Название: Технико-экономическое обоснование инвестиционного проекта цеха по производству сотовых телефонов
Вид работы: реферат
Рубрика: История
Размер файла: 230.28 Kb
Скачать файл: referat.me-158188.zip
Краткое описание работы: 7.Расчет уровня качества конкурентоспособности нового изделия. Таблица 7.1- Исследование рынка Характеристики товара Баллы Конкурент Конкурент
Технико-экономическое обоснование инвестиционного проекта цеха по производству сотовых телефонов
7.Расчет уровня качества конкурентоспособности нового изделия.Таблица 7.1- Исследование рынка
| Характеристики товара | Баллы | |||
| Конкурент | Конкурент | Конкурент | Новый товар | |
| Sony Ericsson | Nokia | Motorola | Belor | |
| Модель | K610i | 7390 | RAZR V3i | 7373 |
| Технические | ||||
| длина | ||||
| ширина | 3 | 5 | 4 | 5 |
| толщина | ||||
| вес | 5 | 4 | 5 | 4 |
| Тип экрана | 5 | 5 | 5 | 5 |
| Разрешение экрана | 3 | 5 | 3 | 4 |
| Звук | 5 | 5 | 5 | 5 |
| Емкость аккумулятора | 5 | 4 | 4 | 3 |
| Кол-во функций | 3 | 5 | 3 | 5 |
| Эстетические | ||||
| Внешний вид | 4 | 4 | 4 | 5 |
| Удобство использования | 5 | 4 | 4 | 4 |
| Маркетинговые | ||||
| Престижность фирмы | 4 | 5 | 3 | 3 |
| Оригинальность рекламы | 4 | 4 | 3 | 2 |
| Сервис | 4 | 5 | 4 | 5 |
| Гарантия | 4 | 5 | 4 | 5 |
| Средняя цена,долл США | 36 | 54 | 34 | 38 |
Таблица 7.2- Анкета оценки уровня качества
| Характеристики товара | Баллы | Значимость | |||
| Конкуренты | Конкуренты | Конкуренты | Новый товар | ||
| SonyEricsson | Nokia | Motorola | Belor | ||
| Модель | K610i | 7390 | RAZR V3i | 7373 | |
| Технические | |||||
| длина | 7 | ||||
| ширина | 3 | 5 | 4 | 5 | |
| толщина | |||||
| вес | 5 | 4 | 5 | 4 | 6 |
| Тип экрана | 5 | 5 | 5 | 5 | 5 |
| Разрешение экрана | 3 | 5 | 3 | 4 | 9 |
| Звук | 5 | 5 | 5 | 5 | 4 |
| Емкость аккумулятора | 5 | 4 | 4 | 3 | 3 |
| Кол-во функций | 3 | 5 | 3 | 5 | 2 |
| Эстетические | |||||
| Внешний вид | 4 | 4 | 4 | 5 | 8 |
| Удобство использования | 5 | 4 | 4 | 4 | 10 |
| Итого | 38 | 41 | 37 | 40 | 54 |
Таблица 7.3- Оценка нетоварных факторов
| Характеристика товара | Конкуренты | Новый товар | Значимость | ||
| SonyEricsson | Nokia | Motorola | Belor |
| |
| Престижность фирмы | 4 | 5 | 3 | 3 | 2 |
| Оригинальность рекламы | 4 | 4 | 3 | 2 | 1 |
| Сервис | 4 | 5 | 4 | 5 | 3 |
| Гарантия | 4 | 5 | 4 | 5 | 4 |
| Итого | 16 | 19 | 14 | 15 | 10 |
Таблица 7.4- Расчет коэффициента весомости и уровня качества
| Характеристики товара | Баллы | Коэффициент весомости | |||
| Конкуренты | Конкуренты | Конкуренты | Новый товар | ||
| SonyEricsson | Nokia | Motorola | Belor | ||
| Модель | K610i | 7390 | RAZR V3i | 7373 |
|
| Технические | |||||
| длина | 0,13 | ||||
| ширина | 21 | 35 | 28 | 35 | |
| толщина | |||||
| вес | 30 | 24 | 30 | 24 | 0,11 |
| Тип экрана | 25 | 25 | 25 | 25 | 0,09 |
| Разрешение экрана | 27 | 45 | 27 | 36 | 0,17 |
| Звук | 20 | 20 | 20 | 20 | 0,07 |
| Емкость аккумулятора | 15 | 12 | 12 | 9 | 0,05 |
| Кол-во функций | 6 | 10 | 6 | 10 | 0,04 |
| Эстетические | |||||
| Внешний вид | 32 | 32 | 32 | 40 | 0,15 |
| Удобство использования | 50 | 40 | 40 | 40 | 0,19 |
| Итого | 226 | 243 | 220 | 239 | 1 |
| Уровень качества | 1,00 | 1,06 | 0,92 | 0,99 | |
Таблица 7.5- Расчет коэффициента нетоварных факторов
| Характеристика Товара | Конкуренты | Новый товар | Коэффициент значимости | ||||||
| Sony Ericsson | Nokia | Motorola | Belor | ||||||
Балл | Бij*gi | Балл | Бij*gi | Балл | Бij*gi | Балл | Бij*gi | ||
| Престижность фирмы | 4 | 1,6 | 5 | 2 | 3 | 1,2 | 3 | 1,2 | 0,2 |
| Оригинальность Рекламы | 4 | 0,4 | 4 | 0,4 | 3 | 0,3 | 2 | 0,2 | 0,1 |
| Сервис | 4 | 3,6 | 5 | 4,5 | 4 | 3,6 | 5 | 4,5 | 0,3 |
| Гарантия | 4 | 6,4 | 5 | 8 | 4 | 6,4 | 5 | 8 | 0,4 |
| Средняя балловая оценка | 4 | 3 | 4,75 | 3,73 | 3,5 | 2,9 | 3,75 | 3,48 | 1 |
| Коэффициент нетоварных факторов | 1 | 1,2 | 0,96 | 1,16 | |||||
Таблица 7.6- Расчет уровня конкурентоспособности изделия
| Характеристика товара | Конкуренты | Новый товар | ||
| Sony Ericsson | Nokia | Motorola | ||
| Уровень качества | 1,00 | 1,06 | 0,92 | 0,99 |
| Коэффициент нетоварных факторов | 1,00 | 1,2 | 0,96 | 1,16 |
| Фактическая цена в дол.США | 36 | 54 | 34 | 38 |
| Верхний предел цены,долл.США | 36 | 70 | 41 | 55 |
| Уровень конкурентно способности | 1,00 | 1,3 | 1,2 | 1,4 |
Вывод: конкурентоспособность товара оценивается коэффициентом его конкурентоспособности, который представляет собой отношение верхнего предела цены к фактической цене данного товара. Чем выше коэффициент конкурентоспособности, тем стабильнее положение товара на рынке. В данном случае новый товар более конкурентоспособен, чем базовый товар на 40% и он не уступает своим конкурентам.
Заключение
В процессе выполнения курсовой работы было выявлено, что новая модель обладает сотового телефона высокой конкурентоспособностью (уровень конкурентоспособности нового товара равен 1,4) и способна составить достойную конкуренцию импортным товарам. Этому способствует наличие высоких технических характеристик, а так же доступная цена. Соотношение этих показателей даёт прозрачное представление о формате будущего продукта. Этот прогноз подтверждается экономическими расчётами, проведёнными в курсовой работе.
Производство данной продукции оправдано, так как рентабельность производства составляет 14,2%, что является хорошим показателем эффективности производства. Рентабельность продукции 31%. Это позволит погасить кредиты за относительно короткий промежуток времени и вложить денежные средства в научные исследования и усовершенствование продукции, снижение ее себестоимости, повышение качества, на рекламу и продвижение продукции на другие рынки. Период оборачиваемости оборотных средств составляет 23 дней. Как известно, чем больше скорость оборота оборотных средств, тем меньше потребность в них и тем эффективнее и рациональнее они используются. Срок окупаемости капитальных вложений представляет временной отрезок использования экономического объекта, в течение которого инвестиции равномерно возвращаются потоком чистой прибыли. Этот показатель у нас равен 5,65 года. Все эти показатели свидетельствуют об хорошем уровне производства, что позволяет рассчитывать на получение прибыли.
Впоследствии нужно будет вложить дополнительные средства в рекламную кампанию, поскольку конкурентами товара являются марки с известным именем. Нам нужно будет не только пробиться на рынок сотовых телефонов, но и закрепиться там. Поэтому нужно будет заинтересовать потребителей, они должны получить максимум информации о нашем товаре. Первое время можно проводить рекламные акции с вручением подарков первым покупателям. Это привлечёт внимание к нашей продукции и обеспечит дополнительный PR.
Таким образом, производство данного сотового телефона должно быть реализовано, т.к. оно является эффективным, позволит поставить на отечественный рынок качественную и в то же время более дешевую продукцию, по сравнению с импортными аналогами, и будет способствовать улучшению национальной экономики. Благодаря инновационной деятельности, внедрению в производство достижений науки можно добиться высоких результатов в производстве сотовых телефонов в Республике Беларусь.
Таблица 8.2-Технико-экономические показатели проекта
| Основные показатели | Обозначение | Единица измерения | Величина |
| Годовой выпуск продукции: | |||
| - в натуральном выражении | N | шт. | 630000 |
| - в стоимостном выражении |
| млрд.руб. | 34,97 |
| Численность работающих |
| чел. | 168 |
| Производительность труда |
| млн. руб./чел. | 208 |
| Годовой фонд оплаты труда |
| млн. руб. | 197,49 |
| Среднемесячная заработная плата по предприятию |
| руб. | 48500 |
| Стоимость основных производственных фондов | К | млрд. руб. | 7,6 |
| Фондоотдача основных производственных фондов |
| руб./руб. | 4,59 |
| Величина оборотных средств: -нормируемых -общих |
| млрд. руб. млрд. руб. | 1,86 2,19 |
| Период оборачиваемости оборотных средств |
| дней | 23 |
| Себестоимость единицы продукции |
| руб. | 42277,894 |
| Чистая прибыль предприятия |
| млрд. руб. | 1,35 |
| Чистый доход предприятия |
| млрд. руб. | 1,8 |
| Рентабельность производства |
| % | 14,2 |
| Материалоёмкость продукции |
| руб./руб. | 0,69 |
| Фондоёмкость продукции |
| руб./руб. | 0,22 |
| Рентабельность продукции |
| % | 31 |
| Точка безубыточности |
| штук | 171586 |
Проведя расчеты, мы получили чистую прибыль и чистый доход предприятия, а так же рассчитали рентабельность производства и рентабельность продукции. Рентабельность производства имеет значение 14,2%. Это объясняется тем, что при таком сочетании доступная цена - высокое качество продукт будет пользоваться большим спросом и капитал, вложенный в производство, быстро окупится. Период оборачиваемости оборотных средств составляет 23 дней. Мы рассчитали точку безубыточности – объём производства продукции, при достижении которого доходы от продаж равны издержкам производства. При таком объёме выпуска деятельность предприятия становится рентабельной и оно начинает получать прибыль. Рассчитанное значение равно 171586 шт.
БЕЛОРУССКИЙ НАЦИОНАЛЬНЫЙ ТЕХНИЧЕСКИЙ УНИВЕРСИТЕТ
Факультет маркетинга, менеджмента, предпринимательства
Кафедра «Основы бизнеса»
Курсовая работа
по дисциплине «Экономика предприятия»
на тему «Технико-экономическое обоснование инвестиционного проекта цеха по производству сотовых телефонов»
Выполнил ________________ Василевская Ю.В. ______________
Группа 105116
Руководитель_____________ Борисевич И.В. ______________
Минск 2007
6. Определение розничной цены изделия 6.1 Расчет отпускной цены предприятия
На практике используются различные методы установления цен. При этом учитываются различные группы факторов, оказывающие влияние на стратегию ценообразования и на принятие конкретных решений. В специальной литературе по ценообразованию рассматриваются следующие факторы: позиция и цели фирмы на рынке, издержки или фактор затрат, фактор спроса и предложения, потребители, конкуренты, жизненный цикл продукта (степень новизны продукции), фактор полезности, торгующие организации. Структура рынка, государственное воздействие на ценообразование.
При выполнении работы (проекта) можно самостоятельно выбрать любую стратегию ценообразования и любой метод. Схема формирования цены затратным методом с учетом всех налоговых платежей приведена в таблице 6.
Расчет отпускной цены предприятия согласно затратному методу выполняется по формуле:
, руб., (6.1)
где Сп – полная себестоимость единицы продукции, руб.;
Пб – балансовая прибыль, руб.;
Нкосв – косвенные налоги руб.
6.1.1 Расчет балансовой прибылиБалансовая прибыль определяется по формуле:
, руб., (6.2)
где R – рентабельность продукции, %.
руб.
При формировании цены косвенные налоги рассчитываются в строгой последовательности: акциз, отчисления в местные бюджетные фонды, отчисления в поддержку производителей сельскохозяйственной продукции, НДС.
Отчисления в местные бюджетные фонды и небюджетные фонды в соответствии с действующим законодательством рассчитываются по формуле:
, руб., (6.3)
где hед – ставка отчислений в местный бюджет и небюджетные фонды, %.
руб.
Налог на добавленную стоимость (НДС) рассчитывается в процентах от стоимости реализуемых товаров, работ, услуг.
, руб., (6.4)
где hНДС – максимальная ставка НДС, %;
Цпр – отпускная цена без НДС, руб.
руб.
Цена предприятия без НДС включает себестоимость продукции без учета НДС, уплаченного при приобретении производственных ресурсов; балансовую прибыль; акциз, отчисления в местные бюджетные фонды и фонд поддержки производителей сельскохозяйственной продукции.
, руб., (6.5)
руб.
При формировании цен и тарифов на товары и услуги, которые освобождены от уплаты НДС, материальные затраты включаются в себестоимость с учетом налога на добавленную стоимость.
6.1.3 Расчет отпускной цены предприятияОтпускная цена предприятия рассчитывается по формуле:
, руб., (6.6)
где Сп – полная себестоимость единицы продукции, руб.;
Пб – балансовая прибыль, руб.;
Нед – величина отчислений в местные бюджетные фонды и в небюджетные фонды, руб.;
НДС – величина налога на добавленную стоимость, руб.
руб.
В бюджет уплачивается не вся сумма НДС, исчисленного по реализованным товарам, работам и услугам, а лишь разница между суммой НДС, исчисленной исходя из стоимости реализованных товаров (работ, услуг), и суммой НДС, уплаченной при приобретении товарно-материальных ценностей. Так как в рамках курсовой работы нет возможности рассчитать НДС, уплаченный при покупке материальных ценностей, то по упрощённой схеме можно рассчитать НДС, уплачиваемый в бюджет в процентах от добавленной стоимости. Величину добавленной стоимости можно рассчитать по формуле:
, руб., (6.7)
где ФЗПгод - годовой фонд заработной платы всех категорий работников, руб.;
Овб.год – сумма годовых отчислений от фонда заработной платы в бюджет и внебюджетные фонды, руб.;
Агод – годовые амортизационные отчисления на восстановление основных производственных фондов, руб.;
Пб – балансовая прибыль, приходящаяся на одно изделие, руб.;
N – годовая программа выпуска изделий, шт.
млн. руб.
Величина налога на добавленную стоимость, подлежащего уплате в бюджет, рассчитывается по формуле:
, руб., (6.8)
где hНДС – максимальная ставка НДС, %;
ДС – величина добавленной стоимости в расчете на годовую программу выпуска изделий, руб.
млн. руб.
6.2 Расчёт розничной отпускаемой цены изделия
Схема формирования цен сбытовых организаций и розничных цен с учетом НДС представлена на рисунке 1.
| Цпред=Сп+ Пб+Нед= =52302,57 руб. | НДСпр=Цпр*hндс= 9414,46руб. | НДСупл=НДСпр-НДСмат = | |||
| Цотп.пр=61717,04руб. | |||||
| Цпр=52302,57 руб. | Нц опт =10 % | ||||
| Цсб.орг=57532,83 руб. | НДСсб.орг=Цсб.орг*hндс=10355,9руб. | НДСупл=НДСсб.орг- НДСпр=941,5руб. | |||
| Цсб.орг.отп.= руб. | |||||
| Цсб.орг=57532,83 руб. | Нц розн. =20 % | ||||
| Црозн=69039,39 руб. | НДСрозн.=Црозн*hндс=12427,09руб. | НДСупл=НДСрозн- НДСсб.орг=2071,19руб. | |||
| Црозн.отп=81466,48руб. | |||||
6.2.1 Расчёт цены сбытовых организаций
Цена изделия сбытовых организаций рассчитывается по формуле:
, руб./изд., (6.9)
где Цпр – цена предприятия без учёта НДС, руб.;
%Нцопт – величина оптовой наценки к цене предприятия, %.
руб./изд.
Розничная цена рассчитывается по формуле:
, руб./изд., (6.10)
где Цсб.орг. – цена сбытовых организаций, руб./изд.
%НЦопт – величина оптовой наценки к цене предприятия, %.
руб./изд.
Розничная отпускная цена, которую потребитель уплачивает, покупая товар, рассчитывается по формуле:
, руб./изд., (6.11)
где Црозн – розничная цена без учета НДС, руб.;
hНДС – ставка налога на добавленную стоимость, начисленная предприятием розничной торговли, %.
руб./изд.
После установления цены на производимую продукцию тем или иным методом, необходимо сопоставить рассчитанную отпускную розничную цену с ценами на аналогичную продукцию, сложившимися на рынке, в соответствии с таблицей 1. В том случае, если рассчитанная цена единицы продукции больше рыночных цен на продукты-аналоги, следует произвести перерасчет цен. Так как продукция не будет реализована в силу своей не конкурентоспособности. Необходимо изменить или уровень рентабельности, или произвести анализ изделия и технологии его изготовления (ФСА) с целью снижения издержек. Расчет следует закончить тогда, когда может быть обеспечена устойчивая продажа производимой продукции на рынке. Результаты расчетов по данному пункту сводятся в таблицу 6.
Таблица 6. Установление отпускной розничной цены изделия, руб.
Расчетные цены, руб. | Окончательная розничная отпускная цена | Цены конкурентов | ||
| Название фирмы | Цена, руб | |||
| Цена предприятия | 52303 | 86466 | Новый товар | 81466 |
| Nokia | 115366 | |||
| Motorola | 72366 | |||
| Оптовая цена | 69039 | |||
| Розничная отпускная цена | 81466 | Sony Ericsson | 76666 | |
5. Определение численности работающих и фонда заработной платы
Расчет численности работающих производится с учётом следующих факторов: технологической трудоёмкости единицы продукции; соотношения численности различных категорий работающих; использования производственной мощности на протяжении расчетного периода в соответствии с графиком производства работ по проекту.
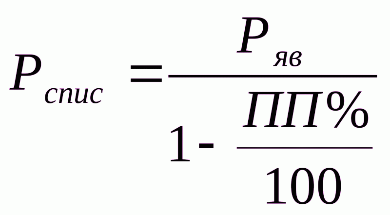
5.1 Расчет численности основных рабочихЯвочная численность основных рабочих рассчитывается по формуле:
, чел., (5.1)
где Ni – количество i-тых изделий, выпускаемых за год, шт.;
tшт – норма времени на изготовление i-го изделия, мин.;
1/60 – коэффициент перевода минут в часы;
Фном – номинальный годовой фонд времени работы одного рабочего (без учета потери рабочего времени), 2040 ч;
квн – средний коэффициент выполнения норм выработки;
кмн – средний коэффициент многостаночного обслуживания.
Ряв.=630000 шт*38мин/(60*2040*1*1,3)=151 чел.
Списочная численность рабочих рассчитывается по формуле:
, чел., (5.2)
где Ряв – явочная численность основных рабочих, чел.;
ПП% - планируемые потери рабочего времени, %.
Рспис.=151/(1-10/100)= 168 чел.
5.2 Определение численности вспомогательных рабочих, ИТР, служащих, МТРОбщая численность работающих определяется по следующей пропорции:
, чел., (5.3)
где Росн – списочная численность основных производственных рабочих, чел.;
%Росн – процент основных производственных рабочих в общей численности работников предприятия.
Робщ.=168*100/41=410чел.
Численность вспомогательных рабочих рассчитывается по формуле:
, чел., (5.4)
где %Рвсп – процент численности вспомогательных рабочих от общей численности работающих.
Рвсп.=410*39/100=160 чел.
Численность специалистов (инженерно-технических работников) рассчитывается по формуле:
, чел., (5.5)
где %РИТР – процент численности инженерно-технических работников от общей численности работающих.
Ритр.= 410*13/100=53 чел.
Численность служащих рассчитывается по формуле:
, чел., (5.6)
где %Рслуж – процент численности служащих от общей численности работающих.
Рслуж.= 410*2/100=8 чел.
Численность сотрудников аппарата управления рассчитывается по формуле:
, чел., (5.7)
где %РУПР – процент численности сотрудников аппарата управления от общей численности работающих.
Рупр.= 410*4/100=16 чел.
Численность работников охраны рассчитывается по формуле:
, чел., (5.8)
где %Рохр – процент численности рабочих охраны от общей численности.
Рохр.= 410*1/100=4 чел.
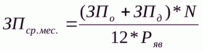
5.3 Определение годового фонда заработной платы всех работников предприятияСреднемесячная заработная плата основных производственных рабочих (без премии) рассчитывается по формуле:
, руб., (5.9)
где ЗПо – основная заработная плата производственных рабочих на одно изделие, руб./шт.;
ЗПд – дополнительная заработная плата производственных абочих на одно изделие, руб./шт.;
N – годовая программа выпуска изделий, шт.;
Ряв – явочная численность основных производственных рабочих, чел.
тыс руб.
Годовой фонд заработной платы основных производственных рабочих рассчитывается по формуле:
, руб., (5.10)
где ЗПо – среднемесячная заработная плата основных производственных рабочих, руб.;
Рспис – списочная численность основных производственных рабочих, чел.
тыс. руб.
Годовой фонд заработной платы вспомогательных рабочих рассчитывается по формуле:
, руб., (5.11)
где ЗПвсп – среднемесячная заработная плата вспомогательных рабочих, руб.;
Рвсп – численность вспомогательных рабочих, чел.
тыс. руб.
Годовой фонд заработной платы инженерно-технических работников рассчитывается по формуле:
, руб., (5.12)
где ЗПИТР – среднемесячная заработная плата инженерно-технических работников, руб.;
РИТР — численность инженерно-технических работников, чел.
тыс. руб.
Годовой фонд заработной платы служащих рассчитывается по формуле:
, руб., (5.13)
где ЗПслуж - среднемесячная заработная плата служащих, руб.;
Рслуж – численность служащих, чел.
тыс. руб.
Годовой фонд заработной платы сотрудников аппарата управления рассчитывается по формуле:
, руб., (5.14)
где ЗПУПР – среднемесячная заработная плата сотрудников аппарата управления, руб.;
РУПР – численность сотрудников аппарата управления, чел.
тыс. руб.
Годовой фонд заработной платы работников охраны рассчитывается по формуле:
, руб., (5.15)
где ЗПохр - среднемесячная заработная плата работников охраны, руб.;
Рохр - численность работников охраны, чел.
тыс. руб.
Расчет производится в пунктах 3.7, в процентах от фонда заработной платы по каждой категории работников.
Результаты расчетов данного раздела сводятся в таблицу 5.1.
После заполнения таблицы строятся круговые диаграммы, отражающие структуру численности работников и фонда заработной платы.
Таблица 5.1- Численность работников предприятия, годовой фонд заработной платы и отчисления в бюджет и внебюджетные фонды
| Категории работающих | Количество работников, чел. | Годовой фонд заработной платы, тыс. руб. | Отчисления в бюджет и небюджетные фонды, млн. руб. |
| Основные рабочие | 168 | 97776 | 35199,36 |
| Вспомогательные рабочие | 160 | 88704 | 31933,44 |
| ИТР | 53 | 9730,8 | 3503,088 |
| Служащие | 8 | 221,76 | 79,8336 |
| Сотрудники аппарата управления | 17 | 999,6 | 359,856 |
| Работники охраны | 4 | 55,2 | 19,872 |
| Всего | 410 | 197487,36 | 71095,45 |

Рисунок 5.1 – Диаграмма «Структура численности работников»

Рисунок 5.2 – Диаграмма «Структура фонда заработной платы»
5.5 Расчет среднемесячной заработной платы по предприятиюСреднемесячная заработная плата по предприятию рассчитывается по результатам таблицы 5 по формуле:
, руб., (5.16)
где
- фонд заработной платы всех работников предприятия, руб.;
- численность всех работников предприятия, чел.;
i=1…k – категория работников предприятия.
ЗПпредпр. = (97776+88704+9730,8+221,76+999,6+55,2)тыс.руб/(168+160+53+8+17+4)* *12= 197487,36/410*12=40,14тыс.руб.
2. Расчет капитальных вложений в основные средства
В состав капитальных вложений, направляемых на создание основных производственных фондов включаются единовременные затраты предприятия, связанные с приобретением оборудования, строительством зданий и сооружений, других составляющих основных фондов, необходимых для производства нового изделия в соответствии с технологическим процессом. В общем случае величина капитальных вложений в основные производственные фонды равна:
, руб., (2.1)
где КЗД – капитальные вложения в здания , руб.,
КОБ – капитальные вложения в рабочие машины и оборудование, руб.,
КТР – капитальные вложения в транспортные средства , руб.,
Кт.о – капитальные вложения в инструмент и технологическую оснастку,
относимые в состав основных фондов, руб.,
КИНВ – капитальные вложения в производственный инвентарь, руб.
Квсп – капиталовложения во вспомогательное оборудование, руб.
К = 3349 +1824,28+770,27+837,25+334,9 +502,35 =7618,05млн.руб.
Для определения КЗД прежде всего необходимо определить их площадь, которая, в свою очередь, зависит от количества оборудования, его размеров и других факторов.
2.1 Расчет величины капитальных вложений в рабочие машины и оборудованиеКапитальные вложения в рабочие машины и оборудование (КОБ) рассчитываются по формуле:
, руб. (2.2)
где Цоб – средняя стоимость единицы i-ого вида оборудования, млн. руб.,
nОБi – количество единиц i-ого оборудования, шт.,
kТМ – коэффициент, учитывающий транспортные и монтажные работы;
m – количество видов оборудования.
Количество i-ого вида оборудования рассчитывается по формуле:
, шт (2.3)
где Ni — годовой объем выпуска i-ой продукции в натуральном выражении, шт.,
tшт — нормативы затрат станочного времени на выполнение i-го вида работ,
мин/шт., мин/м и т. д.
Фдi — действительный годовой фонд времени работы единицы i-го
оборудования, час/год;
квнi — средний коэффициент выполнения норм выработки на i-ой группе
оборудования.
nобi=
=196,55 шт
Коб=17 млн.руб/шт*197=3349 млн.руб
Коэффициент загрузки оборудования рассчитывается по каждой группе оборудования по формуле:
(2.4)

Расчет количества производственных площадей (Sпр) для установки оборудования производства по формуле:
, м2 , (2.5)
где SУД - удельная производственная площадь для установки единицы i-го оборудования, включая проходы, проезды и др. дополнительную площадь, м2.
Sпр=11,5 м2 *197шт=2265,5 м2
Количество вспомогательных площадей SВСП для размещения административных и технических служб, бытовых помещений, кладовых цеха и др., рассчитывается по соответствующим строительным нормам или укрупненного в % от производственной площади по формуле:
, м2, (2.6)
где Sпр – производственная площадь для установки оборудования,м2;
%Sвсп – процентное соотношение вспомогательной площади к производственной площади.

Капитальные вложения в здания рассчитываются по формуле:
, руб.,
где КSnp- стоимость 1м2 производственных площадей, руб.
Snp- производственная площадь для установки оборудования,м2.
КSвсп- стоимость 1м2 вспомогательных площадей, руб.
Sвсп- вспомогательная площадь для размещения административных и
технических служб, бытовых помещений, кладовых цеха и др., м2.

Данные капиталовложения могут приниматься укрупнено в процентах от стоимости технологического оборудования (15-20%):
, руб., (2.8)
где Коб – капитальные вложения в рабочие машины и оборудование, руб.;
% Квсп – величина капитальных вложений во вспомогательное оборудование в % от стоимости технологического оборудования.
Квсп=
Капитальные вложения в транспортные средства КТР зависят от количества и средней стоимости транспортных средств. При укрупненных расчетах эти вложения берутся в % от стоимости оборудования и рассчитываются по формуле:
, руб., (2.9)
где КОБ – капитальные вложения в рабочие машины и оборудование, руб.
%КТР – стоимость транспортных средств в процентах от капитальных
вложений в рабочие машины и оборудование.
Ктр=
Аналогичным образом при укрупненных расчетах определяется величина капитальных вложений в универсальную дорогостоящую технологическую оснастку (свыше 18 млн. руб.), инструмент и инвентарь со сроком службы более года.
, руб., (2.10)
где КОБ – капитальные вложения в рабочие машины и оборудование, руб.,
%КИНВ – стоимость производственного инвентаря в процентах от капитальных
вложений в рабочие машины и оборудование.
Кинв=
Величина капитальных вложений в универсальную технологическую оснастку и инструмент также зависит от стоимости срока службы и количества инструмента. При укрупненных расчетах стоимость инструмента и технологической оснастки берется в процентах от стоимости оборудования:
, руб., (2.11)
где %Кто- стоимость технологической оснастки в процентах от капитальных вложений в рабочие машины и оборудование.
КТО=
Величина годовых амортизационных отчислений определяется на основе годовых норм амортизации и балансовой стоимости различных групп основных фондов по формуле:
,руб., (2.12)
где КБАЛ – балансовая стоимость отдельных групп основных производственных
фондов, млн. руб.
НА – норма амортизации на данную группу основных производственных фондов, %.
,% (2.13)
где Тсл – срок службы группы основных фондов, лет
здания и сооружения — 80
оборудование — 15
транспорт — 8
оснастка и инструмент — 5
инвентарь — 12
2.6.1 Расчет амортизации зданийГодовая амортизация рассчитывается по формуле:
,руб., (2.14)
где КЗД – балансовая стоимость зданий, руб.
НА – норма амортизации зданий в % от балансовой стоимости зданий, %.
На=100/80 лет=1,25%
АЗД=

, руб., (2.14.1)
Годовая амортизация оборудования рассчитывается по формуле:
где КОБ- балансовая стоимость оборудования, руб.
НА- норма амортизации оборудования в % от балансовой стоимости оборудования,
%.
На=100/15 лет=6,667%
Аоб=
Авсп=
Годовая сумма амортизации для транспортных средств АТР, кроме грузовых и легковых автомобилей и автобусов рассчитывается по формуле:
, руб., (2.14.2)
где КТР – балансовая стоимость транспортных средств, млн. руб.
НА – норма амортизации транспортных средств в % от балансовой стоимости
транспортных средств, %.
На=100/8 лет=12,5%
Атр=
Для грузовых, легковых автомобилей и автобусов НА устанавливается на 1000км пробега (Lнорм), но т.к. в цехе нет грузовых автомобилей и автобусов, их амортизация не учитывается.
Рассчитанные значения капитальных вложений в основные производственные фонды и годовые суммы их амортизаций сводятся в таблицу 2.1.
Таблица 2.1 - Капитальные вложения (инвестиции) в основные производственные фонды и годовая сумма их амортизации
| Группы основных производствен-ных фондов | Капитальные вложения, млн. руб. | Удельный вес в общей стоимости основных производ-ственных фондов,% | Норма аморти- зации,% | Годовая сумма аморти-зации, млн. руб | Удельный вес амортизации в структуре общих амортизационных отчислений,% |
| Здания и сооружения | 1824,28 | 23,95 | 1,25 | 22,8 | 4,73 |
| Рабочие машины и оборудование | 3349 | 43,96 | 6,67 | 223,28 | 46,36 |
| Вспомогательное оборудование | 770,27 | 10,11 | 6,67 | 51,35 | 10,66 |
| Транспортные средства | 837,25 | 10,99 | 12,50 | 75,35 | 15,65 |
| Технологическая оснастка и инструмент | 334,9 | 4,4 | 20,00 | 66,98 | 13,91 |
| Производственный инвентарь | 502,35 | 6,59 | 8,33 | 41,85 | 8,69 |
| Всего | 7618,05 | 100,00 | 481,61 | 100,00 |
После заполнения таблицы 2.1. составляются круговые диаграммы (рисунок 2.1., рисунок 2.2), отражающие структуру капитальных вложений в основные производственные фонды, а также структуру амортизационных отчислений.

Рисунок 2.1- Структура капитальных вложений в основные производственные фонды
Рисунок 2.2- Структура капитальных амортизационных отчислений
Таким образом, мы рассчитали капитальные вложения в основные производственные фонды, а так же рассчитали величины годовых амортизационных отчислений на восстановление основных производственных фондов. Большую часть капитальных вложений приходится на рабочие машины и оборудование, меньшую – на технологическую оснастку. Амортизационные отчисления на восстановление производственных фондов так же в основном идут на рабочие машины и оборудование, меньше всего приходится на здания и сооружения.
3.Расчет себестоимости единицы продукции
Полная себестоимость единицы продукции рассчитывается по формуле, руб./изд.:
(3.1)
где М – стоимость материалов, руб./изд.
- стоимость комплектующих изделий, полуфабрикатов и услуг
сторонних организаций, носящий производственный характер, руб. /изд.;
В – стоимость возвратных отходов, руб. /изд.;
(Т+Э)т – стоимость топлива и энергии используемых на технологические цели, руб./изд.;
ЗПО – основная заработная плата производственных рабочих, руб./изд.;
ПД – дополнительная заработная плата производственных рабочих, руб./изд.;
ОВБ – отчисления в бюджет и внебюджетные фонды от средств на оплату труда, руб./ изд.
РПБ – расходы будущих периодов, руб./изд.;
ИЦН – износ инструментов и приспособлений целевого назначения, руб./изд.;
РОП – цеховые расходы (общепроизводственные), руб. /изд.;
Бр – потери от брака, руб./изд.;
Пр – прочие расходы, руб. /изд.;
РОХ – общехозяйственные расходы, руб. /изд.;
РКОМ – коммерческие расходы, руб. /из.
Сп=1610+36800-42+121,34+18,201+50,24+888,9+1063,17+24,268+432,835+1310,94=42277,894руб.
3.1 Расчет стоимости сырья и материаловЗатраты на сырье и материалы рассчитываются по формуле:
, руб./изд., (3.2)
где НР – норма расхода материала на изделие, кг;
ЦН – цена материала, руб. /т.
kТЗ – коэффициент учитывающий транспортно-заготовительные расходы.
М=0,1*14000 руб./кг*1,15=1610руб/изд.
3.2 Расчет стоимости возвратных отходовСтоимость возвратных отходов рассчитывается по формуле:
,руб./изд., (3.3)
где НР – норма расхода материала на изделие, кг;
qЧИСТ – чистая масса изделия, кг;
ЦОТХ – стоимость 1 кг отходных материалов, руб.
qчист=НР*ким, (3.4)
где кИм – коэффициент использования материала для детали
В=(0,1кг – 0,1кг*0,7)*1400 руб./кг = 42 руб./изд.
3.3. Расчет стоимости комплектующих изделия, полуфабрикатов и услуг сторонних организаций, носящих производственный характерРасходы на одно изделие по данной статье даны в исходных данных.
, руб., (3.5)
где Цп.ед – стоимость покупных комплектующих изделий, полуфабрикатов, предусмотренных конструкцией изделия, руб.
Пф = 32 000 руб.*1,15=36800 руб.
3.4 Определение величины расходов на топливо и энергию для технологических целейЭти расходы необходимо учитывать в том случае, когда топливо и энергия используется для нагрева заготовок, сушки изделий после их окрашивания и других технологических целей.
3.5 Определение величины основной заработной платы производственных рабочих на изделиеВеличина основной заработной платы производственных рабочих на изделие рассчитывается по формуле:
, руб./изд., (3.6)
где ЧТС 1р – часовая тарифная ставка 1-го разряда, руб./час;
kТАР i – тарифный коэффициент i-го разряда;
tШТ i – норма времени на изготовление изделия, мин/шт;
kМН – коэффициент многостаночного обслуживания, учитывающий обслуживание одним из рабочих нескольких станков одновременно.
ЗП0 =
руб./изд.
Часовая тарифная ставка первого разряда рассчитывается:
, руб./час, (3.7)
где МЗП – минимальная месячная заработная плата рабочего первого разряда, руб./мес.;
Фиес – месячный фонд времени работы одного рабочего, часов в месяц (принимается 168 часов);
к в — коэффициент увеличения заработной платы (согласно исходным данным).
ЧТС 1р =
/час
Дополнительная заработная плата производственного рабочего, учитывает выплаты, предусмотренные трудовым законодательством за неотработанное производственное время (отпуск, выполнение государственных обязанностей, доплаты подросткам, кормящим матерям, за работу в ночное время и др.). Она принимается в размере 10-15% от основной заработной платы производственных рабочих.
. руб,/изд., (3.8)
где ЗПо — величина основной заработной платы производственных рабочих на единицу продукции, руб./изд.;
%ЗПд— процент от основной заработной платы производственных рабочих на единицу продукции (принимается 10-15%).
ЗПд =121,34руб.*0,15=18,201руб./изд.
3.7 Расчет отчислений в бюджет и внебюджетные фонды от средств на оплату трудаОтчисления в бюджет и внебюджетные фонды рассчитываются по формуле:
, руб./изд. (3.9)
где ЗПО – величина основной заработной платы на единицу продукции,
руб./изд.;
ЗПД – величина дополнительной заработной платы на единицу продукции, руб./изд.,
ФСЗН – отчисления в фонд социальной защиты населения (35%);
ФЗАН – фонд занятости (1%) .
Овб =
Величина расходов будущих периодов РБП равна частному от деления общей величины расходов будущих периодов на годовую программу выпуска новых изделий.
, руб./изд. (3.10)
где Sрбn – итог сметы расходов будущих периодов, руб.,
N – годовая программа выпуска изделий, шт.
РБП =
Статья "износ инструментов и приспособлений целевого назначения и прочие специальные расходы" учитывает затраты на изготовление, приобретение и ремонт специального инструмента и приспособлений (модели, штампы, пресс-формы и т.п.).Величина расходов по этой статье может быть рассчитана по следующей формуле:
, руб./изд., (3.11)
где SИЦН – итог сметы расходов по всем инструментам целевого назначения, применяемым для изготовления конкретного изделия, руб.
N – годовая программа выпуска изделий, шт.
При укрупненных расчетах общая величина расходов по данной статье на единицу продукции берется в % от стоимости оборудования при его полной загрузке и рассчитывается по формуле:
, руб./изд., (3.12)
где КОБ – капитальные вложения в оборудование, руб.
%ИЦН –% износа инструмента целевого назначения от стоимости оборудования.
N – годовая программа выпуска изделий, шт.
Ицн =
Эта статья затрат является комплексной, она включает две части:
а) расходы по содержанию и эксплуатации оборудования;
б) расходы по организации, обслуживанию и управлению производством.
Расходы по содержанию и эксплуатации оборудования (РСЭО) подразделяются на следующие виды затрат:
амортизация оборудования, транспортных средств и ценного универсального инструмента со сроком службы более года;
эксплуатация оборудования (кроме расходов на ремонт);
ремонт оборудования и транспортных средств;
внутризаводское перемещение грузов;
износ малоценных и быстроизнашивающихся инструментов и приспособлений;
прочие расходы.
Для того, чтобы определить величину РСЭО на годовой объем выпуска продукции, составляется самостоятельная смета затрат.
Расходы по организации, обслуживанию и управлению производством включает следующие группы затрат:
оплата труда работников аппарата управления цехом (цехами) а также оплата труда специалистов и других служащих, обслуживающих производство, включая соответствующие отчисления;
амортизация зданий, сооружений, инвентаря;
содержание и ремонт зданий, сооружений, инвентаря;
расходы на испытания, опыты, исследования, рационализацию и изобретательство;
расходы на мероприятия по обеспечению нормальных условий труда и техники безопасности;
прочие расходы..
Величина общепроизводственных расходов (Роп) на изделие может быть рассчитана пропорционально основной заработной плате производственных рабочих по формуле:
, руб./изд., (3.13)
где ЗПО – величина основной заработной платы на единицу продукции,
руб./изд.;
%Коп — процент общепроизводственных расходов к фонду основной заработной платы производственных рабочих цеха.
Роп = 
В статью "Потери от брака" включаются расходы, которые являются следствием нарушения технологического процесса. Полностью они отражаются только в фактической себестоимости, а в плановой, как правило, не предусматриваются. Исключение составляют некоторые производства где брак технологически неизбежен. В курсовой работе эта статья не учитывается.
3.12 Определение величины прочих производственных расходовПланируются и учитываются затраты на гарантийное обслуживание и ремонт продукции. К ним относятся расходы предприятия на содержание персонала, обеспечивающего нормальную эксплуатацию изделий у потребителя в пределах установленного гарантийного срока и гарантийного ремонта их в соответствии с установленными нормами. Затраты на гарантийный ремонт и гарантийное обслуживание включаются в себестоимость тех изделий, на которые установлен гарантийный срок службы. В курсовой работе "Прочие производственные расходы" в себестоимости изделия не учитываются.
3.13 Определение величины общехозяйственных (заводских) расходовВ статью общехозяйственных (заводских)расходов включаются затраты, связанные с организацией и обслуживанием производства и управлением предприятием в целом:
расходы на оплату труда работников аппарата управления предприятия;
расходы на командировки и служебные разъезды;
расходы по содержанию и эксплуатации легкового транспорта , технических средств управления;
текущие расходы, связанные с природоохранительными мероприятиями.
амортизация, содержание и ремонт зданий и инвентарь общественного назначения;
расходы на оплату консультальционных, информационных и аудиторских услуг;
представительские расходы;
износ нематериальных активов.
Общехозяйственные расходы относят на себестоимость отдельных видов продукции пропорционально расходам на основную заработную плату производственных рабочих либо пропорционально прямым материальным и трудовым затратам.
Величина общехозяйственных расходов на изделие может быть рассчитана по следующей формуле:
, руб./изд. (3.14)
где М – прямые материальные затраты на изделие, руб.;
ЗПО – величина основной заработной платы, руб.;
%КОХ – процент общехозяйственных (заводских) расходов по отношению к прямым и трудовым затратам ( 7%).
Рох =
В статье "Коммерческие расходы" учитываются затраты и расходы по сбыту продукции:
на тару и упаковку продукции;
на доставку продукции к станции отправления;
на погрузку продукции;
на исследование рынка;
на участие в торгах на товарной бирже, аукционах;
на рекламу;
прочие расходы, связанные с реализацией продукции.
При невозможности отнесения коммерческих расходов прямым путем распределение их между отдельными изделиями осуществляется пропорционально себестоимости. Для расчета величины коммерческих расходов, приходящихся на 1 изделие, необходимо вначале определить его производственную стоимость СПР, которая может быть рассчитана по формуле пункта 2.3 без коммерческих расходов.
Величину коммерческих расходов Рком можно рассчитать по формуле:
, руб./изд., (3.15)
где СПР – производственная себестоимость изделия, руб.;
ККОМ – процент коммерческих расходов к общей производственной себестоимости, %.
Рком =
,
где
(3.16)
Спр = 1610+36800-42+121,34+18,201+50,24+888,9+1063,17+24,268+432,835=40966,954 руб./изд.
Результаты расчетов сводятся в таблице 3.1.
Таблица 3.1 - Плановая (отчётная) калькуляция себестоимости продукции
| Условное обозна- | Наименование статей расходов | Фактическая себестоимость | Удельный вес статьи затрат в полной себестоимости продукции, % | |
| Единицы продукции, руб. | Годовой программы выпуска, млрд. руб. | |||
| 1. М | Сырье и материалы | 1610 | 1,014 | 3,8 |
| 2.Пф | Комплектующие изделия, полуфабрикаты и услуги сторонних организаций производственного характера | 36800 | 23,184 | 86,87 |
| 3.В | Возвратные отходы (вычитаются) | 42 | 0,0265 | 0,099 |
| 4.(Т+Э)т | Топливо и энергия на технологические цели | - | - | - |
| 5.ЗПО | Основная з/п производственных рабочих | 121,34 | 0,0764 | 0,29 |
| 6.ЗПД | Дополнительная з/п производственных рабочих | 18,201 | 0,0115 | 0,043 |
| 7.ОВБ | Отчисления в бюджет и внебюджетные фонды от средств на оплату труда | 50,24 | 0,0317 | 0,12 |
| 8.РБП | Расходы будущих периодов | 888,9 | 0,56 | 2,098 |
| 9.ИЦН | Износ инструментов и приспособлений целевого назначения | 1063,17 | 0,6698 | 2,509 |
| 10.РОП | Общепроизводственные расходы (цеховые). | 24,268 | 0,01529 | 0,057 |
| 11.Бр | Потери от брака | - | - | - |
| 12.Пр | Прочие расходы | - | - | - |
| 13.РОХ | Общехозяйственные расходы (заводские). | 432,835 | 0,2727 | 1,02 |
| 14.СПР | Производственная себестоимость | 40966,954 | 25,867 | 96,92 |
| 15.РКОМ | Коммерческие расходы | 1310,94 | 0,826 | 3,095 |
| 16.СП | Полная себестоимость | 42277,894 | 26,688 | 100,00 |
| 17.VC | Условно-переменные издержки | 38641,781 | 24,344 | 91,3 |
| 18.FC | Условно-постоянные издержки | 3720,113 | 2,344 | 8,7 |
После заполнения таблицы 3.1. строится круговая диаграмма, отражающая структуру себестоимости продукции (рисунок 3.1)

Рисунок 3.1 – Структура себестоимости продукции
Пути снижения себестоимости продукции
Снижение себестоимости продукции возможно по нескольким направлениям. Проанализировав данные, полученные при расчетах, и отобразив их на круговой диаграмме, получаем следующую картину.
Конечно же, одним из самых эффективных путей снижения удельного веса себестоимости продукции в окончательной цене — повышение качества продукции. Повышая качество, мы будем иметь возможность продавать товар по более высокой цене, тем самым снизим удельный вес себестоимости в цене. Для нашего случая, а именно анализируется перспективность запуска производства нового товара, необходимо заранее проанализировать и выпустить максимально качественную продукцию. Для этого необходимо несколько составляющих.
Например, разработка технологичной конструкции, которая как следствие позволит усовершенствовать и упростить технологический процесс изготовления деталей и сборки их в готовое изделие. Повышение технологичности конструкции, а значит и ее максимально допустимое упрощение, позволит снизить количество деталей в ее составе, максимально облегчить конструкцию, а значит и снизить материальные затраты и затраты на комплектующие изделия, которые занимают первую позицию в структуре себестоимости продукции. Так же эти два мероприятия (повышение технологичности конструкции и усовершенствование техпроцесса) позволят определить необходимые качества используемых материалов и обоснованность их применения, что позволит заменить более дорогостоящие материалы и полуфабрикаты, более дешевыми альтернативными, при этом замена не должна повлиять на качество продукции.
Усовершенствование организации труда повысит производительность труда, упрощение техпроцесса снизит сложность изготовления, это снизит трудовые затраты, а соответственно и расходы на заработную плату.
Усовершенствование техпроцесса позволит также снизить износ инструментов и нагрузку на оборудование, снижая тем самым затраты на из ремонт и обслуживание.
4. Расчет величины капитальных вложений в оборотные средства
Оборотные средства включают в себя:
Оборотные фонды (производственные запасы, незавершенное производство, расходы будущих периодов).
Фонды обращения (готовая продукция на складах предприятия, товары отгруженные, находящиеся в пути к потребителю, средства в расчетах с потребителями, дебиторская задолженность, денежные средства на счету предприятия).
В курсовой работе в соответствии с исходными данными можно рассчитать величину оборотных средств, необходимую для создания производственных запасов основных материалов, покупных полуфабрикатов и комплектующих изделий, малоценных и быстроизнашивающихся предметов, незавершенного производства ,расходов будущих периодов, готовой продукции на складе, что составляет около 70% от общей величины необходимых оборотных средств.
4.1 Определение величины оборотных средств в запасах материаловВ состав производственных запасов входят следующие элементы:
Основные материалы;
Вспомогательные материалы;
топливо
Потребность в оборотных средствах для создания производственных запасов определяется по формуле:
, руб., (4.1)
где Зт – величина текущего запаса материалов, натуральные единицы измерения (тонны, м3 и т. д. );
Зстр – величина страхового запаса, натуральные единицы измерения (тонны, м3 и т. д. );
Цм – цена единицы материалов (руб./м3, руб./тонна и т. д. );
Ктз – коэффициент, учитывающий транспортные заготовительные расходы.
Нзм = 14000руб./кг*1,15*(5190 кг/2+865кг)= 55,706 млн. руб.
Величина текущего запаса определяется по формуле:
, (4.2)
Зт = 0,173 т*30=5,19 т=5190 кг
Величина страхового запаса определяется по формуле:
(4.3)
где d – среднесуточная потребность в материалах, тонн, м2 и т.д.;
Тпост – период поставки материалов, дней;
DТ – страховой запас материалов, дней.
Зстр = 0,173 т*5 = 0,865 т=865 кг
Среднесуточная потребность в материалах вычисляется по формуле:
тонн, м3 и т.д., (4.5)
где Нр – норма расхода материалов на изделие, кг.;
N – годовая программа выпуска изделий, шт.;
Тгод – количество дней в году.
d =0,1 кг*630000/(365*1000)=0,173 т=173 кг
Аналогичным образом рассчитывается потребности во вспомогательных материалах, топливе, запасных частях, прочих запасах.
4.2 Определение величины оборотных средств в запасах полуфабрикатов и комплектующих изделийВеличина оборотных средств (инвестиций) в запасах полуфабрикатов и комплектующих изделий рассчитывается по формуле:
, руб., (4.6)
где Nср.сут. – среднесуточный выпуск продукции, шт.;
Тпост – период поставки полуфабрикатов и комплектующих изделий, дней;
DТ – страховой запас полуфабрикатов и комплектующих изделий, дней;
Цп/ф цена полуфабрикатов и комплектующих на одно изделие, руб.;
Ктз – коэффициент, учитывающий транспортные заготовительные расходы.
Нп/ф =
млн. руб.
Оборотные средства в запасах инструмента целевого назначения рассчитываются по формуле:
, руб., (4.7)
где Кинстр – годовой расход инструмента целевого назначения, руб.;
Тгод – годовой период времени, дней;
Тпост – текущий (месячный) запас инструмента, дней;
DТ – страховой (полумесячный) запас инструмента, дней.
Нзап.инстр. =669,7971 млн. руб./365*(30/2+5)= 36,7 млн. руб.
Годовой расход инструмента:

, руб., (4.8)
где N – программа выпуска, тыс.шт.;
-износ инструмента целевого назначения в расчете на одно изделие,руб.
Кинстр. = 1063,17*630 тыс.шт. = 669,7971 млн. руб.
4.5 Определение величины оборотных средств в незавершенном производствеВеличина оборотных средств в незавершенном производстве рассчитывается по формуле:
,руб., (4.9)
где Nср.сут. – среднесуточный выпуск продукции в натуральном выражении, шт.;
Тц – длительность производственного цикла, дней;
Спр – производственная себестоимость единицы продукции, руб.;
Кнз – коэффициент нарастания затрат (0,5<кнз<1,0)
млн.руб.
(4.10)
где М – материальные затраты на единицу продукции, руб.
Кнз = (1610руб.+ 40966,594руб.)/2*40966,594руб.=0,52
4.6 Определение величины оборотных средств в расходах будущих периодовТак как величина оборотных средств в расходах будущих периодов накапливается в течение всего года, то берётся в качестве норматива Нбп половина расходов будущих периодов за год:
, (4.11)
где Рбп – расходы будущих периодов на годовой выпуск продукции, руб.
Нбп = 560 млн.руб./2=280 млн.руб.
4.7 Определение величины оборотных средств в запасах продукции на складеВеличина оборотных средств в запасах продукции на складе определяется по формуле:
, руб., (4.12)
где Qср.сут – величина среднесуточной отгрузки товара на склад по себестоимости, руб.;
Тподг – время подготовки продукции к отправке, дней.
Нгот = 70,87 млн.*2=141,74 млн. руб.
Величина среднесуточной отгрузки товара на склад вычисляется по формуле:
, руб., (4.13)
где Сгод – годовые затраты на производство продукции, руб.;
Тгод – годовой период времени, дней.
Qср.сут. = 25867 млн. руб./365=70,87 млн. руб.
4.8 Определение величины нормированных оборотных средств предприятия(цеха) Общая величина оборотных средств предприятия(цеха) определяется по формуле:
, руб., (4.14)
где Нзап – величина оборотных средств(инвестиций) в запасах материалов, руб.;
Нп/ф - величина оборотных средств (инвестиций) в запасах полуфабрикатов и комплектующих изделий, руб.;
Нмбп - величина оборотных средств в запасах малоценных и быстроизнашивающихся предметов, руб.;
Нинстр – величина оборотных средств в запасах инструмента целевого назначения, руб.;
Ннп – величина оборотных средств в незавершенном производстве, руб.;
Нбп – величина оборотных средств в расходах будущих периодов, руб.;
Нгот – величина оборотных средств в запасах готовой продукции на складе, руб.
ОСн = 55,706+1270+36,7 +73,54+280+141,74 = 1857,69 млн. руб.
4.9 Определение величины ненормируемых оборотных средств предприятия (цеха)Величина ненормируемых оборотных средств предприятия (цеха) определяется суммой следующих величин:
себестоимостью отгруженных товаров, находящихся в пути к потребителю;
средствами в расчётах с потребителями;
дебиторской задолженностью;
денежными средствами на счету предприятия.
Величину ненормируемых оборотных средств предприятия (цеха) можно рассчитать по формуле:
, руб., (4.15)
где ОСн – величина нормируемых оборотных средств предприятия (цеха), руб.;
%ОСнен – процент ненормируемых средств в общей величине оборотных средств предприятия(цеха).
млн.руб.
Общую величину оборотных средств предприятия(цеха) можно рассчитать по формуле:
, руб., (4.16)
где ОСн – величина нормируемых оборотных средств предприятия(цеха), руб.;
ОС – общая величина оборотных средств предприятия (цеха), руб.
ОС=1857,69+334,38=2192,07 млн. руб.
Результаты расчетов данного раздела сводятся в таблицу 4.
После заполнения таблицы составляется круговая диаграмма структуры оборотных средств цеха, затем она анализируется и намечаются возможные пути снижения величины оборотных средств и материальных ресурсов.
Таблица 4.1 - Величина оборотных средств предприятия (цеха)
| Группа оборотных средств | Величина, млн.руб. | Удельный вес, % |
| 1. Оборотные средства в запасах материалов | 55,706 | 2,54 |
| 2. Оборотные средства в запасах полуфабрикатов и комплектующих изделий | 1270 | 57,94 |
| 3. Оборотные средства в запасах инструмента целевого назначения | 36,7 | 1,67 |
| 4. Оборотные средства в незавершенном производстве | 73,54 | 3,35 |
| 5. Оборотные средства в запасах готовой продукции | 141,74 | 6,47 |
| 6. Оборотные средства в расходах будущих периодов | 280 | 12,77 |
| Нормируемые ОС | 1857,69 | 84,75 |
| Ненормируемые ОС | 334,38 | 15,25 |
| Всего | 2192,07 | 100,00 |
Рисунок 4.1 - Структура оборотных средств предприятия.
Пути снижения величины оборотных средств и материальных ресурсов.
Расчетная потребность в оборотных средствах прямо пропорциональна объему производства и обратно пропорциональна скорости их обращения (числу оборотов). Чем больше скорость их обращения, тем меньше потребность в оборотных средствах и тем лучше они используются.
Уменьшение норматива оборотных средств в запасах материалов напрямую связано со снижением себестоимости потребления материала, который снижается в результате сокращения удельного расхода материалов на единицу продукции. Величина материалоемкости продукции оказывает непосредственное влияние на размеры производственных запасов и стоимость нормируемых оборотных средств. Определяя потребность в запасах материалов, следует учитывать, что чрезмерное сокращение их может повлечь за собой перебои в работе предприятия, а их необоснованное увеличение приводит к сокращению оборачиваемости капитала. Количество материалов в запасе определяется условиями производства, снабжения, сроками оплаты дебиторской и кредиторской задолженности.
Сокращение длительности производственного цикла имеет важное значение для ускорения оборота средств в незавершенном производстве и может обеспечиваться повышением уровня интенсификации производственных процессов; уменьшением номенклатуры изготовляемой продукции и сроков освоения вновь вводимых производственных мощностей; улучшением использования основного капитала; снижением трудоемкости выпускаемой продукции; совершенствованием организации производства.
ВВЕДЕНИЕ
Открытое акционерное общество «ГОРИЗОНТ» - крупнейшая в Республике Беларусь и странах СНГ компания по производству телевизионной, аудио- и видеотехники, тюнеров параболических антенн для приема спутникового вещания, тюнеров для приема цифрового наземного вещания, оборудования для построения кабельных сетей.
ОАО "Горизонт" создано в 2002 году путем преобразования производственного объединения в открытое акционерное общество. Всего на ОАО "Горизонт" и его семи частных унитарных предприятиях работают 4,3 тыс. человек. "Горизонт" выпускает 73 модификации телевизоров, DVD-проигрыватели, СВЧ-печи, пылесосы, мониторы, другую бытовую технику. Около 60% производимых телевизоров ежегодно поставляется на экспорт. Основные рынки сбыта телевизионной техники — Россия, Украина, страны Средней Азии и Балтии. Доля на рынке телевизоров «Горизонт» в Беларуси составляет
более 50%.
В настоящее время «ГОРИЗОНТ» меняется и переоснащается в соответствии с требованиями времени. Умение сделать верные прогнозы и выпускать продукцию необходимую потребителю – неотъемлемая часть стратегии предприятия. Придерживаясь принципов современного маркетинга, предприятие постоянно наращивает объемы выпускаемой продукции и осваивает новые рынки сбыта, расширяет номенклатуру выпускаемой продукции, осваивая новые направления, а именно – новые модели телевизоров; бытовую электронику: утюги, кондиционеры; медицинскую технику: многофункциональные стоматологические комплексы, мониторы пациента,
функциональные кровати пациента.
Производство ОАО «ГОРИЗОНТ» сертифицировано по системе качества ISO 9001, имеет сертификат экологической безопасности ISO 14001, соответствует всем европейским требованиям по технике безопасности по системе OHSAS 18001, базовые модели выпускаемых телевизоров соответствуют международным стандартам СЭ.
Продукция ОАО «ГОРИЗОНТ» не однократно отмечена дипломами выставок. Предприятие награждено дипломами национального конкурса БРЭНД ГОДА, международного конкурса «Выбор Года». Получен сертификат победителя акции
«Олимпийское качество-2006».
Сегодня для выведения работы “Горизонта” на качественно новый уровень необходимы кардинальные шаги. В их числе — диверсификация производства как за счет расширения номенклатурного ряда традиционной продукции, так и за счет выпуска новых видов сложной бытовой техники. Ставка должна делаться на наиболее востребованные и перспективные товары.
В данной курсовой работе произведем технико-экономическое обоснование инвестиционного проекта цеха по производству нового изделия - сотовых телефонов. Предприятий по производству сотовых телефонов на территории РБ пока нет, что одновременно является и положительным и отрицательным фактором для нашего проекта.
1. Анализ рынка и разработка концепций маркетинга 1.1. Структура и характеристика рынка
Сегодня на рынке имеется большой выбор сотовых телефонов. Что же такое сотовый телефон? Сотовый телефон — мобильное коммуникационное устройство использующее комбинацию радио-передачи и традиционную телефонную коммутацию для осуществления телефонного общения на определенной территории (зоне покрытия) , состоящей из «сот», окружающих базовые станции сотовой сети, с другими абонентами. Сотовый телефон состоит из двух частей: телефонной трубки — ME (Mobile Equipment — мобильное устройство) и SIM- карты (англ. Subscriber Identity Module — модуль абонента — подписчика,некоторые сотовые телефоны не требуют SIM- карты, так как записывают информацию в свою память, а не на карту). Трубка— сложное высокотехнологичное электронное устройство, состоящее из приемопередатчиков 2-4 ультракоротковолновых (УКВ) диапазонов, специализированного компьютера с дисплеем, устройств интерфейса, аккумулятора, зарядного устройства и пр.: фото-видео камеры, MP3 плеера и т. д.
Популярность сотовых телефонов обусловлена прежде всего тем, что всегда можно найти необходимого тебе абонента. Это позволяет быстро решать различного рода проблемы. Кроме этого современные сотовые телефоны превратились в миникомпьютеры и предоставляют множество других услуг, например: калькулятор, интернет и т.д.
Широко известны такие марки, как Nokia, Motorola, Samsung, Sony Ericsson. Так же известны марки Gresso, LG, BenQ, Siemens(c 2005 — BenQ-Siemens), Mitsubishi (Mitsubishi Trium Eclipse), Fly и др. Все эти производители из зарубежных стран. Соответственно и цена на эти импортные товары высока из-за импортных пошлин, больших транспортных расходов. Однако спрос от этого на сотовые телефоны не падает.Все же высокое качество связи, отличный дизайн, обладание большим количеством функций и т.д. — все равно заставляет людей покупать сотовые телефоны.
В Белоруссии нет предприятий по производству сотовых телефонов, но на рынке РБ существуют фирмы, занимающихся поставкой данного товара. Их не многим более 10. Основные из них: «Евросеть», «Сотовичок», а так же операторы сотовой связи на территории РБ.
Белорусские предприятия могли бы иметь большое преимущество в цене перед зарубежными производителями, выпуская отечественны сотовые телефоны, так как им не нужно тратить лишние средства, идущие на погашение импортных пошлин и на транспортные расходы. Поэтому производство отечественных сотовых телефонов является перспективным на данный момент. Преимущество отечественных производителей так же было бы и в более дешевой рабочей силе, по сравнению с зарубежными странами.Выпускаемые сотовые телефоны должны быть как минимум такого же качества, как и товары зарубежных производителей, и даже лучше, так как качество импортных сотовых телефонов постоянно улучшается и цена на них снижается.
Данная отрасль очень динамично развивается, поэтому отечественные товары не только не должны уступать по качеству импортным, но и быть качественнее, так как вдобавок еще нужно и завоевать доверие потребителей. А доверие у наших потребителей к отечественным товарам оставляет желать лучшего. И только качественный товар по удовлетворительной цене привлечет внимание к новой марке и завоюет доверие.
Ниже приведена сравнительная таблица технических характеристик 4 сотовых телефонов разных производителей таблица 1.1, а далее приведена та же таблица с всеми характеристиками, но в системе пятибалльной системы для получения более наглядного представления о достоинствах и недостатках того или иного товара таблица 1.2.
Таблица 1.1 - Технико-эксплутационные показатели товаров-конкурентов
| № | Технические характеристики | Фирмы-производители | |||
| Belor | Nokia | Motorola | Sony Ericsson | ||
| Модель | 7373 | 7390 | RAZR V3i | K610i | |
| 1 | Длина Ширина Толщина Вес | 88 мм 43 мм 23 мм 104 г. | 90 мм 47 мм 19 мм 115 г. | 98 мм 53 мм 13.9 мм 95 г. | 102 мм 45.2 мм 16.9 мм 89 г. |
| 2 | Конструкция корпуса | раскладушка (Rotate) | раскладушка | раскладушка | трубка |
| 3 | Встроенная антенна | + | + | + | + |
| 4 | Тип экрана | 262 тыс. цветов | 16 млн. цветов | 262 тыс. цветов | 262 тыс. цветов |
| 5 | Разрешение экрана | 240 x 320(QVGA) | 240 x 320(QVGA) | 176 x 220 | 176 x 220 |
| 6 | Дополнительный экран | - | + | + | - |
| 7 | Тип дополнительного экрана | - | 262 тыс. цветов | 65 тыс. цветов | - |
| 8 | Разрешение доп. экрана | - | 128 x 160 | 96 x 80 | - |
| 9 | Встроенная камера | + | +(оптика Carl Zeiss) | + | + |
| 10 | Дополнительная камера | - | +(VGA) | - | +(VGA) |
| 11 | Количество активных пикселей | 2 Мп | 3 Мп | 1.23 Мп | 2 Мп |
| 12 | Максимальное разрешение снимка | 1600 x 1200 | 2048 x 1536 | 1280 x 960 | 1632 x 1224 |
| 13 | Запись видео | + | + | + | + |
| 14 | Встроенная вспышка | - | + | - | - |
| 15 | Объем энергонезависимой памяти | 2.5Мб доступно пользователю | 21 Мб | 5 Мб | 16 Мб |
| 16 | Объем карты в комплекте поставки | 128 Мб | 128 Мб | - | 64 Мб |
| 17 | Вибровызов | + | + | + | + |
| 18 | MP3-звонок | + | + | + | + |
| 19 | Время разговора | 2 часа, 30 минут | 3 часа | 3 часа, 30 минут | 7 часов |
| 20 | Время ожидания | 250 часов | 220 часов | 80 часов | 350 часов |
| 21 | Время зарядки | 2 часа | 2,5 часа | 2 часа | 2 часа |
| 22 | Доп. функции | Стереозвонок, FM приёмник | Автоматическая фокусировка, встроенная вспышка, FM приёмник(стерео), стерео Bluetooth | ||
| 23 | Срок гарантии, лет | 3 | 3 | 3 | 3 |
| 24 | Цена, руб | 311 $ | 340 $ | 187 $ | 207 $ |
Однако для оценки товара недостаточно знать только его характеристики, нужно привести их в сопоставимый вид.
Таблица 1.2 - Анкета оценки уровня качества сотовых телефонов
| № | Технические характеристики | Фирмы-производители | |||
| Новый товар | Конкуренты | Конкуренты | Конкуренты | ||
| Belor | Nokia | Motorola | Sony Ericsson | ||
| Модель | 7373 | 7390 | RAZR V3i | K610i | |
| 1 | длина ширина толщина вес | 5 5 3 4 | 4 5 4 4 | 3 4 5 5 | 2 5 4 5 |
| 2 | Конструкция корпуса | 5 | 5 | 5 | 4 |
| 3 | Встроенная антенна | 5 | 5 | 5 | 5 |
| 4 | Тип экрана | 5 | 5 | 5 | 5 |
| 5 | Разрешение экрана | 5 | 5 | 3 | 3 |
| 6 | Дополнительный экран | - | 5 | 5 | - |
| 7 | Тип дополнительного экрана | - | 5 | 3 | - |
| 8 | Разрешение доп. экрана | - | 5 | 3 | - |
| 9 | Встроенная камера | 4 | 5 | 4 | 4 |
| 10 | Дополнительная камера | - | 5 | - | 5 |
| 11 | Количество активных пикселей | 3 | 5 | 2 | 3 |
| 12 | Максимальное разрешение снимка | 3 | 5 | 2 | 3 |
| 13 | Запись видео | 5 | 5 | 5 | 5 |
| 14 | Встроенная вспышка | - | 5 | - | - |
| 15 | Объем энергонезависимой памяти | 2 | 5 | 2 | 3 |
| 16 | Объем карты в комплекте поставки | 4 | 4 | - | 2 |
| 17 | Вибровызов | 5 | 5 | 5 | 5 |
| 18 | MP3-звонок | 5 | 5 | 5 | 5 |
| 19 | Время разговора | 3 | 4 | 4 | 5 |
| 20 | Время ожидания | 5 | 4 | 2 | 5 |
| 21 | Время зарядки | 4 | 5 | 4 | 4 |
| 22 | Доп. функции | 4 | 5 | - | - |
| 23 | Срок гарантии, лет | 5 | 5 | 5 | 5 |
| 24 | Цена, руб | 4 | 4 | 5 | 5 |
| Итого | 93 | 128 | 91 | 92 | |
Проведя анализ технико-эксплуатационных характеристик приведенных сотовых телефонов, делаем вывод, что наиболее качественным является сотовый телефон Nokia 7390. Наш товар Belor 7373 оказался чуть хуже сотового телефона Nokia 7390. Новый товар Belor 7373 не должен уступать по своим характеристикам этому сотовому телефону. Однако если более объективно подойти к определению необходимых параметров, то можно немного скорректировать включаемые опции.
Из дополнительных функций не совсем может быть востребована функция стереозвонка(это звонок, который воспроизводится из двух динамиков телефона со стереоэффектом),а так же функция стерео Bluetooth. На мой взгляд можно обойтись MP3-звонком и обычным Bluetooth. Большинству же пользователей стереозвонок и стерео Bluetooth не нужны. Для них эта функция лишняя и лишь неоправданно повышает цену продукции. Поэтому, есть смысл включать встроенные стереозвонок и стерео Bluetooth только для определенного количества партии сотовых телефонов, специально направленного на продвинутых пользователей.
Очень полезной является функция вибровызова. Это позволяет чувствовать себя наиболее уверенно в шумном месте, на совещаниях и т.д.
В конструкцию стоит добавить FM приёмник, Диктофон / Запись звука, Цифровой zoom, MP3-звонок, GPRS, USB. Но опять же стоит учесть потребности населения и выпустить отдельную серию. Для рядового пользователя, для которого телефон - лишь средство связи, это не будет оправдано.
Переход на эту конструкцию должен быть нацелен на продвинутых пользователей (молодежная аудитория) сотовых телефонов, деятельность которых тесно связано с компьютерными технологиями. Эта серия будет состоять из дополнительных параметров: стереозвонок и стерео Bluetooth, Диктофон / Запись звука, USB, Фото и видеокамеры с хорошим качеством и должен выглядить стильно и модно, так же должен иметь длительный жизненный цикл. Так как у таких людей запросы к используемому оборудованию, в частности сотовым телефонам, более высокие, чем у обычных пользователей, то они будут покупать этот товар с такими функциями и по более высокой цене, так как для них она является оправданной.
Таким образом, исходя из проведенного выше анализа, продукция будет направлена на два типа потребителей: обычных и продвинутых пользователей. Учитывая эти особенности, возможно снизить риск того, что продукция “не найдет” своего потребителя. Собрав в себе наиболее важные и качественные показатели современных сотовых телефонов, новый товар будет отвечать самым высоким требованиям покупателей, что в сочетании с более низкой стоимостью (предполагается из предварительной оценки) даст мощное конкурентное преимущество перед импортными аналогами.
Данный товар будет направлен в основном на отечественный рынок, так как потребность национального рынка в сотовых телефонах велика. Это можно подтвердить тем, что сотовые телефоны сейчас очень доступны, по сравнению с ситуацией лет 8 назад, все больше людей покупают сотовые телефоны в связи большими преимуществами их использования.
После насыщения национального рынка, возможно продвижение на зарубежные рынки. Однако это нелегкая задача, так как там наш товар становится в равных условиях с такими известными сотовыми телефонами, как Samsung, Nokia, Motorola, Sony Ericsson,
марка которых известна по всему миру. Для продвижения на зарубежные рынки необходимы большие денежные затраты на рекламу и PR-компании. В ближайшее время это не представляется возможным, так как предприятие должно погасить кредиты в банке, выйти на полную производственную мощность. После чего представляется возможность вложение денег в научные исследования, рекламные компании и пр.
Похожие работы
-
Расчет базовой импортной цены товара
МОСКОВСКИЙ ГОСУДАРСТВЕННЫЙ АВИАЦИОННЫЙ ИНСТИТУТ (ТЕХНИЧЕСКИЙ УНИВЕРСИТЕТ) ПРАКТИЧЕСКАЯ РАБОТА по предмету: Организация внешнеэкономической деятельности
-
Инновации и эффективность их использования 2
Контрольная работа № 22 Тема: «Инновации и эффективность их использования» Содержание 1. Инновационная деятельность на предприятии.……………… 2. Инновационный проект: понятие, основные этапы создания и реализации……………………………………………………..
-
Контрольная работа по Ценообразованию 4
Содержание. Введение. 2 Тесты. 3 Задача №1. 9 Задача №2. 12 Заключение. 15 Список литературы. 16 Введение. Цены и ценообразование являются одним из ключевых элементов рыночной экономики. Цена – сложная экономическая категория. В ней пересекаются практически все основные проблемы развития экономики, общества в целом.
-
Бизнес-план кофейни 2
ООО « Мокко» Адрес фирмы: г. Тольятти, ул. Карла Маркса, ТРК «Космос», 2 этаж. Руководитель Горновская Алина Александровна Тел. (917) 824-65-33 1. Резюме
-
Створення сумісного підприємства, як одна з форм реалізації інвестиційної політики
Міністерство освіти і науки України Одеський національний політехнічний університет Інститут бізнесу, економіки та інформаційних технологій Кафедра зовнішньоекономічної та інноваційної діяльності
-
Бизнес - план в ООО Стар Плюс
1. РЕЗЮМЕ Настоящий проект разработан ООО «Стар Плюс» для создания нового предприятия по изготовлению кондитерских изделий. Проект содержит краткое описание предполагаемого бизнеса и оценку его эффективности.
-
Анализ целесообразности расширения рынка выход на новые сегменты рынка сбыта организации.
Содержание Стр. Введение__________________________________________________________ Маркетинговое описание организации_________________________________
-
Контрольная работа по Ценообразованию
Дисциплина «Ценообразование» Домашнее задание Выполняла студентка группы: 42МНв1 Проверил преподаватель: Кандидат технических наук, Москва 2009
-
Экспертиза инвестиционного проекта
Экспертиза инвестиционного проекта проводится для того, чтобы рассчитать эффективность инвестиционных проектов и их рискованность. Такая экспертиза проводится с использованием различных математических моделей, при которых анализируются сумма инвестирования, доходность инвестиций, индекс доходности и срок окупаемости инвестиционных проектов.
-
Маркетинговое исследование Восприятие бренда Nokia
МИНИСТЕРСТВО ОБРАЗОВАНИЯ И НАУКИ РОССИЙСКОЙ ФЕДЕРАЦИИ НОВОСИБИРСКИЙ ГОСУДАРСТВЕННЫЙ ТЕХНИЧЕСКИЙ УНИВЕРСИТЕТ Кафедра теории рынка Маркетинговое исследование на тему:


















, руб.