И. и др. Анализ хозяйственной деятельности сельскохозяйственных предприятий. – М.: Агропромиздат, 1987
Ковалев А.И., Привалов В.П. Анализ хозяйственной деятельности предприятия. – М.: Центр экономики и маркетинга, – 1999. – с. 61, 72
Ковалев В.В., Волкова О.Н. Анализ хозяйственной деятельности предприятия. – М.: ПБОЮЛ Гриженко Е.М., – 2000. – с. 335
Лобушин Н.П. и др. Анализ финансово-экономической деятельности предприятия. – М.: ЮНИТИ-ДАНА, – 1999. – с. 201, 244, 273, 315, 354
Савицкая Г.В. Анализ хозяйственной деятельности предприятий АПК. – М.: ИП «Экоперспектива», 1999
Экономический анализ. Управленческий анализ.Ч III. Анализ производства продукции растениеводства и животноводства: Методическое пособие – Киров, 2001
Приложения
|
А Приложение 2 налитический баланс агроцеха |
||||
|
Актив |
условное обозначение |
1999 г. |
2000 г. |
2001 г. |
|
Денежные средства и краткосрочные денежные вложения |
S |
1000 |
1000 |
1020 |
|
Дебеторская задолженность и прочие оборотные активы |
Ra |
135 |
157 |
119 |
|
Запасы и затраты |
Z |
2040 |
2043 |
2092 |
|
Всего текущих активов |
At |
3175 |
3200 |
3231 |
|
Иммобилизованные средства |
F |
3001 |
2817 |
2177 |
|
Итого активов |
Ba |
6176 |
6017 |
5408 |
|
Пассив |
||||
|
Кредиторская задолженность, прочие кредиторские пассивы |
Rp |
820 |
765 |
895 |
|
Краткосрочные кредиты и займы |
Kt |
590 |
540 |
460 |
|
Всего краткосрочных обязательств |
Pt |
1410 |
1305 |
1355 |
|
Долгосрочные кредиты и займы |
Kd |
0 |
0 |
0 |
|
Собственный капитал |
Ec |
4766 |
4712 |
4053 |
|
Итого капитальных вложений |
Bp |
6176 |
6017 |
5408 |
|
Приложение 3 |
||||||||||
БУХГАЛТЕРСКИЙ БАЛАНС |
КОДЫ |
|||||||||
Форма №1 по ОКУД |
0710001 |
|||||||||
|
на 01.01. 2002 г. |
Дата (год, месяц, число) |
|||||||||
|
Организация Аграрный цех ОАО «ЗаготИнвест» |
по ОКПО |
|||||||||
Идентификационный номер налогоплательщика |
ИНН |
|||||||||
Вид деятельности производство сельхозпродукции |
по ОКДП |
|||||||||
Организационно-правовая форма/форма собственности ______________________ |
||||||||||
|
________________________________________________________ |
по ОКОПФ/ОКФС |
|||||||||
|
Единица измерения: тыс. руб./млн. руб. (ненужное зачеркнуть) |
по ОКЕИ |
384/385 |
||||||||
Адрес ___________________________________________________________________________________ |
||||||||||
|
_________________________________________________________________________________________ |
||||||||||
Дата утверждения |
||||||||||
|
Дата отправки (принятия) |
||||||||||
|
АКТИВ |
Код |
На начало отчетного периода |
На конец отчетного периода |
|
1 |
2 |
3 |
4 |
|
I. ВНЕОБОРОТНЫЕ АКТИВЫ |
|||
|
Нематериальные активы (04, 05) |
110 |
||
|
в
том числе: |
111 |
100 |
100 |
|
организационные расходы |
112 |
||
|
деловая репутация организации |
113 |
||
|
Основные средства (01, 02, 03) |
120 |
2717 |
2077 |
|
в
том числе: |
121 |
||
|
здания, машины и оборудование |
122 |
2717 |
2077 |
|
Незавершенное строительство (07, 08, 16, 61) |
130 |
||
|
Доходные вложения в материальные ценности (03) |
135 |
||
|
в
том числе: |
136 |
||
|
имущество, предоставляемое по договору проката |
137 |
||
|
Долгосрочные финансовые вложения (06, 82) |
140 |
||
|
в
том числе: |
141 |
||
|
инвестиции в зависимые общества |
142 |
||
|
инвестиции в другие организации |
143 |
||
|
займы, предоставленные организациям на срок более 12 месяцев |
144 |
||
|
прочие долгосрочные финансовые вложения |
145 |
||
|
Прочие внеоборотные активы |
150 |
||
|
ИТОГО по разделу I |
190 |
2817 |
2177 |
|
АКТИВ |
Код |
На начало отчетного периода |
На конец отчетного периода |
|
1 |
2 |
3 |
4 |
|
II. ОБОРОТНЫЕ АКТИВЫ |
|||
|
Запасы |
210 |
2018 |
2057 |
|
в
том числе: |
211 |
889 |
1175 |
|
животные на выращивании и откорме (11) |
212 |
1129 |
877 |
|
затраты
в незавершенном
производстве
(издержках
обращения)
|
213 |
||
|
готовая продукция и товары для перепродажи (16, 40, 41) |
214 |
5 |
|
|
товары отгруженные (45) |
215 |
||
|
расходы будущих периодов (31) |
216 |
||
|
прочие запасы и затраты |
217 |
||
|
Налог на добавленную стоимость по приобретенным ценностям (19) |
220 |
25 |
25 |
|
Дебиторская задолженность (платежи по которой ожидаются более чем через 12 месяцев после отчетной даты) |
230 |
||
|
в
том числе: |
231 |
||
|
векселя к получению (62) |
232 |
||
|
задолженность дочерних и зависимых обществ (78) |
233 |
||
|
авансы выданные (61) |
234 |
||
|
прочие дебиторы |
235 |
||
|
Дебиторская задолженность (платежи по которой ожидаются в течение 12 месяцев после отчетной даты) |
240 |
57 |
49 |
|
в
том числе: |
241 |
53 |
46 |
|
векселя к получению (62) |
242 |
||
|
задолженность дочерних и зависимых обществ (78) |
243 |
||
|
задолженность участников (учредителей) по взносам в уставный капитал (75) |
244 |
||
|
авансы выданные (61) |
245 |
1 |
3 |
|
прочие дебиторы |
246 |
||
|
Краткосрочные финансовые вложения (56, 58, 82) |
250 |
||
|
в
том числе: |
251 |
||
|
собственные акции, выкупленные у акционеров |
252 |
||
|
прочие краткосрочные финансовые вложения |
253 |
||
|
Денежные средства |
260 |
1000 |
1020 |
|
в
том числе: |
261 |
||
|
расчетные счета (51) |
262 |
||
|
валютные счета (52) |
263 |
||
|
прочие денежные средства (55, 56, 57) |
264 |
||
|
Прочие оборотные активы |
270 |
100 |
70 |
|
ИТОГО по разделу II |
290 |
3200 |
3231 |
|
БАЛАНС (сумма строк 190 + 290) |
300 |
6017 |
5408 |
|
ПАССИВ |
Код |
На начало отчетного периода |
На конец отчетного периода |
|
1 |
2 |
3 |
4 |
|
III. КАПИТАЛЫ И РЕЗЕРВЫ |
|||
|
Уставный капитал (85) |
410 |
578 |
550 |
|
Добавочный капитал (97) |
420 |
3254 |
3400 |
|
Резервный капитал (86) |
430 |
||
|
в
том числе: |
431 |
||
|
резервы, образованные в соответствии с учредительными документами |
432 |
||
|
Фонд социальной сферы (88) |
440 |
||
|
Целевые финансирование и поступления (96) |
450 |
||
|
Нераспределенная прибыль прошлых лет (88) |
460 |
||
|
Непокрытый убыток прошлых лет (88) |
465 |
880 |
103 |
|
Нераспределенная прибыль отчетного года (88) |
470 |
Х |
|
|
Непокрытый убыток отчетного года (88) |
475 |
Х |
|
|
ИТОГО по разделу III |
490 |
4712 |
4053 |
|
IV. ДОЛГОСРОЧНЫЕ ОБЯЗАТЕЛЬСТВА |
|||
|
Займы и кредиты (92, 95) |
510 |
||
|
в
том числе: |
511 |
||
|
займы, подлежащие погашению более чем через 12 месяцев после отчетной даты |
512 |
||
|
Прочие долгосрочные обязательства |
520 |
||
|
ИТОГО по разделу IV |
590 |
||
|
V. КРАТКОСРОЧНЫЕ ОБЯЗАТЕЛЬСТВА |
|||
|
Займы и кредиты (90, 94) |
610 |
540 |
460 |
|
в
том числе: |
611 |
||
|
займы, подлежащие погашению в течение 12 месяцев после отчетной даты |
612 |
540 |
460 |
|
Кредиторская задолженность |
620 |
255 |
280 |
|
в
том числе: |
621 |
255 |
280 |
|
векселя к уплате (60) |
622 |
||
|
задолженность перед дочерними и зависимыми обществами (78) |
623 |
||
|
задолженность перед персоналом организации (70) |
624 |
||
|
задолженность перед государственными внебюджетными фондами (69) |
625 |
||
|
задолженность перед бюджетом (68) |
626 |
||
|
авансы полученные (64) |
627 |
||
|
прочие кредиторы |
628 |
||
|
Задолженность участникам (учредителям) по выплате доходов (75) |
630 |
10 |
15 |
|
Доходы будущих периодов (83) |
640 |
||
|
Резервы предстоящих расходов (89) |
650 |
||
|
Прочие краткосрочные обязательства |
660 |
500 |
600 |
|
ИТОГО по разделу V |
690 |
1305 |
1355 |
|
БАЛАНС (сумма строк 490 + 590 + 690) |
700 |
6017 |
5408 |
СПРАВКА О НАЛИЧИИ ЦЕННОСТЕЙ, УЧИТЫВАЕМЫХ НА ЗАБАЛАНСОВЫХ СЧЕТАХ
|
Наименование показателя |
Код |
На начало отчетного периода |
На конец отчетного периода |
|
1 |
2 |
3 |
4 |
|
Арендованные основные средства (001) |
910 |
||
|
в том числе по лизингу |
911 |
||
|
Товарно-материальные ценности, принятые на ответственное хранение (002) |
920 |
||
|
Товары, принятые на комиссию (004) |
930 |
||
|
Списанная в убыток задолженность неплатежеспособных дебиторов (007) |
940 |
||
|
Обеспечения обязательств и платежей полученные (008) |
950 |
||
|
Обеспечения обязательств и платежей выданные (009) |
960 |
||
|
Износ жилищного фонда (014) |
970 |
||
|
Износ объектов внешнего благоустройства и других аналогичных объектов (015) |
980 |
||
|
990 |
|
Руководитель |
___________ |
______________ |
Главный бухгалтер |
__________ |
_____________ |
|
(подпись) |
(расшифровка подписи) |
(подпись) |
(расшифровка подписи) |
|
“___” _________ 200__ г. |
(квалификационный
аттестат
профессионального
бухгалтера |
Приложение 4
Обеспеченность запасов и затрат источниками их формирования
|
Показатели |
Формула |
1999 г. |
2000 г. |
2001 г. |
Отклонение |
|
Наличие (отсутствие) собственных оборотных средств |
Ac=Ec-F |
1765 |
1895 |
1876 |
111 |
|
Наличие (отсутствие) собственных и долгосрочных заемных источников формирования оборотных средств |
Ar=Ec+Kd |
1765 |
1895 |
1876 |
111 |
|
Наличие (отсутствие) собственных источников долгосрочных, краткосрочных кредитов и займов для формирования оборотных средств |
Ae=Ar+Kt |
2355 |
2435 |
2336 |
-19 |
|
Излишек (недостаток) собственных оборотных средств |
Nc=Ac-Z |
-275 |
-148 |
-216 |
59 |
|
Излишек (недостаток) долгосрочных источников формирования запасов |
Nr=Ar-Z |
-275 |
-148 |
-216 |
59 |
|
Излишек (недостаток) общей величины всех источников |
No=Ao-Z |
315 |
392 |
244 |
-71 |
Приложение 5
Показатели финансовой устойчивости и платежеспособности
|
Показатели |
Формула |
Оптимальное значение |
1999 г. |
2000 г. |
2001 г. |
|
Коэффициент автономии |
Ec/Bp |
0,5-0,6 |
0,8 |
0,8 |
0,7 |
|
Коэффициент финансовой зависимости |
(Kd+Pt) Bp |
0,4-0,5 |
0,2 |
0,2 |
0,3 |
|
Коэффициент соотношения заемных и собственных средств |
(Kd+Pt) Ec |
<=1 |
0,3 |
0,28 |
0,33 |
|
Коэффициент сохранения собственного капитала |
Ecк.г. Ecн.г. |
>1 |
0,98 |
0,99 |
0,86 |
|
Коэффициент абсолютной ликвидности |
S/Pt |
0,2 |
0,71 |
0,77 |
0,75 |
|
Коэффициент промежуточной ликвидности |
(S+Ra) Pt |
0,8-1 |
0,8 |
0,89 |
0,84 |
|
Коэффициент текущей ликвидности |
(S+Ra+Z) Pt |
2-3 |
2,25 |
2,45 |
2,31 |
|
Коэффициент ликвидности запасов |
Z/Pt |
0,9-1 |
0,16 |
0,21 |
0,13 |
|
Коэффициент покрытия нормальный |
(Pt+Z) Pt |
|
2,4 |
2,57 |
2,54 |
Ф
Приложение 6
акторный анализ коэффициента текущей ликвидности| Показатель |
условное обозначение |
2000 г. |
2001 г. |
|
Денежные средства и краткосрочные денежные вложения |
S |
1000 |
1020 |
|
Дебеторская задолженность и прочие оборотные активы |
R |
157 |
119 |
|
Запасы и затраты |
Z |
2043 |
2092 |
|
Всего краткосрочных обязательств |
P |
1305 |
1355 |
В том числе:

Ф









акторный
анализ показал,
что в большей
мере на изменение
показателя
текущей ликвидности
повлияло увеличение
краткосрочных
обязательств.
Отклонение
по этой причине
составило -0,17
т. р. Предприятие
решило несколько
увеличить объем
производства,
чтобы сработать
с меньшим
убытком, и у
него это получилось,
т. к. убыток
сократился
на 777 тыс. руб. Но
следует отметить,
что без участия
головного
предприятия
трудно будет
работать с
прибылью, так
как у цеха нет
свободы действий,
например в
ценовой политике.
|
Расчет влияния структуры посевных площадей на выход продукции способом абсолютных разниц |
||||||||
|
Культуры |
Выход продукции с 1 га ц.к.ед. (план) |
Площадь, га |
Структура посевов, % |
Выход продукции с 1 га ц.к.ед. (факт) |
Изменение уровня урожайности, ц.к.ед. |
|||
|
план |
факт |
план |
факт |
+ / - |
||||
|
Картофель |
25,5 |
29 |
22 |
16 |
12 |
-4 |
24,48 |
-1,02 |
|
Однолетние травы |
36 |
25 |
42 |
14 |
23 |
9 |
39,24 |
3,24 |
|
Многолетние травы |
||||||||
|
на сено |
9,9 |
80 |
75 |
45 |
41 |
-4 |
9,50 |
-0,4 |
|
на зеленый корм |
36 |
23 |
20 |
13 |
11 |
-2 |
35,28 |
-0,72 |
|
Озимая рожь на зеленый корм |
30 |
22 |
25 |
12 |
14 |
1 |
30,30 |
0,3 |
|
Всего |
179 |
184 |
100 |
100 |
1,4 |
|||

|
номер |
x |
y |
xy |
x2 |
y2 |
y(x) |
|
1 |
1,5 |
21,8 |
32,7 |
2,25 |
475,24 |
21,1 |
|
2 |
2,0 |
22,5 |
45 |
4 |
506,25 |
23,9 |
|
3 |
2,2 |
24,8 |
54,5 |
4,84 |
615,04 |
25 |
|
4 |
2,5 |
25,4 |
63,5 |
6,25 |
645,16 |
26,7 |
|
5 |
2,8 |
26,8 |
75 |
7,84 |
718,24 |
28,4 |
|
6 |
3,0 |
31,3 |
93,9 |
9 |
979,69 |
29,5 |
|
7 |
3,5 |
34,2 |
119,7 |
12,25 |
1169,64 |
32,3 |
|
8 |
3,8 |
35 |
133 |
14,44 |
1225,00 |
33,9 |
|
9 |
4,2 |
35,8 |
150,3 |
17,64 |
1281,64 |
36,2 |
|
10 |
4,5 |
37,1 |
166,9 |
20,25 |
1376,41 |
37,9 |
|
Итого |
30 |
294,7 |
934,5 |
98,76 |
8992,31 |
294,9 |
Приложение 8
Исходные данные для расчета зависимости урожайности кормовых культур (у) от количества внесенных удобрений на 1 га посевов (х)
y = a + bx
na + bx = y
a
x
+ bx2
= xy
10a + 30b = 294,7
3
0a
+ 99b
= 934, 7
=>
a=12,7; в=5,6; yx = 12,7 +5,6x

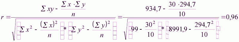
d = (r2) = 92%
|
Влияние факторов на отношение затрат на корма при производстве мяса в аграрном цехе |
||||||||
|
Показатели |
Базисный год |
Отчетный год |
Отчетный объем продукции при расходе кормов и себестоимости базисного года |
Отчетный объем продукции и расход кормов при себестоимости базисного года |
Отклонение,тыс.руб,+ / - |
|||
|
общее |
в т.ч. за счет изменения |
|||||||
|
объема производства продукции |
расхода кормов |
себестоимости кормов |
||||||
|
Валовое производство продукции,ц |
||||||||
|
молодняк КРС |
350 |
200 |
200 |
200 |
||||
|
свиньи |
525 |
675 |
675 |
675 |
||||
|
Расход корма на 1 ц продукции,ц.к.ед. |
||||||||
|
молодняк КРС |
9,3 |
9 |
9,3 |
9 |
||||
|
свиньи |
6,5 |
6 |
6,5 |
6 |
||||
|
Себестоимость 1 ц.к.ед., руб |
20 |
22,8 |
20 |
20 |
|
|||
|
Общая сумма затрат на корма,тыс.руб. |
||||||||
|
молодняк КРС |
65,1 |
41 |
37,2 |
36 |
-24,1 |
-27,9 |
-1,2 |
5 |
|
свиньи |
68,3 |
92,3 |
87,8 |
81 |
24 |
19,5 |
-6,8 |
11,3 |
Overview
Лист1Лист2
Лист3
Лист4
Лист5
Лист6
Sheet 1: Лист1
| Исходные данные для расчета коэффициента специализации | |||||||||||||
| Вид товарной продукции | Базисный год | Прошлый год | Отчетный год | ||||||||||
| стоимость товарной продукции, тыс.руб | удельный вес, % | порядковый номер | Ксп | стоимость товарной продукции, тыс.руб | удельный вес, % | порядковый номер | Ксп | стоимость товарной продукции, тыс.руб | удельный вес, % | порядковый номер | Ксп | ||
| говядина | 1375 | 42.0 | 2 | 1270 | 41.0 | 2 | 1410 | 40.3 | 2 | ||||
| свинина | 1542 | 47.1 | 1 | 1519 | 49.0 | 1 | 1786 | 51.0 | 1 | ||||
| субпродукты | 65 | 2.0 | 5 | 62 | 2.0 | 5 | 63 | 1.8 | 5 | ||||
| телята | 145 | 4.4 | 3 | 93 | 3.0 | 4 | 87 | 2.5 | 4 | ||||
| поросята | 127 | 3.9 | 4 | 123 | 4.0 | 3 | 137 | 3.9 | 3 | ||||
| прочее | 23 | 0.7 | 6 | 31 | 1.0 | 6 | 18 | 0.5 | 6 | ||||
| всего | 3277 | 100 | 0.41 | 3098 | 100 | 0.41 | 3501 | 100 | 0.43 | ||||
Sheet 2: Лист2
| Аналитический баланс агроцеха | ||||
| Актив | условное обозначение | 1999 г. | 2000 г. | 2001 г. |
| Денежные средства и краткосрочные денежные вложения | S | 1000 | 1000 | 1020 |
| Дебеторская задолженность и прочие оборотные активы | R | 135 | 157 | 119 |
| Запасы и затраты | Z | 2040 | 2043 | 2092 |
| Всего текущих активов | A | 3175 | 3200 | 3231 |
| Иммобилизованные средства | F | 3001 | 2817 | 2177 |
| Итого активов | B | 6176 | 6017 | 5408 |
| Пассив | ||||
| Кредиторская задолженность, прочие кредиторские пассивы | R | 820 | 765 | 895 |
| Краткосрочные кредиты и займы | K | 590 | 540 | 460 |
| Всего краткосрочных обязательств | P | 1410 | 1305 | 1355 |
| Долгосрочные кредиты и займы | K | 0 | 0 | 0 |
| Собственный капитал | E | 4766 | 4712 | 4053 |
| Итого капитальных вложений | B | 6176 | 6017 | 5408 |
Sheet 3: Лист3
| Показатели | Формула | 1999 г. | 2000 г. | 2001 г. | Отклонение |
| Наличие (отсутствие) собственных оборотных средств | A=E-F | 1765 | 1895 | 1876 | 111 |
| Наличие (отсутствие) собственных и долгосрочных заемных источников формирования оборотных средств | A=E+K | 1765 | 1895 | 1876 | 111 |
| Наличие (отсутствие) собственных источников долгосрочных, краткосрочных кредитов и займов для формирования оборотных средств | A=A+K | 2355 | 2435 | 2336 | -19 |
| Излишек (недостаток) собственных оборотных средств | N=A-Z | -275 | -148 | -216 | 59 |
| Излишек (недостаток) долгосрочных источников формирования запасов | N=A-Z | -275 | -148 | -216 | 59 |
| Излишек (недостаток) общей величины всех источников | N=A-Z | 315 | 392 | 244 | -71 |
Sheet 4: Лист4
| Показатели | Формула | Оптимальное значение | 1999 г. | 2000 г. | 2001 г. |
| Коэффициент автономии | E/B | 0,5-0,6 | 0.8 | 0.8 | 0.7 |
| Коэффициент финансовой зависимости | (K+P)/B | 0,4-0,5 | 0.2 | 0.2 | 0.3 |
| Коэффициент соотношения заемных и собственных средств | (K+P)/E | <=1 | 0.3 | 0.28 | 0.33 |
| Коэффициент сохранения собственного капитала | E/E | >1 | 0.98 | 0.99 | 0.86 |
| Коэффициент абсолютной ликвидности | S/P | 0.2 | 0.71 | 0.77 | 0.75 |
| Коэффициент промежуточной ликвидности | (S+R)/P | 0,8-1 | 0.8 | 0.89 | 0.84 |
| Коэффициент текущей ликвидности | (S+R+Z)/P | 2-3 | 2.25 | 2.45 | 2.31 |
| Коэффициент ликвидности запасов | Z/P | 0,9-1 | 0.16 | 0.21 | 0.13 |
| Коэффициент покрытия нормальный | (P+Z)/P | | 2.4 |
2.57 |
2.54 |
|
Sheet 5: Лист5
| Расчет влияния структуры посевных площадей на выход продукции способом абсолютных разниц | ||||||||
| Культуры | Выход продукции с 1 га ц.к.ед. (план) | Площадь, га | Структура посевов, % | Выход продукции с 1 га ц.к.ед. (факт) | Изменение уровня урожайности, ц.к.ед. | |||
| план | факт | план | факт | + / - | ||||
| Картофель | 25.5 | 29 | 22 | 16 | 12 | -4 | 24.48 | -1.02 |
| Однолетние травы | 36 | 25 | 42 | 14 | 23 | 9 | 39.24 | 3.24 |
| Многолетние травы | ||||||||
| на сено | 9.9 | 80 | 75 | 45 | 41 | -4 | 9.50 | -0.4 |
| на зеленый корм | 36 | 23 | 20 | 13 | 11 | -2 | 35.28 | -0.72 |
| Озимая рожь на зеленый корм | 30 | 22 | 25 | 12 | 14 | 1 | 30.30 | 0.3 |
| Всего | 179 | 184 | 100 | 100 | 1.4 | |||
Sheet 6: Лист6
| номер | x | y | xy | x2 | y2 | y(x) |
| 1 | 1.5 | 21.8 | 32.7 | 2.25 | 475.24 | 21.1 |
| 2 | 2.0 | 22.5 | 45 | 4 | 506.25 | 23.9 |
| 3 | 2.2 | 24.8 | 54.5 | 4.84 | 615.04 | 25.0 |
| 4 | 2.5 | 25.4 | 63.5 | 6.25 | 645.16 | 26.7 |
| 5 | 2.8 | 26.8 | 75 | 7.84 | 718.24 | 28.4 |
| 6 | 3.0 | 31.3 | 93.9 | 9 | 979.69 | 29.5 |
| 7 | 3.5 | 34.2 | 119.7 | 12.25 | 1169.64 | 32.3 |
| 8 | 3.8 | 35 | 133 | 14.44 | 1225.00 | 34.0 |
| 9 | 4.2 | 35.8 | 150.3 | 17.64 | 1281.64 | 36.2 |
| 10 | 4.5 | 37.1 | 166.9 | 20.25 | 1376.41 | 37.9 |
| Итого | 30 | 294.7 | 934.5 | 98.76 | 8992.31 | 295 |
Содержание
|
3 5 19 19 21 25 27 27 |
Введение . . . . . . . . . . . . . . . . . . . . . .
Организационно-экономическая характеристика аграрного цеха . . . . . . . . . . . . .
Анализ производства и эффективности использования кормов . . . . . . . . . . . . . . .
Анализ состава и структуры кормовых культур . . . .
Анализ урожайности кормовых культур . . . . .
Анализ потребления и обеспеченности в кормах
Анализ влияния типа, уровня кормления животных на их продуктивность
Анализ показателей эффективности использования кормов . . . .
Резервы увеличения производства и эффективности использования кормов . . . . . . . . . . . . . . . .
Выводы и предложения . . . . . . . . . . . . . . . .
Список литературы . . . . . . . . . . . . . . . . . .
Приложения.
Введение.
Для обеспечения положительной динамики эффективности сельскохозяйственного производства необходимо постоянное соблюдение пропорциональности в развитии животноводства и растениеводства, связующим элементом которых является кормовая база. Рационально организованная, прочная и устойчивая кормовая база- решающее условие неуклонного увеличения производства продукции животноводства и повышение его эффективности. Важное значение для оценки деятельности сельскохозяйственного предприятия имеет анализ выполнения плана по объему производства кормов.
В курсовой работе представлены вопросы создания прочной и устойчивой кормовой базы, производства кормов. Цель курсовой работы заключается в исследовании экономической эффективности использования кормов.
Основные задачи состоят в следующем:
охарактеризовать состав и структуру кормовых культур
рассмотреть урожайность культур;
оценить влияние уровня кормления на продуктивность животных;
определить ресурсы увеличения производства кормов.
Объектов исследования является аграрный цех ОАО
Overview
12
3
4
5
6
7
8
9
10
11
12
13
14
15
16
17
18
19
20
21
22
23
24
25
26
27
рис
пр8
Sheet 1: 1
| Таблица 1 | |||
| Среднесписочная численность работников, чел. | |||
| Категории работников | 1999 г. | 2000 г. | 2001 г. |
| Работники, занятые в сельхозпроизводстве | 19 | 19 | 19 |
| из них постоянные рабочие | 17 | 18 | 17 |
| в т. ч. трактористы-машинисты | 7 | 7 | 7 |
| рабочие, занятые обслуживанием животноводства | 10 | 10 | 11 |
| рабочие сезонные и временные | 4 | 3 | 3 |
| служащие, из них | 4 | 4 | 3 |
| руководители | 1 | 1 | 1 |
| специалисты | 3 | 3 | 2 |
| работники ЖКХ | 3 | 3 | 2 |
| количество работников на конец года, всего | 30 | 30 | 29 |
| из них численность женщин | 8 | 9 | 8 |
Sheet 2: 2
| Таблица 2 | ||||
| Трудоемкость и уровень производительности труда | ||||
| Показатели | 1999 г. | 2000 г. | 2001 г. | Отклонение |
| производительность труда, ц /чел.-ч. | 2.31 | 3.46 | 3.34 | 1.03 |
| трудоемкость чел.-ч./ц | 43.5 | 33.1 | 35 | -8.5 |
Sheet 3: 3
| Таблица 3 | |||
| Структура основных производственных фондов, % | |||
| Состав | 1999 г. | 2000 г. | 2001 г. |
| Здания | 67.0 | 68.2 | 70.0 |
| Сооружения | 13.2 | 12.9 | 12.5 |
| Машины и оборудование | 13.6 | 12.8 | 11.4 |
| Транспортные средства | 2.5 | 2.5 | 2.6 |
| Производственный инвентарь | 0.6 | 0.5 | 0.5 |
| Продуктивный скот | 3.1 | 3.1 | 3.0 |
| Итого, в т. ч. | 100 | 100 | 100 |
| производственные фонды | 92.8 | 91.9 | 91.2 |
| непроизводственные фонды | 7.2 | 8.1 | 8.8 |
Sheet 4: 4
| Таблица 4 | |||
| Эффективность использования основных производственных фондов | |||
| Показатели | 1999 г. | 2000 г. | 2001 г. |
| Фондоотдача, руб | 0.54 | 0.29 | 0.40 |
| Фондоемкость,руб | 1.15 | 1.20 | 1.25 |
| Фондовооруженность, тыс.руб. | 78.30 | 78.52 | 80.01 |
Sheet 5: 5
| Таблица 5 | |||
| Эффективность оборотных средств, руб. | |||
| Показатели | 1999 г. | 2000 г. | 2001 г. |
| Материалоемкость | 0.08 | 0.09 | 0.090 |
| Материалоотдача | 13.41 | 11.55 | 10.20 |
Sheet 6: 6
| Таблица 6 | |||
| Себестоимость 1 ц продукции, руб. | |||
| Показатели | 1999 г. | 2000 г. | 2001 г. |
| Привесы телят | 2364 | 1726 | 2417 |
| Привесы поросят | 2414 | 1726 | 2637 |
| Приплод поросят | 3010 | 1807 | 3500 |
| Мясо говядина | 2073 | 3315 | 3532 |
| Мясо свинина | 2374 | 3453 | 3719 |
| Картофель | 78 | 142 | 193 |
| Сено | 30 | 58 | 100 |
| Силос | 18 | 36 | 60 |
| Зеленый корм | 15 | 15 | 20 |
Sheet 7: 7
| Таблица 7 | ||||||
| Каналы реализации продукции | ||||||
| Каналы | 1999 г. | 2000 г. | 2001 г. | |||
| ц. | цена реализации 1 ц, руб. | ц. | цена реализации 1 ц, руб. | ц. | цена реализации 1 ц, руб. | |
| столовая АО | ||||||
| говядина | 42.18 | 1283 | 45.00 | 1270 | 42.63 | 2663 |
| свинина | 18.19 | 1701 | 19.50 | 1700 | 15.72 | 2921 |
| магазины АО | ||||||
| говядина | 301.18 | 1300 | 450.11 | 1301 | 291.17 | 2661 |
| свинина | 253.01 | 1513 | 375.61 | 1690 | 274.77 | 2990 |
| субпродукты | 19.45 | 450 | 15.15 | 510 | 84.12 | 820 |
| Фирма "Мясопродукты" | ||||||
| говядина | 5.91 | 1283 | 15.00 | 1390 | 7.30 | 2806 |
| свинина | 9.32 | 1603 | 20.15 | 1700 | 11.17 | 3327 |
| На сторону | ||||||
| говядина | - | - | 15.01 | 1510 | 23.40 | 2806 |
| свинина | - | - | 28.79 | 1720 | 38.45 | 3422 |
Sheet 8: 8
| Таблица 8 | |||
| Финансовый результат деятельности, тыс. руб. | |||
| Показатели | 1999 г. | 2000 г. | 2001 г. |
| Выручка от реализации товаров, оказания услуг | 1848 | 1827 | 3083.2 |
| Себестоимость реализованных товаров,услуг | 2168 | 2707 | 3186.2 |
| Выручка от реализации | |||
| свинины | 893 | 918 | 2136.4 |
| говядины | 455 | 709 | 546.8 |
| Убыток от финансовой деятельности | -320 | -880 | -103 |
Sheet 9: 9
| Таблица 9 | ||||||||
| Состав и структура посевных площадей агроцеха | ||||||||
| Культуры | базисный год | прошлый год | отчетный год | |||||
| га | % | га | % | план | факт | |||
| га | % | га | % | |||||
| картофель | 32 | 17.4 | 25 | 14.0 | 29 | 16.2 | 22 | 12.0 |
| однолетние травы | 29 | 15.8 | 40 | 22.3 | 25 | 14.0 | 42 | 22.8 |
| многолетние травы на зеленый корм | 22 | 12.0 | 21 | 11.7 | 23 | 12.8 | 20 | 10.9 |
| сено | 83 | 45.1 | 72 | 40.2 | 80 | 44.7 | 75 | 40.8 |
| озимая рожь на зеленый корм | 18 | 9.8 | 21 | 11.7 | 22 | 12.3 | 25 | 13.6 |
| всего посевов | 184 | 100 | 179 | 100 | 179 | 100 | 184 | 100 |
Sheet 10: 10
| Таблица 10 | ||||||
| Динамика и выполнение плана урожайности культур, ц.к.ед. | ||||||
| Культуры | Базисный год | Прошлый год | отчетный год | отчетный год в % к базисному | ||
| план | факт | % выполнения | ||||
| картофель | 24 | 27 | 26.1 | 25.5 | 97.7 | 106.3 |
| однолетние травы | 37 | 35 | 37 | 36 | 97.3 | 97.3 |
| многолетние травы на зеленый корм | 32 | 34 | 32 | 36 | 112.5 | 112.5 |
| сено | 9.8 | 10 | 9 | 9.9 | 110.0 | 101.0 |
| озимая рожь на зеленый корм | 31 | 29 | 30 | 30 | 100.0 | 96.8 |
Sheet 11: 11
| Таблица 11 | ||||
| Выполнение плана по внесению минеральных удобрений | ||||
| Культуры | Количество внесенных удобрений на 1 га посевов, кг NPK | |||
| Прошлый год | Отчетный год | |||
| план | факт | выполнение плана в % | ||
| однолетние травы | 2.8 | 2.8 | 2.5 | 89.3 |
| многолетние травы | ||||
| на сено | 1.0 | 1.0 | 1.0 | 100.0 |
| зеленый корм | 1.7 | 1.3 | 1.5 | 115.4 |
| озимая рожь на зеленый корм | 2.5 | 2.2 | 2.5 | 113.6 |
Sheet 12: 12
| Таблица 12 | ||||
| Окупаемость удобрений по культурам | ||||
| Показатели | однолетние травы | многолетние травы на сено | многолетние травы на зеленый корм | озимая рожь |
| Качество почвы, балл | 56 | 56 | 56 | 56 |
| Цена 1 балла, ц | 3 | 0.36 | 3 | 2 |
| Расчетная урожайность (от естественного плодородия), ц/га | 168 | 20.2 | 168 | 112 |
| Фактическая урожайность, ц/га | 180 | 22 | 190 | 150 |
| Прирост урожайности за счет удобрения почвы, ц | 12 | 1.8 | 12 | 38 |
| Количество внесенных удобрений на 1 га, ц | 2.5 | 1 | 1.5 | 2.5 |
| Фактическая окупаемость 1 ц NPK, ц | 1.8 | 1.8 | 8 | 15.2 |
| Нормативная окупаемость 1 ц NPK, ц | 5 | 2 | 5 | 10 |
Sheet 13: 13
| Таблица 13 | |||||||
| Расчет влияния структуры сортов на среднюю урожайность картофеля | |||||||
| Сорт | Посевная площадь,га | Удельный вес сортов,% | Плановая урожайность ц.к.ед/га. | Изменение средней урожайности ц.к.ед/га. | |||
| план | факт | план | факт | + / - | |||
| "Невский" | 14 | 13 | 48 | 58 | 10 | 23 | 2.3 |
| "Луговой" | 15 | 9 | 52 | 42 | -10 | 29 | -2.9 |
| Всего | 29 | 22 | 100 | 100 | - | - | -0.6 |
Sheet 14: 14
| Таблица 14 | ||||
| Подсчет увеличения урожайности на основе корреляционного анализа | ||||
| Фактор | Уровень показателя | Коэффициент регрессии | Увеличение урожайности, ц.к.ед | |
| фактический | возможный | |||
| х1 | 56 | 58 | 0.35 | -0.7 |
| х2 | 2 | 2.5 | 4 | -2 |
| х3 | 40 | 60 | 0.1 | -2 |
| х4 | 75 | 70 | 0.8 | 4 |
| х5 | 90 | 80 | 0.16 | 1.4 |
| Итого | - | - | - | 0.7 |
Sheet 15: 15
| Таблица 15 | ||||
| Обеспеченность животных кормами, ц.к.ед | ||||
| Виды кормов | Отчетный год | Недостаток(-), перерасход(+) | Обеспеченность кормами,% | |
| план | факт | |||
| Концентраты | 2098 | 2098 | - | 100 |
| Сено | 720 | 720 | - | 100 |
| Силос | 1190 | 1428 | 238 | 120 |
| Картофель | 545 | 474 | -71 | 87 |
| Зеленый корм | 485 | 480 | -5 | 99 |
| Прочие корма | 31 | 31 | - | 100 |
| Всего кормов: | ||||
| ц.к.ед | 5069 | 5231 | 162 | 103 |
| переваримого протеина | 532 | 549 | - | - |
Sheet 16: 16
| Таблица 16 | |||||
| Расход кормов на производство продукции | |||||
| Показатели | Базисный год | Прошлый год | Отчетный год | Отчетный год в % к базисному | |
| план | факт | ||||
| Израсходовано кормов,ц.к.ед | |||||
| телята | 2049 | 2448 | 1926 | 1988 | 97 |
| свиньи | 3343 | 3234 | 3143 | 3243 | 97 |
| Поголовье КРС,гол | 100 | 78 | 50 | 50 | 50 |
| Поголовье свиней,гол | 350 | 360 | 428 | 450 | 129 |
| Получено привеса,ц | |||||
| телята | 350 | 273 | 175 | 200 | 57 |
| свиньи | 525 | 540 | 642 | 675 | 129 |
| Расход кормов в ц.к.ед на 1 ц прироста | |||||
| телята | 9.3 | 8.9 | 8.7 | 9 | 97 |
| свиньи | 6.5 | 6.3 | 6.3 | 6 | 92 |
| Потребность в кормах,ц.к.ед | |||||
| телята | 2049 | 2497 | 1926 | 2008 | 98 |
| свиньи | 3377 | 3267 | 3143 | 3243 | 96 |
| Удовлетворение потребности в кормах,% | |||||
| телята | 100 | 98 | 100 | 99 | - |
| свиньи | 99 | 99 | 100 | 100 | - |
Sheet 17: 17
| Таблица 17 | ||||
| Тип кормления животных в аграрном цехе | ||||
| Группа кормов | молодняк КРС | свиньи | ||
| ц.к.ед | % к итогу | ц.к.ед | % к итогу | |
| концентрированные | 378 | 19 | 1654 | 51 |
| грубые | 517 | 26 | 227 | 7 |
| сочные | 596 | 30 | 876 | 27 |
| зеленые | 497 | 25 | 486 | 15 |
| итого | 1988 | 100 | 3243 | 100 |
Sheet 18: 18
| Таблица 18 | ||||
| Среднегодовой уровень кормления, ц.к.ед | ||||
| Показатели | базисный год | отчетный год | Отчетный год в % к базисному | |
| план | факт | |||
| Произведено на условную голову: | 19.0 | 18.3 | 19.2 | 101 |
| картофеля | 3.1 | 3.3 | 2.8 | 90 |
| сена | 4.9 | 4.9 | 4.9 | 100 |
| силоса | 8.0 | 7.2 | 8.6 | 108 |
| зеленой массы | 3.0 | 2.9 | 2.9 | 97 |
Sheet 19: 19
| Таблица 19 | ||||||
| Резерв увеличения производства продукции за счет повышения уровня кормления | ||||||
| Группы животных | Расход кормов на 1 голову,ц.к.ед | Фактический расход кормов на 1 ц продукции,ц.к.ед | Резерв роста продукции животноводства,ц | возможное поголовье животных, гол | Резерв роста объема производства продукции,ц | |
| план | факт | |||||
| молодняк КРС | 17 | 19 | 9 | 0.2 | 50 | 10 |
| свиньи | 8.5 | 10 | 6 | 0.25 | 450 | 112.5 |
Sheet 20: 20
| Таблица 20 | ||||
| Эффективность использования кормов по видам продукции | ||||
| Показатели | Отчетный год | |||
| прирост живой массы КРС | прирост живой массы свиней | |||
| план | факт | план | факт | |
| Валовая продукция | 200 | 200 | 675 | 675 |
| Расход кормов, ц.к.ед на1ц. продукции | 8.7 | 9 | 6.3 | 6 |
| всего на продукцию | 1740 | 1800 | 4252 | 4050 |
| Отклонение от плана (экономия-,перерасход+) | 60 | -202 | ||
Sheet 21: 21
| Таблица 21 | ||||
| Подсчет резервов увеличения производства продукции растениеводства за счет более полного использования земельных ресурсов | ||||
| Мероприятия | Площадь,га | Культура | Урожайность ц.к.ед./га | Резерв,ц.к.ед. |
| Осушение болот | 5 | куртофель | 25.5 | 127.5 |
| Распашка пастбищ | 25 | озимая рожь | 30 | 750 |
Sheet 22: 22
| Таблица 22 | |||||||
| Расчет резервов увеличения производства продукции растениеводства за счет изменения размера и структуры посевных площадей | |||||||
| Культура | Структура посевов,% | Площадь,га | Фактическая урожайность,ц.к.ед./га | Объем производства при структуре посевов,ц.к.ед. | |||
| план | факт | план | факт | план | факт | ||
| картофель | 12 | 12 | 22 | 22 | 25.5 | 561 | 561 |
| однолетние травы | 18 | 23 | 33 | 42 | 36 | 1188 | 1512 |
| многолетние травы | |||||||
| на сено | 47 | 41 | 86 | 75 | 9.9 | 851 | 742 |
| на зеленый корм | 12 | 11 | 22 | 20 | 36 | 792 | 720 |
| озимая рожь на зеленый корм | 11 | 13 | 21 | 25 | 30 | 630 | 750 |
| Итого | 100 | 100 | 184 | 184 | - | 4022 | 4285 |
Sheet 23: 23
| Таблица 23 | ||||
| Резерв увеличения производства продукции за счет дополнительного внесения удобрений | ||||
| Показатели | Однолетние травы | Сено многолетних трав | Многолетние на зеленый корм | Озимая рожь на зеленый корм |
| Дополнительное количество удобрений,ц NPK | 50 | 112 | 20 | 25 |
| Фактическая окупаемость 1 ц NPK,ц | 1.8 | 1.8 | 8 | 15 |
| Резерв увеличения производства продукции,ц.к.ед. | 48 | 91 | 32 | 75 |
Sheet 24: 24
| Таблица 24 | ||
| Резерв увеличения производства продукции за счет роста окупаемости удобрений почвы | ||
| Показатели | Однолетние травы | Многолетние травы на сено |
| Фактическая окупаемость 1 ц NPK, ц | 1.8 | 1.8 |
| Возможная окупаемость 1 ц NPK, ц | 5 | 2 |
| Прирост окупаемости удобрений,ц | 0.2 | 0.2 |
| Возможное количество удобрений,ц NPK | 105 | 75 |
| Резерв увеличения производства продукции,ц.к.ед. | 4.2 | 6.75 |
Sheet 25: 25
| Таблица 25 | |||||
| Подсчет резервов увеличения производства кормов за счет уборки урожая в оптимальные сроки | |||||
| Культура | Площадь, убранная в оптимальные сроки,га | Урожайность при уборке, ц.к.ед. | Потери продукции, ц.к.ед. | ||
| в срок | позже | с 1 га | со всей площади | ||
| многолетние травы на сено | 12 | 22 | 18 | 4 | 78 |
| озимая рожь на зеленый корм | 6.4 | 30 | 27 | 3 | 16.2 |
Sheet 26: 26
| Таблица 26 | |||||||
| Подсчет резервов увеличения производства продукции за счет проведения агротехнических мероприятий | |||||||
| Мероприятия | Площадь,га | Урожайность,ц.к.ед. | Потери продукции,ц.к.ед. | ||||
| план | факт | + / - | мероприятия проведены | мероприятия не проведены | с 1 га | всего | |
| коренное улучшение земель | 15 | 10 | -5 | 25 | 22 | 3 | 15 |
| поверхностное улучшение земель | 20 | 18 | -2 | 24 | 22 | 2 | 4 |
Sheet 27: 27
| Таблица 27 | ||||||
| Обобщение выявленных резервов по увеличению производства продукции растениеводства,ц.к.ед. | ||||||
| Источники резервов | картофель | однолетние травы | сено многолетних трав | многолетние травы на зеленый корм | озимая рожь на зеленый корм | корма всего |
| Расширение посевной площади | 127.5 | 750 | 877.5 | |||
| Улучшение структуры посевов | 324 | -109 | -72 | 120 | 263 | |
| Дополнительное внесение удобрений | 48 | 91 | 32 | 75 | 246 | |
| Повышение эффективности удобрений | 4.2 | 6.75 | 10.95 | |||
| Использование более урожайных сортов | 78 | 78 | ||||
| Предотвращение потерь при уборке урожая в оптимальные сроки | 48 | 19.2 | 67.2 | |||
| Применение агротехнических мероприятий | 19 | 19 | ||||
| Всего резервов | 205.5 | 376.2 | 55.75 | -40 | 964.2 | 1561.65 |
Sheet 28: рис
|
||||||||||||
| Рис.1. Основные направления поиска резервов увеличения производства продукции растениеводства | ||||||||||||
Sheet 29: пр8
| Влияние факторов на отношение затрат на корма при производстве мяса в аграрном цехе | ||||||||
| Показатели | Базисный год | Отчетный год | Отчетный объем продукции при расходе кормов и себестоимости базисного года | Отчетный объем продукции и расход кормов при себестоимости базисного года | Отклонение,тыс.руб,+ / - | |||
| общее | в т.ч. за счет изменения | |||||||
| объема производства продукции | расхода кормов | себестоимости кормов | ||||||
| Валовое производство продукции,ц | ||||||||
| молодняк КРС | 350 | 200 | 200 | 200 | ||||
| свиньи | 525 | 675 | 675 | 675 | ||||
| Расход корма на 1 ц продукции,ц.к.ед. | ||||||||
| молодняк КРС | 9.3 | 9 | 9.3 | 9 | ||||
| свиньи | 6.5 | 6 | 6.5 | 6 | ||||
| Себестоимость 1 ц.к.ед., руб | 20 | 22.8 | 20 | 20 | ||||
| Общая сумма затрат на корма,тыс.руб. | ||||||||
| молодняк КРС | 65.1 | 41 | 37.2 | 36 | -24.1 | -27.9 | -1.2 | 5 |
| свиньи | 68.3 | 92.3 | 87.8 | 81 | 24 | 19.5 | -6.8 | 11.3 |
Министерство образования РФ
Московская финансово-юридическая академия
Курсовая работа
По анализу хозяйственной деятельности
Анализ производства и эффективности использования кормов в аграрном цехе ОАО «ЗаготИнвест»
Выполнил студент группы МД-32:
Руководитель:
Регистрационный номер:
Дата сдачи на проверку:
Киров, 2002
Похожие работы
-
Материально-производственные запасы сельхозпредприятий, их классификация, оценка. Аналитический и синтетический учет.
К бухгалтерскому учету в качестве материально-производственных запасов принимаются активы, используемые в качестве сырья, материалов и т.п. при производстве продукции для продажи (выполнения работ, оказания услуг).
-
Как оформить движение и списание материалов в казенном учреждении
Учет материалов - процесс достаточно трудоемкий. Сложность его заключается в том, что материальные запасы, которые учреждение использует в своей деятельности, могут иметь абсолютно разное назначение, сроки службы и ценность. Соответственно, порядок хранения, учета и списания для различных категорий материалов не может быть единым.
-
Бизнес-план организации собственного дела по выращиванию и откорму телят
Бизнес-план организации собственного дела по выращиванию и откорму телят Инициатор проекта: Гусейнов Мамед Юсиф оглы Адрес: х. Калинин, ул. Савельевская, д. 6
-
Экономическая эффективность производства мяса КРС на откормочном комплексе ЗАО Нива Новооско
ФГОУ СПО «НОВООСКОЛЬСКИЙ СЕЛЬСКОХОЗЯЙСТВЕННЫЙ КОЛЛЕДЖ» Курсовая работа по дисциплине «Экономика организации» тема: «Экономическая эффективность производства
-
Анализ производственной деятельности СПК Русь Вохомского района Костромской области и определение
ФГОУ ВПО Костромская Государственная Сельскохозяйственная Академия Кафедра экономики управления техническим сервисом Курсовая работа На тему: Анализ производственной деятельности СПК "Русь" Вохомского района Костромской области и определение экономической эффективности переработки кормов для молочной отрасли животноводства
-
Статистико экономический анализ численности молодняка крупного рогатого скота
РОССИЙСКИЙ ГОСУДАРСТВЕННЫЙ АГРАРНЫЙ ЗАОЧНЫЙ УНИВЕРСИТЕТ КУРСОВАЯ РАБОТА по: «Статистике» Факультет : экономический Кафедра : «Аудита и анализа» Специальность
-
Повышение эффективности сельскохозяйственного производства
Предприятия, совхозы и колхозы приобрели широкие права в самоуправлении, планировании, организации производства и финансов. На них легла большая ответственность за конечный результат производственной и финансовой деятельности.
-
Современное состояние птицеводческого подкомплекса Республики Башкортостан
МК 3-11 Современное состояние птицеводческого подкомплекса Республики Башкортостан. Габдрахманова Л.Р. Башкирский государственный аграрный университет
-
Экономика с/х производства
Показатели обеспеченности основными производственными фондами. Земельные ресурсы, их классификация и пути улучшения использования. Производительность труда в сельском хозяйстве. Рентабельность с/х производства. Эффективности производства кормовых культур.
-
Экономико математические методы
Контрольная работа по курсу «» Вариант 0 Задача 1. Необходимо составить оптимальный суточный рацион кормления на стойловый период для дойных коров живой массой 550 кг. Минимальная потребность коров в кормовых единицах и переваримом протеине в зависимости от суточного удоя приведена в табл. 2.