Название: Экономический рост и социальное развитие Ленинградской области
Вид работы: курсовая работа
Рубрика: Экономика
Размер файла: 128.33 Kb
Скачать файл: referat.me-383352.docx
Краткое описание работы: Демографическая ситуация в Ленинградской области. Валовой региональный продукт, промышленность. Значение высших учебных заведений в формировании научно-технического и инновационного потенциала. Исследование динамики социально-экономических показателей.
Экономический рост и социальное развитие Ленинградской области
Северо-Западная академия государственной службы
Кафедра бухгалтерского учета и аудита
Курсовая работа
по дисциплине Статистика
на тему
Экономический рост и социальное развитие Ленинградской области
Выполнил:
Студент V курса
Группы
Очно-заочного отделения
Кандидат технических работ
Санкт-Петербург
2011
Введение
Ленинградская область на сегодняшний день является одним из наиболее экономически развитых регионов России. Экономическая ситуация в регионе в 2000-2010 годах характеризовалась положительной динамикой развития, что придает актуальность данной работе в условиях развития экономики страны в целом.
Основной показатель успешного развития региона – постоянно увеличивающиеся объемы валового регионального продукта (ВРП). За последние десять лет ВРП увеличился в 3,4 раза и достиг 312,4 млрд рублей.
В структуре ВРП наметилась устойчивая тенденция увеличения доли услуг за счет развития транспорта и связи, торговли и коммерческой деятельности по реализации товаров и услуг.
Основой экономического потенциала Ленинградской области является промышленное производство. Положительная динамика развития областной промышленности является результатом вложения значительного объема российских и иностранных инвестиций в создание новых предприятий, реконструкцию и модернизацию действующих. В 2009 году промышленное производство к уровню 2000 года выросло в 2,4 раза[1] . Индекс промышленного производства в январе текущего года составил 93,8% к показателю аналогичного месяца 2008 года (80,9%). Объем промышленного производства на душу населения в 2009 году в Ленинградской области (147,3 тысяч рублей) превысил российский показатель на 30%, в 2000 году (21,8 тысяч рублей) – на 2%.
Основная доля выпуска промышленной продукции приходится на обрабатывающие производства, объемы которых за последние четыре года выросли в 2 раза, а за январь-май 2010 года к январю-маю 2009 года – на 11,5%. Наиболее высокие темпы роста объемов производства за рассматриваемый период зафиксированы в производстве транспортных средств и оборудования – в 21,5 раза.
Промышленность Ленинградской области имеет глубоко диверсифицированную структуру. Наибольший удельный вес в общем объеме промышленного производства занимает производство пищевых продуктов (23,7%), целлюлозно-бумажное производство, производство изделий из дерева (12,3%), производство транспортных средств и оборудования (10,7%), производство кокса и нефтепродуктов (9,4%).
Доля малых предприятий в общем обороте предприятий составляет примерно 15%, в 2009 году ими произведено промышленной продукции более чем на 12 миллиардов рублей.
Благоприятный инвестиционный климат в области обеспечивает рост российских и прямых иностранных инвестиций, что способствует устойчивому развитию экономики и социальной инфраструктуры области.
В области создана гарантированная законодательная база по развитию и поддержке инвестиционной деятельности. Начиная с 2000 года, отмечается рост объемов инвестиций в основной капитал. В 2009 году объем инвестиций в основной капитал к 2000 году вырос в 2,2 раза[2] . Объем инвестиций в основной капитал в 2009 году составил 122,6 млрд. рублей, в январе-мае 2010 года – 23,5 млрд. рублей. Наибольший удельный вес составляют инвестиции в развитие промышленного производства и транспорта. Наряду с новым строительством реконструируются и модернизируются многие действующие производства, в полном объеме реализуется адресная инвестиционная программа.
Целью данной курсовой работы является: рассмотрение социально-экономического роста Ленинградской области, за последние несколько лет развития в положительную сторону.
Задачи исследования:
1. Дать характеристику основным социально-экономическим показателям Ленинградской области;
2. Описать задачи и пути совершенствования социально-экономической статистики.
Глава 1. Основная характеристика и прогноз развития Ленинградской области
1.1 Демографическая ситуация
В последние годы в демографическом развитии Ленинградской области наблюдаются важные позитивные изменения. С 2000 года устойчивую тенденцию приобрело увеличение числа родившихся, при этом общий коэффициент рождаемости в 2008-2009 годах достиг наибольших значений за последние 10 лет. Впервые с 2004 года снижается смертность населения.
В 2008-2009 годах отмечено значительное замедление темпов сокращения населения области в сравнении с предшествующим периодом, что обусловлено положительной динамикой процессов естественного движения населения и миграции.
Миграционный прирост населения на 80 процентов компенсирует его естественную убыль. Значительную часть миграционного прироста (свыше 50 процентов) составляет межрегиональная миграция, что указывает на высокую миграционную привлекательность области для жителей других регионов России. Наблюдается также тенденция некоторого увеличения потоков внешней миграции из стран ближнего зарубежья.
При дальнейшем развитии позитивных тенденций в демографическом развитии области, сопровождающихся ростом рождаемости и снижением смертности, с 2012 года динамика численности населения области может смениться на положительную и характеризоваться ростом населения.
В период до 2013 года и на стратегическую перспективу до 2025 года численность населения области будет увеличиваться как вследствие уменьшения естественной убыли населения, так и увеличения миграционного прироста.
В результате указанных тенденций демографического развития к 2013 году численность населения области по сдержанно-оптимистическому варианту прогноза увеличится до 1632,8 тыс. человек, или на 0,10 процента к 2009 году, к 2025 году - до 1679,4 тыс. человек, или на 2,85 процента к 2013 году.
Коэффициент рождаемости будет увеличиваться до 2014 года, что обусловлено благоприятными изменениями возрастной структуры населения и реализацией мер активной демографической политики на территории Ленинградской области.
Продолжится увеличение численности женщин в возрастной группе 20-29 лет, характеризующейся наибольшей рождаемостью, в которую будут входить поколения женщин, родившиеся в конце 80-х годов, когда в области наблюдалась наиболее высокая рождаемость, а выходить - поколения 70-х годов рождения, численность которых ниже.
Коэффициент рождаемости увеличится с 9,2 на 1000 населения в 2009 году до 9,8 на 1000 населения в 2013 году, или на 6,5 процента.
В период 2014-2016 годов ожидается стабилизация, а с 2017 года - ежегодное незначительное снижение числа родившихся и коэффициента рождаемости под влиянием структурного фактора. В активный репродуктивный возраст будут вступать малочисленные поколения, родившиеся в 90-е годы. Так, численность родившихся в 1992 году составила 14,4 тыс. человек против 24,2 тыс. человек в 1986 году. На протяжении 90-х годов число родившихся уменьшалось, достигнув в 1999 году наименьшего за этот период значения - 10,9 тыс. человек. Уменьшение коэффициента рождаемости прогнозируется с 9,8 на 1000 населения в 2013 году до 8,5 на 1000 населения в 2025 году, или на 13,3 процента.
Ожидается ежегодное снижение коэффициента смертности под влиянием реализации мер, направленных на улучшение качества медицинской помощи и уровня медицинского обслуживания населения, создания эффективной системы лечения, диагностики и профилактики приоритетных заболеваний, укрепления здоровья детей, подростков и молодежи, формирования мотивации к ведению здорового образа жизни населения. Однако темпы снижения смертности будут сдерживаться продолжающимся старением населения области.
Коэффициент смертности снизится с 17,0 на 1000 населения в 2009 году до 15,2 на 1000 населения в 2013 году и 15,0 на 1000 населения в 2025 году.
Вместе с тем ожидаемая продолжительность жизни возрастет с 66,5 года в 2009 году до 68,7 года в 2013 году и 72,5 года в 2025 году.
В результате уровень естественной убыли населения незначительно повысится к 2025 году по сравнению с 2013 годом - с -5,4 на 1000 населения до -6,5 на 1000 населения, но вместе с тем будет ниже уровня 2009 года (-7,8 на 1000 населения).
Интенсивность миграционного прироста будет возрастать на протяжении всего прогнозного периода вследствие увеличения потребности экономики области в трудовых ресурсах и снижения предложения собственной рабочей силы на рынке труда.
Коэффициент интенсивности миграционного прироста, по прогнозу, увеличится с 63,8 на 10000 населения в 2009 году до 74,1 на 10000 населения в 2013 году и 105,2 на 10000 населения в 2025 году.
1.2 Валовой региональный продукт
Валовой региональный продукт (ВРП) является важнейшим макроэкономическим индикатором, объективно отражающим экономический потенциал развития региона и уровень деятельности всех субъектов хозяйствования на территории области.
В структуре валовой добавленной стоимости, созданной на территории Ленинградской области, наибольший удельный вес занимает промышленный сектор (около 40 процентов), примерно одинаковая доля принадлежит строительству, оптовой и розничной торговле, транспорту и связи (13-15 процентов), около 8 процентов составляет сельское хозяйство.
В дальнейшем в структуре валового регионального продукта области прогнозируется увеличение доли услуг, которое будет обусловлено опережающей динамикой роста торговли, транспорта и связи. Наибольший удельный вес по-прежнему будет занимать промышленная деятельность.
Учитывая тенденции развития основных отраслей экономики Ленинградской области, рост валового регионального продукта в 2013 году относительно уровня 2008 года составит 23,5 процента, среднегодовой прирост будет составлять 4,3 процента. В перспективе до 2025 года с учетом стабилизации экономики и выхода на динамичный путь развития среднегодовой прирост в 2013-2025 годах составит 5,9 процента.
1.3 Промышленность
Промышленность является базовым направлением развития экономики Ленинградской области и основным источником формирования регионального бюджета. Предприятиями промышленного комплекса Ленинградской области выпускается самая разнообразная продукция производственно-технического назначения: бензин, дизельное топливо, минеральные удобрения, глинозем, автомобили, суда, шины для легковых автомобилей, алюминий, деловая древесина, целлюлоза, бумага, картон, машины, приборы, строительные материалы и др. Кроме того, производятся потребительские товары в ассортименте: мебель, ткани, швейные изделия, продукты питания. Основу промышленности Ленинградской области составляют порядка 300 крупных и средних предприятий различных форм собственности.
Успешному развитию промышленной сферы способствует наличие в Ленинградской области собственной минерально-сырьевой базы, квалифицированных трудовых ресурсов, мощного производственного и технологического потенциала.
Промышленный комплекс региона занимает третью часть в формировании валового регионального продукта Ленинградской области. Доля налоговых платежей предприятий производственного сектора составляет около 77 процентов налоговых доходов областного бюджета. В промышленности занята третья часть работающих в экономике региона.
Промышленность Ленинградской области представлена тремя основными видами деятельности - добычей полезных ископаемых (2,9 процента в объеме отгруженной продукции промышленности области), обрабатывающими производствами (83,3 процента), производством и распределением электроэнергии, газа и воды (13,8 процента).
Высокое качество выпускаемой продукции подтверждается стабильным спросом на нее не только на внутреннем, но и на внешнем рынках. Промышленными предприятиями области экспортируются нефтепродукты, древесина, органические и неорганические химические соединения, удобрения, суда, машиностроительная продукция, табак, целлюлоза, бумага и картон, другие товары.
Ленинградская область располагает большими запасами земель различного назначения. Вместе с тем следует отметить, что далеко не все эти земли привлекательны или вообще пригодны для промышленного использования.
Наиболее привлекательными для размещения производственных мощностей являются земли, на которых инженерная подготовка территории уже осуществлена или ее осуществление не требует больших затрат. Важным условием для размещения нового производства является наличие в пределах транспортной доступности достаточного количества трудовых ресурсов или как минимум жилищно-коммунального комплекса, в котором могут разместиться привлекаемые для работы специалисты. Обязательной, особенно для материалоемких производств, является обеспеченность необходимыми транспортными коммуникациями, а для производств, связанных с экспортно-импортными операциями, еще и относительная близость их расположения к таможням, пограничным переходам, морским портам и железнодорожным станциям. Предприятия пищевой промышленности, производящие скоропортящуюся продукцию, особенно тяготеют к крупным населенным пунктам, обеспечивающим ее сбыт. Таким образом, существенным фактором, сдерживающим размещение промышленных предприятий, является ограниченность пригодных и удобных для размещения территориальных ресурсов области.
Приоритетными направлениями функционирования промышленного комплекса Ленинградской области на перспективу являются повышение качества и конкурентоспособности продукции путем внедрения инновационных технологий в производство, увеличение государственного оборонного заказа предприятиям оборонного комплекса, снижение количества убыточных предприятий и предприятий-банкротов, что позволит обеспечить тенденцию роста объемов промышленного производства в среднесрочной и долгосрочной перспективе.
Индекс промышленного производства в 2013 году к 2008 году составит 116,5 процента (среднегодовой - 103,1 процента), в добыче полезных ископаемых ожидается спад на уровне 28,3 процента, что связано с усилением конкурентной борьбы на рынке строительных материалов и усложняет сохранение занятых позиций. В обрабатывающих производствах намечается оживление производственной деятельности как на действующих предприятиях, так и на вновь вводимых, индекс производства составит 119,8 процента (среднегодовой прирост - 3,7 процента). Индекс производства и распределения электроэнергии, газа и воды прогнозируется на уровне 110,9 процента (среднегодовой прирост - 2,0 процента).
В 2025 году объемы промышленного производства в целом в 1,9 раза превысят уровень 2013 года, среднегодовой прирост составит 5,5 процента, в том числе в обрабатывающих производствах индекс производства составит 192,0 процента (с ежегодным приростом 5,6 процента), в добыче полезных ископаемых - 184,0 процента (ежегодный прирост 5,2 процента), в производстве и распределении электроэнергии, газа и воды - 172,8 процента (ежегодный прирост 4,7 процента).
Производительность труда в промышленности к 2013 году относительно 2008 года вырастет в 1,7 раза (прирост в среднем за год - 11,1 процента), а к 2025 году - в 5,9 раза (11,0 процента).
Ленинградская область является ведущей областью в Российской Федерации по развитию молочного животноводства и птицеводства. Сельскохозяйственное производство региона развивается на базе сохранившегося природно-ресурсного потенциала земель сельскохозяйственного назначения, основных производственных фондов, трудовых ресурсов. Сельское хозяйство становится более наукоемким и высокотехнологичным сектором экономики. В растениеводстве и животноводстве Ленинградской области накоплен значительный генетический потенциал, что позволило получить высокие результаты по удою на фуражную корову, яйценоскости кур-несушек, среднесуточным привесам бройлеров, урожайности товарных культур.
Использование инновационных механизмов, направленных на техническое перевооружение и модернизацию, внедрение новых техник и технологий способствовали наращиванию объемов сельскохозяйственного производства. Это позволило полностью обеспечить население области сельскохозяйственной продукцией и увеличить долю отечественного продовольствия на региональном рынке.
Активное развитие получила инвестиционная деятельность в сельскохозяйственных предприятиях в связи с реализацией с 2006 года приоритетного национального проекта "Развитие агропромышленного комплекса", а с 2008 года - Государственной программы развития сельского хозяйства и регулирования рынков сельскохозяйственной продукции, сырья и продовольствия на 2008-2012 годы (далее - Государственная программа).
В рамках реализации Государственной программы предусмотрено субсидирование процентной ставки из федерального и областного бюджетов по привлеченным кредитам на строительство, реконструкцию и модернизацию животноводческих комплексов (ферм). Наращиванию объемов производства в личных подсобных хозяйствах и крестьянских фермерских хозяйствах способствует создание и развитие сельскохозяйственных потребительских кооперативов.
В результате освоения привлеченных инвестиций и наращивания производственных мощностей ежегодный прирост объема производства сельскохозяйственной продукции в перспективе до 2013 года к уровню 2008 года ожидается в среднем 3,2 процента.
В долгосрочной перспективе темпы роста объемов сельхозпроизводства несколько замедлятся, предполагается переход на ресурсосберегающие технологии, высококвалифицированный труд, глубокую переработку сырья и др. Ежегодный прирост объемов производства прогнозируется на уровне 2,3 процента к уровню 2013 года и 2,6 процента к уровню 2008 года.
В растениеводстве прогнозируется увеличение валового сбора зерновых культур как за счет увеличения посевных площадей, так и за счет повышения урожайности.
В животноводстве прогнозируется рост производства молока за счет роста продуктивности и поголовья коров.
В мясном скотоводстве рост производства мяса крупного рогатого скота будет обеспечиваться за счет освоения передовых технологий, которые позволят получать среднесуточные привесы до 1000 граммов, и увеличения поголовья скота на откорме.
В свиноводстве продолжится работа по привлечению инвестиций для восстановления крупных свиноводческих комплексов, что позволит наращивать объемы производства.
В птицеводстве планируется максимально использовать производственный потенциал с учетом того, что большая часть птицефабрик провела реконструкцию и замену оборудования.
Производительность труда в сельском хозяйстве к 2013 году относительно 2008 года вырастет в 1,5 раза (среднегодовой прирост - 8,4 процента), а к 2025 году - в 3,7 раза (8,0 процента).
Водный фонд Ленинградской области позволяет при развитии собственного кормопроизводства получать объемы выращивания ценных видов рыб в десятки тысяч тонн. Факторами интенсивного развития промышленного рыбоводства и рыболовства в Ленинградской области являются наличие большого количества водоемов, в том числе акватории Финского залива и Ладожского озера, близость к Санкт-Петербургу и другим рынкам сбыта, активно развивающаяся инфраструктура региона, благоприятные инвестиционные условия, созданные в области.
Основными задачами и направлениями деятельности рыбного хозяйства являются насыщение внутриобластного рынка рыбной продукцией, произведенной хозяйствующими субъектами, зарегистрированными в муниципальных районах области, снижение импортозависимости, удовлетворение растущего спроса населения на рыботовары в максимальном приближении к состоянию продовольственной достаточности, а также оказание услуг по организации спортивного и любительского рыболовства.
К наиболее перспективным для организации товарных рыбоводных хозяйств в первую очередь относятся Приозерский, Выборгский, Лодейнопольский, Тихвинский, Подпорожский, Лужский, Бокситогорский районы. Кроме того, крупномасштабное выращивание товарной рыбы (форели) возможно осуществлять в акваториях Ладожского озера и Финского залива.
В Ленинградской области почти все формы промышленного рыбоводства получили свое развитие. На территории области функционируют предприятия по производству рыбопосадочного материала (в том числе два племенных хозяйства), озерные и прудовые товарные хозяйства, холодноводные садковые хозяйства индустриального типа на естественных водоемах, а также тепловодные садковые хозяйства на сбросных каналах и водоемах-охладителях электростанций. Природно-климатические условия Ленинградской области особенно благоприятствуют развитию рыбоводных хозяйств по выращиванию товарной форели и использованию индустриального типа рыбоводства - в садках на естественных водоемах с высокой плотностью посадки рыбы и интенсивным кормлением. Другой перспективный объект холодноводной аквакультуры - сиговые виды рыб - является востребованным как на внутреннем, так и на внешнем потребительских рынках.
Индексы производства в рыбоводстве в среднесрочной и долгосрочной перспективах будут достаточно высокими (в 2025 году возрастут в 5 раз к уровню 2008 года), до 2013 года динамика ожидается более высокой, чем до 2025 года. Среднегодовой прирост производства в рыбоводстве составит 28,5 процента до 2013 года, в дальнейшем - 3,0 процента к 2013 году. В рыболовстве среднегодовой прирост до 2013 года к 2008 году составит 0,5 процента, в 2013-2025 годах - 1,6 процента. Ежегодный высокий темп роста в среднесрочной перспективе объемов производства рыбоводной продукции обусловлен вводом новых мощностей на действующих рыбоводных хозяйствах и созданием новых производств. Увеличение объема отгруженных товаров промышленным рыболовством прогнозируется за счет организации более полного освоения промышленных и прибрежных квот водных биоресурсов.
Главная цель проводимой в Ленинградской области инвестиционной политики - стимулирование инвестиционной деятельности в реальном секторе экономики, повышение конкурентоспособности, инвестиционной активности хозяйствующих субъектов, деловых и финансовых структур, привлечение прямых инвестиций как российских, так и иностранных, и решение на этой основе наиболее важных проблем и задач социально-экономического развития региона, в полной мере обеспечивающих экономическую безопасность.
Привлечение отечественных и иностранных инвестиций - закономерный результат действия целого ряда факторов. Это выгодное географическое и геополитическое положение региона; развитая транспортная инфраструктура и логистические возможности; энергоизбыточность; действенное региональное законодательство в области инвестиционной деятельности; развитая инфраструктура поддержки инвестиционных проектов на всех этапах реализации; нацеленность на реконструкцию и модернизацию действующих предприятий, повышающие их инвестиционную привлекательность и конкурентоспособность.
Развитие получили практически все направления экономики, построены крупные предприятия, такие как завод дорожно-строительной техники, фабрика по производству сигарет, завод по расфасовке растворимого кофе, предприятие по производству гофрокартона, автомобильный завод и др. Успешно развивается транспортная инфраструктура, портовые комплексы в Усть-Луге, Высоцке и Приморске, трубопроводный транспорт. Кризисная ситуация в 2009 году практически не отразилась на темпах инвестиционной активности. Индекс физического объема инвестиций в основной капитал в 2009 году к уровню 2008 года составил 107,1 процента. Рост инвестиций к уровню 2008 года в 2013 году составит 23,3 процента, в 2025 году - более чем в 2 раза (ежегодный прирост - порядка 4,4 процента).
Наибольший удельный вес в структуре инвестиций сохранится в сфере промышленного производства (до 42,0 процента от общего объема инвестиций), транспорта (40,0 процента) и жилищного строительства (15,0 процента), а также в сфере рыночных услуг, что обусловлено во многом ростом совокупного спроса.
Рост внутреннего спроса на продукцию импортозамещающих производств сделает более привлекательными инвестиции в машиностроение, пищевую промышленность.
Улучшение инвестиционного климата скажется на сокращении оттока капитала и росте объема собственных средств предприятий, используемых на инвестиции, их доля возрастет до 1/2 от общего объема инвестиций.
В структуре привлеченных инвестиций все большую роль будут играть заемные средства, прежде всего кредиты банков и иностранные инвестиции, что компенсирует некоторое снижение доли бюджетных средств.
Увеличение объема иностранных инвестиций (в 2025 году - в 1,55 раза к уровню 2008 года) произойдет за счет проводимой государством промышленной политики, направленной на создание конкурентоспособных совместных производств, в частности в автомобилестроении, повышение инвестиционного рейтинга как страны в целом, так и отдельных предприятий, и выход более широкого круга организаций на международные рынки капитала. Позитивное влияние на растущий интерес иностранных инвесторов к осуществлению вложений в экономику области окажут макроэкономическая стабильность в экономике России и нашего региона и благоприятные тенденции, определяющие общую предсказуемость ситуации на последующие годы.
Росту объемов прямых иностранных инвестиций в областную экономику будут способствовать также становление цивилизованных форм земельных отношений и оборота земель, либерализация налогового режима, активная работа по реформированию банковской системы; внедрение международных стандартов бухгалтерской отчетности; либерализация валютного законодательства; реформирование естественных монополий и др.
Новые инвесторы придут в наш регион, так как таким крупным производствам как автомобильное, химическое, целлюлозно-бумажное, в перспективе потребуется много партнеров, поставщиков и контрагентов. Благодаря комфортному инвестиционному климату иностранные инвесторы намерены расширять действующие производства и строить новые в пищевой промышленности, лесной и целлюлозно-бумажной промышленности, машиностроении, производстве строительных материалов и стекольной промышленности, на транспорте, в торговле и др.
Наряду с деятельностью крупных инвесторов появилась тенденция, и она сохранится на перспективу, к увеличению инвестиционной активности компаний, реализующих проекты с меньшими объемами инвестиций. Как показывает мировой опыт, реализация относительно небольших инвестиционных проектов - это результат благоприятного инвестиционного климата и оздоровления экономической ситуации. За последние 2 года о намерении разместить свои производства на территории нашего региона заявили более 140 инвесторов.
Все больше внимания уделяется развитию инвестиционного процесса в соответствии с потребностями и интересами региона, включая развитие отдельных городских и сельских поселений. В этом направлении продолжится работа по совершенствованию законодательства по инвестиционной деятельности.
В перспективе получат развитие практически все виды экономической деятельности. Наиболее крупными инвестиционными проектами в промышленной деятельности являются: в обрабатывающих производствах:
в среднесрочной перспективе - завершение строительства заводов по глубокой переработке нефти (гидрокрекингу) в г. Кириши, по производству железнодорожных тележек и вагонов в г. Тихвине, цементного завода в г. Сланцы, ввод в эксплуатацию бумагоделательного оборудования на целлюлозно-бумажном комбинате в г. Светогорске,
в долгосрочной перспективе - строительство завода по производству автомобильного стекла в г. Кириши, завода по производству чугунного и стального литья в Ломоносовском районе, комплекса заводов глубокой переработки и производства нефти и установки по переработке нефти и производству метанола в Выборгском районе, строительство нефтеперерабатывающего завода НПЗ-2 в г. Кириши, выход на полную проектную мощность производства автомобильных шин и легковых автомобилей во Всеволожском районе, строительство установки по переработке углеводородного сырья, нефтеотходов и производству бункерного топлива в Кингисеппском районе;
в производстве и распределении электроэнергии, газа и воды - реализация крупного инвестиционного проекта по строительству замещающих мощностей на Ленинградской атомной станции (АЭС-2) в г. Сосновый Бор, реконструкция действующих мощностей системы ОАО "Ленэнерго", строительство Ленинградской гидроаккумулирующей электростанции на р. Шапше в Лодейнопольском районе.
Продолжится развитие рынка логистических услуг с целью оптимизации товаротранспортных потоков. Планируется строительство логистических комплексов в Тосненском, Выборгском, Всеволожском и Ломоносовском районах.
В целях перспективного развития территорий и привлечения значительных инвестиций развиваются новые промышленно-производственные зоны с уже подготовленной инженерной инфраструктурой и обустроенными рекреационными зонами.
Получит развитие строительство индустриальных технопарков во Всеволожском, Гатчинском, Кировском районах.
В целях повышения эффективности использования природно-ресурсного потенциала региона и обеспечения экологической безопасности намечается реализация ряда инвестиционных проектов в сфере природопользования и экологии в Кировском, Гатчинском, Выборгском, Сланцевском районах.
Объем выполненных работ по виду деятельности "строительство" к 2025 году почти в 2 раза превысит уровень 2008 года, до 2013 года среднегодовой прирост составит 3,0 процента, до 2025 года - на уровне 4,0 процента. Основным направлением развития транспортной инфраструктуры в настоящее время является строительство морских торговых портов "Усть-Луга" и "Приморск". Порт "Усть-Луга" - самый перспективный порт России на Балтике, в планах развития порта наращивание грузооборота до 120 млн тонн в год к 2020 году. Крупным транспортным проектом, реализуемым в рамках строительства порта "Усть-Луга", является строительство автомобильно-железнодорожного паромного комплекса, который соединит Ленинградскую область с Калининградом и портами Германии. Успешно строится нефтепродуктопровод Кстов - Ярославль - Кириши - Приморск. Наиболее крупные проекты в сфере трубопроводного транспорта - строительство Северо-Европейского газопровода в границах Ленинградской области, к 2010 году завершится строительство 1-й очереди газопровода, начнется реализация инвестиционного проекта "Северный поток" от бухты Портовая (г. Выборг) до побережья Германии (г. Грайфсвальд); комплексное освоение Штокманского газоконденсатного месторождения и строительство трассы сухопутного газопровода Видяево - Волхов (заказчик - ОАО "Газпром", планируемый ввод - в 2014 году). Планируется строительство магистрального нефтепровода (БТС-2) с сопутствующими сооружениями по территории Лужского, Волосовского, Кингисеппского и Киришского районов с выходом на Киришский нефтеперерабатывающий завод. Значительные вложения потребуются в развитие железнодорожного транспорта в целях обеспечения дальних и ближних подходов к действующим и строящимся портовым комплексам в Финском заливе. В среднесрочной перспективе будет открыто скоростное железнодорожное движение Санкт-Петербург - Хельсинки, Москва - Санкт-Петербург по территории области. В Выборгском порту важное направление - строительство причалов круизного и яхтенного туризма. Большое внимание уделяется и развитию дорожного строительства при условии должного финансирования. Это развитие прилегающих территорий к кольцевой автодороге, строительство скоростной платной автомобильной дороги Москва - Санкт-Петербург. Вместе с тем планируется реконструировать и отремонтировать бывшие внутрихозяйственные и муниципальные дороги с целью обеспечения их круглогодичными транспортными связями.
С учетом ввода новых объектов и наращивания действующих мощностей объем услуг организаций транспорта будет возрастать со среднегодовым темпом до 2013 года 108,4 процента, до 2025 года - 106,6 процента к уровню 2008 года.
В настоящее время на территории Ленинградской области представлены все виды услуг связи. В целом на все виды услуг у различных предприятий имеется более 300 лицензий с правом работы в регионе. Наибольшее внимание уделяется расширению доступа в сеть Интернет как населения, так и организаций. Большее значение приобретает мобильная телефонная связь. Приоритетной становится цифровизация телерадиовещания. Уходят в прошлое такие традиционные услуги как телеграф, телетайп и проводное радиовещание, начинает уменьшаться количество стационарных проводных телефонных аппаратов. Активное развитие происходит в сфере информатизации общества. Внедряется программа обеспечения электронного документооборота, организовываются базы персональных данных, что неизбежно влечет за собой увеличение парка различного вида компьютеров (персональных, карманных и т.д.).
В Ленинградской области создаются конкурентные условия для различных предприятий и учреждений по строительству новых и расширению существующих сетей связи. Увеличивается количество пунктов коллективного доступа в сеть Интернет. Завершена телефонизация региона. Подписано Соглашение с основным исполнителем - федеральным государственным унитарным предприятием "Российская телевизионная и радиовещательная сеть" о начале строительства в регионе сети цифрового телерадиовещания.
В перспективе сохранится тенденция роста объема услуг организаций связи. До 2013 года среднегодовой прирост составит 7,0 процента, до 2025 года - на уровне 6,0 процента к уровню 2008 года.
Основной целью развития дорожного хозяйства Ленинградской области является обеспечение максимального вклада автомобильных дорог в экономическое развитие региона, повышение производительности труда и конкурентоспособности отраслей экономики за счет снижения транспортной составляющей в себестоимости конечной продукции, улучшение качества жизни населения за счет улучшения транспортной доступности.
По сравнению с другими регионами России Ленинградская область имеет достаточно развитую сеть автомобильных дорог. По показателям протяженности автомобильных дорог общего пользования федерального и регионального значения область занимает 15 место в России. По территории Ленинградской области проходят 9 автомобильных дорог федерального значения.
Протяженность региональных автомобильных дорог общего пользования в Ленинградской области на начало 2010 года составляет 9767,26 километра (87,3 процента от общей протяженности автомобильных дорог), в том числе с твердым покрытием - 9330,30 километра.
Незначительное сокращение протяженности региональных автодорог к 2013 году (9763,38 километра) связано с передачей части дорог в федеральную и муниципальную собственность. Вместе с тем протяженность дорог с твердым покрытием вырастет до 9336,63 километра.
В период до 2013 года планируется реконструкция региональных автомобильных дорог Санкт-Петербург - Морье ("Дорога жизни") на участке КАД - пос. Романовка (ввод в 2010 году); Зеленогорск - Приморск - Выборг на участке Санкт-Петербург - Озерки в Выборгском районе (ввод в 2010 году); Лодейное Поле - Вытегра на участке км 18+286 - км 35+000 (за исключением путепроводного перехода на км 29) (2011-2012 годы); Петродворец - Кейкино на участке км 5 - км 26 в Ломоносовском районе (2011-2014 годы); Санкт-Петербург - Колтуши на участке КАД - Колтуши (первый пусковой комплекс) во Всеволожском районе (2011-2013 годы).
Кроме того, будет вестись строительство мостового перехода через реку Волхов на автодороге "Подъезд к г. Кириши" в Киришском районе (2011-2014 годы), проводиться реконструкция моста через реку Мойку на автодороге Санкт-Петербург - Кировск в Кировском районе (2011 год) и мостового перехода через реку Сторожевую на км 24 автодорожного маршрута "Выборг - Комсомольское - Светогорск" в Выборгском районе (2011-2013 годы).
В результате проводимых работ доля протяженности региональных автомобильных дорог, не отвечающих нормативным требованиям, в общей протяженности автомобильных дорог снизится с 62,2 процента в 2009 году до 58,3 процента в 2013 году.
Перспектива развития автомобильных дорог до 2025 года связана с привлечением дополнительных финансовых ресурсов для обеспечения строительства и реконструкции автомобильных дорог, приведением их в нормативное транспортно-эксплуатационное состояние; совершенствованием организации и контроля проведения конкурсных торгов на производство работ по проектированию, строительству и реконструкции, ремонту и содержанию автомобильных дорог; совершенствованием системы содержания и ремонта автомобильных дорог; развитием и внедрением инновационных, ресурсо- и энергосберегающих технологий и результатов научных исследований и др.
К 2025 году протяженность дорог с твердым покрытием вырастет до 9351,63 километра, а доля протяженности региональных автомобильных дорог, не отвечающих нормативным требованиям, в общей протяженности автомобильных дорог снизится до 46,3 процента.
Государственная поддержка малого и среднего предпринимательства на период до 2013 года и стратегическую перспективу до 2025 года будет осуществляться в соответствии с принимаемыми долгосрочными целевыми программами развития и поддержки малого и среднего предпринимательства. Меры государственной поддержки будут реализовываться преимущественно по следующим направлениям:
расширение доступа субъектов малого и среднего предпринимательства к финансовым и материальным ресурсам;
обеспечение консультационной, организационно-методической и информационной поддержки субъектов малого и среднего предпринимательства;
содействие росту конкурентоспособности и продвижению продукции субъектов малого и среднего предпринимательства на товарные рынки;
развитие информационно-коммуникационных технологий в сфере малого и среднего предпринимательства;
содействие в устранении административных барьеров и препятствий, сдерживающих развитие малого и среднего предпринимательства.
В рамках реализуемых на территории региона долгосрочных целевых программ поддержки малого и среднего предпринимательства будет проводиться эффективная региональная политика, направленная на создание благоприятных условий для устойчивого функционирования и развития малого и среднего предпринимательства, увеличение оборота малых и средних предприятий, улучшение технической оснащенности хозяйствующих субъектов, формирование эффективного взаимодействия субъектов малого и среднего предпринимательства с хозяйствующими субъектами субъектов Российской Федерации и зарубежными партнерами, развитие и совершенствование системы поддержки субъектов малого и среднего предпринимательства.
В результате реализуемого комплекса мер государственной поддержки субъектов малого и среднего предпринимательства к 2013 году финансовой и материальной поддержкой будет обеспечено не менее 3000 субъектов малого и среднего предпринимательства, в том числе более 850 субъектов, ведущих деятельность в приоритетных для Ленинградской области сферах развития малого предпринимательства, свыше 700 - на территории депрессивных муниципальных образований. Не менее чем 300 субъектов малого предпринимательства из числа организованных представителями незащищенных слоев населения и молодежи смогут получить субсидии для начала предпринимательской деятельности. К концу 2025 года мерами финансовой и материальной поддержки смогут воспользоваться еще более 7000 субъектов малого и среднего предпринимательства. Таким образом, в период с 2009 по 2025 годы каждый седьмой из числа зарегистрированных на территории Ленинградской области субъектов малого и среднего предпринимательства сможет воспользоваться мерами финансовой и материальной поддержки, предусматриваемыми долгосрочными целевыми программами поддержки субъектов малого и среднего предпринимательства.
Вместе с тем с участием муниципальных организаций поддержки предпринимательства до конца 2013 года к уровню 2008 года будет создано около 3000 новых субъектов малого предпринимательства, к 2025 году - еще не менее 2000 новых субъектов малого предпринимательства.
Наиболее существенными объективными факторами, влияющими на развитие международных, межрегиональных и внешнеэкономических связей Ленинградской области в перспективе, станут процесс глобализации экономики и преодоление последствий мирового финансового кризиса, поступательное развитие отношений России на пространстве СНГ и с Европейским Союзом в рамках стратегических партнерств. Особенности специализации и потребности социально-экономического развития Ленинградской области будут играть важную роль при включении Ленинградской области в общенациональную работу по формированию общих пространств в сферах экономики, образования, науки и культуры со странами СНГ и Европейским Союзом.
Оптимизация имеющихся у области двусторонних связей с дружественными зарубежными территориями и субъектами Российской Федерации позволит более целенаправленно использовать потенциал, заложенный в механизме межрегионального сотрудничества, в интересах социально-экономического развития области, повысить вовлеченность представителей региональных властей, предприятий и организаций, а также населения в процесс международной интеграции.
На уровень показателей внешнеэкономической деятельности в перспективе оказывает влияние низкий уровень 2009 года в результате финансового кризиса. В 2013 году объем экспорта составит 98,9 процента к уровню 2008 года, объем импорта - 71,7 процента, к уровню 2009 года - 160,0 процента и 171,0 процента соответственно. В 2025 году объем экспорта превысит уровень 2008 года в 1,5 раза, объем импорта - на 8,0 процента, уровень 2009 года экспорт и импорт превысят в 2,4 - 2,5 раза.
Повышение уровня жизни населения, включая уровень оплаты труда и доходов населения, служит основой социального прогресса и является одним из основных приоритетов экономического развития Ленинградской области.
Под влиянием финансового кризиса, в результате инфляции и замедления темпов роста среднемесячной заработной платы из-за снижения объема промышленного производства реальные денежные доходы населения снижались в течение 2009 года (по итогам года - на 11,8 процента).
В этих условиях среднемесячная номинальная начисленная заработная плата одного работника возросла до 18358 рублей, или 108,3 процента к 2008 году.
Доля бедного населения в 2009 году составила 14,8 процента, что на 2 процентных пункта выше, чем в 2008 году.
С 2010 года ситуация будет меняться к лучшему. Восстановится тенденция превышения темпов роста денежных доходов населения по сравнению с уровнем инфляции, а в результате сохранится рост реальных располагаемых денежных доходов населения. Уровень инфляции будет снижаться: до 2013 года среднегодовая инфляция составит 108,6 процента, в 2013 году - 107,5 процента, далее в среднем за период 2013 - 2025 годов - 105,4 процента. Ежегодный рост реальных располагаемых денежных доходов до 2013 года составит 2,0 процента, в 2013-2025 годах - 6,4 процента.
Динамичный рост заработной платы, который обеспечивается высоким уровнем заработной платы на предприятиях, размещающих свои производственные мощности на территории области, является результатом реализации инвестиционных проектов и проводимой Правительством Ленинградской области активной политики по повышению заработной платы, своевременности и легализации выплат. Это обусловлено внедрением трудосберегающих производственных технологий и повышением производительности труда в ведущих направлениях производственной сферы, что потребует высококвалифицированных специалистов (с учетом развития инновационных и инвестиционных проектов).
Реализация инновационных и инвестиционных проектов даст импульс более высоким темпам роста заработной платы в сфере высокотехнологичных и наукоемких видов деятельности, в результате этого снизится существенное превышение уровня оплаты труда в сырьевых производствах и финансовой деятельности по сравнению с другими отраслями. В долгосрочной перспективе до 2025 года будет обеспечено постепенное сближение среднего размера оплаты труда работников бюджетной сферы с размерами заработной платы, сложившимися во внебюджетном секторе экономики, и это соотношение составит свыше 80 процентов.
Росту оплаты труда в бюджетной сфере будет способствовать выход минимальной заработной платы на уровень прожиточного минимума, внедрение новых систем оплаты труда, ориентированных на повышение уровня и качества предоставляемых услуг и учитывающих сложность объемов выполняемой работы.
В среднесрочной перспективе принимаемые посткризисные меры, оказание социальной поддержки отдельным категориям населения и постепенное восстановление доходов населения позволят сократить уровень бедности с 14,8 процента в 2009 году до 13,2 процента в 2013 году, в 2025 году он составит 6,0 процента, что соответствует уровню развитых стран.
Потребительский рынок Ленинградской области функционирует как крупная составная часть экономики региона. Его главные задачи - создание условий для удовлетворения спроса населения на потребительские товары и услуги, обеспечение их качества и безопасности, улучшение условий для дальнейшего развития конкуренции на потребительском рынке Ленинградской области.
На деятельность в сфере оказания потребительских услуг значительное влияние оказывают доходы населения и уровень инфляции.
Дальнейшее развитие розничной торговли как в городской, так и в сельской местности будет связано с ростом обеспеченности населения Ленинградской области современными торговыми площадями, модернизацией розничной инфраструктуры. Оборот розничной торговли будет увеличиваться в среднем ежегодно до 2025 года на 3,3 процента к уровню 2008 года.
Развитие общественного питания связано с успешным развитием предпринимательства, строительством крупных торговых комплексов и объектов питания в них; открытием предприятий системы быстрого питания; тематических кафе, предприятий общественного питания с культурной программой. С ростом доходов населения возрастет спрос на выездное ресторанное обслуживание праздничных мероприятий (кейтеринг). Оборот общественного питания будет увеличиваться в среднем ежегодно до 2025 года на 1,8 процента к уровню 2008 года. Сохранится спрос населения на платные услуги. Стабильность темпов развития жилищно-коммунальных услуг связана со строительством и вводом нового жилья. Развитие транспортных услуг связано с увеличением в общем количестве предприятий, оказывающих услуги населению, доли частных предприятий, приобретением новых транспортных средств повышенной комфортности, заменой старого автопарка современными автобусами, увеличением количества маршрутов и их пользователей. Услуги связи в перспективе будут развиваться за счет расширения сети пользователей и внедрения современных форм беспроводной связи. В сфере бытового обслуживания приоритетными будут услуги по ремонту бытовой радиоэлектроники и техники, автомототранспорта, клининг (уборка помещений с использованием профессиональной техники, высокоэффективных материалов и специально обученных кадров). Развитию услуг физкультуры и спорта способствует расширение сети учреждений спортивной направленности за счет всех источников финансирования. Рост объема платных услуг системы образования планируется за счет увеличения численности школьников и студентов, дополнительных образовательных программ, репетиторства, специальных курсов по углубленному изучению предметов, подготовки и переподготовки специалистов, занятий в кружках, подготовки к поступлению в вузы. С каждым годом объем медицинских услуг будет увеличиваться за счет роста объема амбулаторно-поликлинических и диагностических услуг и числа пациентов, желающих получить медицинские услуги с повышенным уровнем сервисного обслуживания. Будет расти количество предприятий, оказывающих ветеринарные услуги, и число пользователей этих услуг.
Объем платных услуг населению будет увеличиваться в среднем ежегодно до 2025 года на 2,7 процента к уровню 2008 года.
Значительное внимание в области уделяется повышению качества и защищенности жизни населения. В 2000 году произошел перелом в финансировании социальной сферы области - полностью финансируются из областного бюджета все расходные статьи, направленные на социальные нужды, что позволило стабилизировать функционирование всех направлений социальной сферы, принять меры по социальной защищенности работников учреждений, значительно расширить масштабы строительства социальных объектов на территории области, развить новые формы обслуживания населения.
В последние годы функционирование социальной сферы осуществляется в рамках программно-целевого финансирования и направлено на обеспечение государственных гарантий оказания социальных услуг населению, повышение качества, эффективности и доступности предоставляемых услуг, улучшение материально-технической базы учреждений, оптимизацию их сети.
Деятельность учреждений здравоохранения области направлена на дальнейшее снижение смертности и заболеваемости населения, развитие профилактического направления, развитие первичной медико-санитарной помощи, системы общеврачебных практик, внедрение на областном уровне высокотехнологичных видов медицинской помощи, укрепление материально-технической базы.
Проводимое сокращение круглосуточного коечного фонда компенсировано развитием стационарозамещающих технологий, дневными стационарами всех типов как при больницах, так и при поликлиниках и врачебных амбулаториях. Кроме того, в районах развернуты подразделения сестринского ухода, которые оказывают паллиативную медицинскую помощь.
Обеспеченность больничными койками увеличится с 78,1 на 10 тыс. населения в 2009 году до 79,5 к 2013 году.
К 2025 году при увеличении стационарозамещающих технологий (дневных стационаров) обеспеченность больничными койками на 10 тыс. населения останется на уровне 2013 года.
Формирование принципов здорового образа жизни, профилактика заболеваний предполагает к 2025 году, по экспертным оценкам, уменьшить заболеваемость социально значимыми болезнями в 3 раза, снизить младенческую, материнскую смертность в 2 раза, в 3 раза уменьшить смертность трудоспособного населения от травм и отравлений, болезней системы кровообращения.
В результате снижения заболеваемости населения планируется постепенно уменьшать объемы амбулаторной медицинской помощи с увеличением доли профилактических объемов медицинской помощи.
Обеспеченность амбулаторно-поликлиническими учреждениями в 2009 году составила 255,4 посещения в смену на 10 тыс. населения, планируется, что в 2013 году она составит 261 посещение в смену на 10 тыс. населения.
К 2025 году планируется перераспределение объемов финансирования в сторону увеличения поступления денежных средств в систему амбулаторно-поликлинической помощи. Обеспеченность амбулаторно-поликлиническими учреждениями на 10 тыс. населения возрастет до 265,3 посещения в смену.
Реформа амбулаторно-поликлинических служб направлена не на количественные, а на качественные показатели работы. К ее направлениям относятся развитие семейной практики; изменение функций среднего медицинского персонала, организация в поликлинических учреждениях отделений (кабинетов) доврачебного приема, фельдшерских отделений, организация работы по передаче части врачебных обязанностей среднему медицинскому персоналу; целенаправленное развитие мероприятий профилактического характера; развитие медицинской и медико-социальной помощи на дому, в том числе организация работы стационаров на дому.
Особое место будет уделено организации медицинской помощи сельскому населению, особенно в отдаленных населенных пунктах, в том числе за счет активизации выездной работы специалистов государственных учреждений здравоохранения и специалистов центральных районных больниц.
Обеспеченность врачами на 10 тыс. населения увеличится с 36,4 человека в 2009 году до 36,9 человека в 2013 году, но к 2025 году будет постепенно снижаться до 32,4 человека.
При этом увеличится обеспеченность на 10 тыс. населения средним медицинским персоналом с 79,9 человека до 83,5 человека в 2013 году и до 90,4 человека к 2025 году.
Большое внимание будет уделено повышению квалификации врачей службы родовспоможения и детства.
Основным достижением функционирования образовательной сферы является создание многопрофильной, разноуровневой и вариативной системы образования в целях удовлетворения изменяющихся образовательных потребностей всех социальных слоев населения.
Численность детей в дошкольных образовательных учреждениях в 2009 году составила 57,9 тыс. человек. На перспективу до 2013 года прогнозируется увеличение численности детей до 63,4 тыс. человек, до 2025 года - 72,8 тыс. человек.
Охват дошкольными образовательными учреждениями в 2009 году составил 790 мест на 1000 детей в возрасте 1-6 лет, на перспективу до 2013 года прогнозируется 820 мест, до 2025 года - 850 мест.
Рост рождаемости в Ленинградской области способствовал увеличению количества детей дошкольного возраста и развитию сети дошкольных образовательных учреждений за счет передачи ведомственных детских садов в ведение муниципальных образований, повышению внутренней вариативности (рост комбинированных детских садов, открытие специальных групп для детей).
Позитивная тенденция последних лет - организация различных форм дошкольного образования, ориентированных на удовлетворение образовательных и социокультурных запросов родителей, являющихся основными заказчиками образовательных услуг, и особенностей развития и здоровья детей.
Организация семейных дошкольных групп необходима, особенно в сельской местности, где типовые государственные детские сады экономически нецелесообразны.
Кроме того, рассматривается возможность использования таких форм работы с дошкольниками как центры дошкольного образования - физкультурно-оздоровительные, ранней коррекции развития ребенка, игровой поддержки, адаптационные группы и др.
В целях выравнивания стартовых возможностей детей дошкольного возраста, не посещающих детские сады, в Ленинградской области создаются условия для организации работы с детьми в возрасте от 5 до 7 лет (предшкольная подготовка).
В общеобразовательных учреждениях на территории области в 2008/2009 учебном году обучалось 133 тыс. человек. На протяжении последних лет отмечается постоянное сокращение численности обучающихся в общеобразовательных учреждениях, которое сопровождается закрытием, объединением, реорганизацией школ. В 2009/2010 учебном году численность обучающихся составила 131,1 тыс. человек, в 2012/2013 учебному году численность обучающихся останется на уровне 2009/2010 учебного года, в 2024/2025 учебном году составит 131,8 тыс. человек.
В образовательных учреждениях начального профессионального образования в 2008/2009 учебном году обучалось 8,0 тыс. человек, в 2009/2010 учебном году - 7,5 тыс. человек. По прогнозу численность учащихся составит в 2012/2013 учебном году 7,6 тыс. человек, в 2024/2025 учебном году - 6,7 тыс. человек. Снижение показателя объясняется тем, что будет продолжаться реорганизация учреждений начального профессионального образования и оптимизация сети за счет создания многоуровневых профессиональных учреждений (колледжей, техникумов), реализующих программы общего, начального, среднего профессионального образования.
В образовательных учреждениях среднего профессионального образования в 2008/2009 учебном году обучалось 9,7 тыс. человек, в 2009/2010 году - 10,2 тыс. человек, на перспективу численность учащихся составит в 2012/2013 учебном году 11,5 тыс. человек, в 2024/2025 учебном году - 11,8 тыс. человек.
Выпуск специалистов учреждениями среднего профессионального образования области в 2008/2009 учебном году составил 2,15 тыс. человек, в 2009/2010 учебном году - 2,40 тыс. человек, к 2012/2013 учебному году прогнозируется увеличение выпуска специалистов до 2,82 тыс. человек, к 2024/2025 учебному году - до 2,95 тыс. человек.
В образовательных учреждениях высшего профессионального образования численность обучающихся в 2008/2009 учебном году составила 18,2 тыс. человек, в 2009/2010 учебном году - 17,1 тыс. человек, на перспективу численность учащихся составит в 2012/2013 учебном году 17,8 тыс. человек, в 2024/2025 учебном году - 18,0 тыс. человек.
Выпуск специалистов учреждениями высшего профессионального образования в 2008/2009 учебном году составил 2,20 тыс. человек, в 2009/2010 учебном году - 2,16 тыс. человек, к 2012/2013 учебному году прогнозируется увеличение выпуска специалистов до 2,60 тыс. человек, к 2024/2025 учебному году - до 2,70 тыс. человек.
Большое значение в формировании научно-технического и инновационного потенциала Ленинградской области играют высшие учебные заведения Ленинградской области. Для развития фундаментальных и прикладных научных исследований, сохранения научного потенциала, а также поддержки ведущих и молодых ученых учреждены 40 именных научных стипендий Губернатора Ленинградской области. Присуждение научных стипендий направлено на активизацию актуальных перспективных научных исследований, поднятие престижа научной деятельности и привлечение молодежи.
В Ленинградской области продолжается процесс интеграции высшего и среднего специального образования путем включения учреждений профессионального образования в состав высших учебных заведений.
Ежегодно на основе прогноза потребности в профессиональных кадрах Правительство Ленинградской области формирует государственный заказ на подготовку кадров за счет средств областного бюджета.
Глава 2. Исследование динамики некоторых показателей
Приведем основные социально-экономические показатели:
| Показатели | 2003год | 2004 год | 2005 год | 2006 год | 2007 год | 2008год | 2009 год |
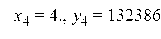
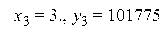
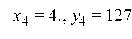
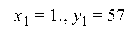
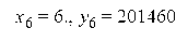
| Объем произведенного ВРП, млрд.руб. | 58834 | 81097 | 101775 | 132386 | 173600 | 201460 | 230630 |
| Индекс роста ВРП, % | 112,8 | 108,5 | 116,3 | 114,6 | 113,0 | 105,5 | 106,0 |
| Объем собственных доходов консолидированного бюджета, млрд.руб. | 9041,7 | 11018,9 | 14719,8 | 15373 | 20878,5 | 25256 | 28613,2 |
| Индекс роста собственных доходов, % | 148,0 | 122,0 | 134,0 | 104,0 | 136,0 | 121,0 | 113,0 |
| Удельный вес собственных доходов в ВРП, % | 15,37 | 13,59 | 14,46 | 11,61 | 12,03 | 12,54 | 12,41 |
| Объем инвестиций в основной капитал, млрд.руб. | 19,2 | 32,3 | 28,2 | 49,7 | 67 | 76,4 | 87,9 |
| Динамика роста объема инвестиций в основной капитал, % | 114,0 | 126,0 | 75,8 | 150,0 | 120,7 | 102,0 | 105,0 |
| Объем инвестиций в основной капитал на 1 жителя, тыс.руб. | 11,5 | 19,5 | 17,3 | 29,9 | 40,5 | 46,3 | 53,3 |
| Объем промышленного производства, млрд.руб. | 57 | 74,3 | 95,4 | 127,4 | 158,4 | 196,8 | 235,8 |
| Индекс промышленного производства, % | 127,2 | 110,1 | 136,4 | 121,8 | 110,3 | 110,2 | 109,1 |
| Среднемесячная номинальная начисленная заработная плата одного работника, руб. | 2179 | 3258 | 4528 | 5466 | 6777 | 8200 | 9850 |
| Бюджетная обеспеченность на 1 жителя, руб./чел. | 5552,7 | 7529,0 | 10079,0 | 11021,6 | 13525,3 | 16239,1 | 17352,0 |
Объем произведенного ВРП
Приведем массив данных
![]()
![]()
![]()
![]()
![]()
![]()
![]()
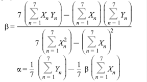
Для регрессии вида
найдем коэффициенты по формулам:

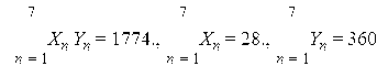
Вычислим
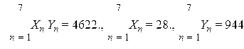
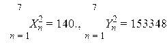
![]()
![]()
![]()
![]()
![]()
![]()
![]()
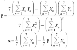
Тогда


Откуда![]()
Тогда линейная регрессия будет иметь вид [2]
![]()
Коэффициента beta показывает, что каждый год ВРП увеличивается на 29569 млрд.руб.
Объем собственных доходов консолидированного бюджета
Приведем массив данных
![]()
![]()
![]()
![]()
![]()
![]()
![]()
Для регрессии вида
найдем коэффициенты по формулам:

Вычислим:
![]()
![]()
![]()
![]()
![]()
![]()
![]()
Тогда


Откуда![]()
Тогда линейная регрессия будет иметь вид![]()
Смысл коэффициента beta заключается в том, что каждый год объем собственных доходов увеличивается на 3334 млрд.руб.
Объем инвестиций в основной капитал
Приведем массив данных
![]()
![]()
![]()
![]()
![]()
![]()
![]()
Для регрессии вида
найдем коэффициенты по формулам

Вычислим
![]()
![]()
![]()
![]()
![]()
![]()
![]()
Тогда


Откуда![]()
Тогда линейная регрессия будет иметь вид![]()
Смысл коэффициента beta заключается в том, что с каждым годом инвестиции в основной капитал увеличиваются на 11,9 млрд.руб.
Объем промышленного производства
Приведем массив данных
![]()
![]()
![]()
![]()
![]()
![]()
![]()
Для регрессии вида
найдем коэффициенты по формулам

Вычислим
![]()
![]()
![]()
![]()
![]()
![]()
![]()
Тогда


Откуда![]()
Тогда линейная регрессия будет иметь вид![]()
Смысл коэффициента beta заключается в том, что каждый год объем промышленного производства увеличивается на 30,2 млрд.руб.
Глава 3. Пути совершенствования социально-экономической статистики
В рамках мероприятий Программы Федеральной службе государственной статистики во взаимодействии с федеральными органами исполнительной власти предстоит решить одну из основополагающих задач по созданию единой межведомственной системы информационно-статистического обеспечения органов государственной власти с целью получения своевременной, достоверной и полной социально-экономической статистики на основе интеграции всех статистических информационных ресурсов в масштабах государства для выработки управленческих решений и прогнозирования во всех сферах, включая анализ состояния и динамики развития национальной экономики.
Указанную систему предполагается реализовать путем объединения статистических информационных ресурсов федеральных органов исполнительной власти, формирующих статистические данные, с обеспечением оперативного доступа пользователей к этим ресурсам.
Реализация Программы будет направлена на:
· доступность открытых статистических данных и прозрачность методологии их формирования для всех заинтересованных пользователей;
· научный подход и применение международных статистических стандартов и классификаций при определении национальной системы статистических показателей и методов их формирования;
· снижение нагрузки на отчитывающиеся хозяйствующие субъекты путем расширения практики использования в статистических целях административных данных, представляющих собой документированную информацию, полученную федеральными органами государственной власти, органами государственной власти субъектов Российской Федерации, органами местного самоуправления и государственными организациями в связи с осуществлением ими своих разрешительных, регистрационных, контрольно-надзорных полномочий;
· методологическое и организационное обеспечение формирования показателей, характеризующих уровень достижения целей социально-экономического развития государства, и показателей деятельности федеральных органов исполнительной власти;
· интеграцию статистических информационных ресурсов на основе методологической и технологической совместимости для эффективного их использования при решении задач управления и прогнозирования;
· повышение качества официальной статистической информации;
· совершенствование технологии сбора, формирования, хранения и распространения статистических данных с использованием современных информационно-коммуникационных систем, включая интернет-технологии;
· разработку методов обеспечения конфиденциальности первичных статистических данных, полученных от респондентов.
В результате выполнения мероприятий Программы в Российской Федерации должны быть максимально реализованы принципы официальной статистики, одобренные Статистической комиссией ООН.
Исходя из стратегических целей и задач развития государства по модернизации экономики, защите прав, свобод и безопасности граждан, обретению доверия общества к государственной власти, повышению уровня жизни граждан, обеспечению экономического роста, целью Программы является обеспечение пользователей достоверными статистическими данными, отвечающими международным стандартам, путем формирования системы, направленной на повышение эффективности принятия управленческих решений.
Достижение цели Программы будет обеспечиваться путем решения следующих основных задач:
1. оптимизация состава официальной статистической информации, разрабатываемой федеральными органами государственной власти для принятия управленческих решений и прогнозирования на различных уровнях государственного, муниципального и корпоративного управления, с учетом международного опыта;
2. минимизация информационной нагрузки на респондентов на основе применения современных методов статистического наблюдения;
3. интеграция и гармонизация статистических информационных ресурсов, разрабатываемых федеральными органами государственной власти;
4. модернизация системы сбора, обработки, хранения и распространения статистической информации органов государственной статистики на основе применения современных информационно-телекоммуникационных технологий;
5. развитие системы обратной связи с респондентами и пользователями статистической информации.
Реализация первой задачи будет способствовать наиболее полному и качественному информационному обеспечению достижения стратегических национальных целей и решения задач на основе поступления и анализа исчерпывающей, объективной, научно обоснованной, надежной официальной статистической информации о социальном, экономическом, демографическом и экологическом положении Российской Федерации. На основе достигнутых результатов и исходя из требований дальнейшего совершенствования статистики в рамках экономической политики государства и ускоренных темпов информатизации общества необходимо решение новых важных методологических и практических проблем по следующим направлениям государственной статистики:
В целях реализации второй задачи необходимо дальнейшее развитие информационных статистических ресурсов с учетом организации государственных статистических наблюдений при оптимальном сочетании периодического проведения всероссийских переписей и выборочных статистических обследований.
Широкое внедрение выборочных обследований является важным аспектом дальнейшего развития государственной статистики, обеспечивающим сокращение затрат и сроков на проведение статистических работ и уменьшение информационной нагрузки на респондентов.
Выборочный метод является основным при проведении периодических статистических наблюдений населения, субъектов малого предпринимательства в большинстве государств и широко используется российской статистикой.
Применение выборочного метода, основанного на принципах вероятностного отбора, позволяет сделать научно обоснованные выводы обо всей исследуемой совокупности, осуществляя при этом статистический контроль за точностью и достоверностью полученных результатов.
Организация и проведение государственных статистических наблюдений, в том числе с использованием выборочных методов, проведение сплошных обследований и всероссийских переписей будет и далее базироваться на единой информационной основе, сформированной в рамках статистического регистра хозяйствующих субъектов Федеральной службы государственной статистики. На его базе определяются совокупности хозяйствующих субъектов, включая малые, средние и крупные предприятия, формируются специальные признаки объектов наблюдения для реализации конкретных статистических задач.
Учитывая тенденции развития рыночных отношений, ослабление административных барьеров для начала предпринимательской деятельности и задачу снижения нагрузки на отчитывающиеся хозяйствующие субъекты, актуальной является разработка принципиально новых методологических подходов по организации статистического учета единиц наблюдения, в частности, использование новых критериев определения единиц статистического наблюдения, а также отражение в статистическом регистре хозяйствующих субъектов Федеральной службы государственной статистики финансовых связей объектов.
Число выборочных обследований в 2011 году увеличится по сравнению с 2009 годом на 15 – 20 процентов и они будут проводиться для наблюдения во всех секторах экономики.
Реализация третьей задачи связана с необходимостью создания единой системы информационно-статистического обеспечения органов государственной власти, которая предназначена для целостного обеспечения своевременности, качества и полноты формирования макроэкономической статистики на основе решения задачи интеграции статистических информационных ресурсов в масштабах государства с целью ее эффективного использования при решении задач управления и прогнозирования во всех сферах, включая анализ состояния и динамики развития национальной экономики.
Основной целью является создание на базе ведомственных информационных ресурсов единого государственного интегрированного информационного статистического ресурса и обеспечение возможности оперативного доступа к нему заинтересованных пользователей статистической информации.
В рамках проекта интернет-портала государственной статистики должна быть реализована единая точка входа в информационные ресурсы федеральных органов исполнительной власти, формирующих статистические данные, размещенные на их интернет-сайтах. При этом обеспечивается возможность поиска статистической информации и доступа к ней по унифицированным процедурам.
Формирование единого государственного интегрированного статистического ресурса предполагается в виде системы взаимодействующих хранилищ статистических данных, поставляющих информацию в центральное хранилище. Такой подход обеспечит повышение уровня автоматизации технологических процессов межведомственного взаимодействия в части сбора, обработки и доступа к статистической информации. Методические подходы и практические решения, использованные при создании интернет-портала государственной статистики, могут быть использованы при создании системы.
В процессе формирования указанного ресурса определяющее значение имеет организация межведомственного обмена статистическими данными на основе использования единой методологии с учетом сформированных в рамках реализации федеральной целевой программы «Электронная Россия (2002 - 2010 годы)» решений по:
· обеспечению электронного межведомственного взаимодействия в полном соответствии со стандартами архитектуры «электронного правительства», формируемыми Министерством информационных технологий и связи Российской Федерации;
· методическим подходам и практической реализации интернет-портала государственной статистики.
Для создания единого государственного интегрированного статистического ресурса необходимо обязательное использование единой методологии и общероссийских классификаторов, а также принятие ряда нормативных правовых актов и проведение проектно-технических и технологических работ, обеспечивающих организацию межведомственного информационного взаимодействия. При этом требуется:
· разработка единых методических стандартов формирования информационно-статистических ресурсов, обеспечивающих доступ к ресурсам и возможность проведения комплексного анализа;
· формирование стандартов представления и обмена статистическими данными с учетом использования международных стандартов;
· обеспечение технологической, технической, методологической и информационной совместимости соответствующих информационных систем федеральных органов исполнительной власти.
Это создаст основу для эффективного информационного взаимодействия федеральных органов исполнительной власти в части формирования, использования и развития единого государственного интегрированного статистического ресурса.
В рамках четвертой задачи для эффективной работы системы государственной статистики необходимо четко определять, как должна выстраиваться организация статистических работ, на каких принципах, при каком наборе решаемых задач она будет наиболее полно отвечать предъявляемым требованиям адекватности, полноты и достаточности. Требуется развитие методических подходов по установлению однородности и взаимосвязи изучаемых явлений, определению закономерностей в их изменении, представлению их в виде комплекса целевых задач, лежащих в основе функционального обеспечения создаваемых систем. Это важно при создании любых статистических систем и особенно при организации и реорганизации систем государственной статистики как наиболее масштабных и многомерных. Отсюда первостепенное значение приобретает модернизация системы сбора, обработки, хранения и распространения статистической информации на основе применения современных информационно-телекоммуникационных систем с использованием высокоскоростных цифровых каналов связи и хранилищ данных большой емкости, что создает основу для формирования баз микроданных. Использование интернет-технологий и геоинформационных систем обеспечит переход на качественно новый уровень обслуживания, включая оперативный доступ к статистическим данным, и расширение числа пользователей.
При этом планируется ускоренное создание новой информационной инфраструктуры органов государственной статистики путем их масштабного переоснащения современными техническими и программными средствами с автоматизацией рабочих мест на основе новых технологических решений. Основными направлениями совершенствования статистических информационных ресурсов станут:
· развитие сетевой и вычислительной инфраструктуры государственной статистики;
· развитие информационной технологии сбора, формирования, хранения и распространения статистических данных;
· развитие интегрированной технологии статистики и анализа;
· обучение специалистов и технического персонала.
В ходе реализации пятой задачи будет существенно расширен доступ пользователей к официальной статистической информации. Необходимо расширить использование современных систем распространения статистической информации за счет геоинформационных технологий, позволяющих представить пользователям в наиболее удобном для восприятия виде статистические данные, в том числе графики, диаграммы, картограммы, в привязке к территории в границах административно-территориальных образований.
В целом применение современных технологий позволит повысить оперативность доведения до пользователей официальной статистической информации.
Институциональное развитие Федеральной службы государственной статистики с учетом международных норм в области статистики является ключевым фактором обеспечения эффективного распространения статистической информации, создания потенциала, необходимого для удовлетворения потребностей всех групп пользователей. Более высокая доступность статистической информации является необходимым условием для мониторинга последствий структурных и институциональных реформ, проводимых всеми заинтересованными сторонами.
В связи с этим в уточнении нуждается действующий порядок предоставления данных для их эффективного использования органами государственной власти и управления федерального и регионального уровней, а также другими заинтересованными пользователями.
Рост числа статистических показателей, совершенствование программных средств электронной обработки и хранения данных, возрастающее число запросов на статистическую информацию со стороны пользователей, а также повышение требований к качеству и достоверности распространяемой статистической информации обусловливают необходимость совершенствования административных процедур Федеральной службы государственной статистики, развития взаимодействия с пользователями статистических данных.
Представляется важным сформировать каналы обратной связи с респондентами и потребителями статистической информации, определить требования пользователей к статистической информации, обеспечив при этом защиту информационных статистических ресурсов, в частности баз данных, от несанкционированного доступа.
Одним из главных принципов органов государственной статистики является уважение прав респондентов. Достоверность официальной статистической информации напрямую зависит от ответственности респондентов за предоставление статистических данных.
Гарантией доверия респондентов к органам государственной статистики должны быть конфиденциальность представленных ими для формирования официальной статистики данных, а также уверенность в том, что эти данные не будут использованы не в статистических целях.
Вместе с тем каждый респондент заинтересован в получении сводной и рейтинговой информации, необходимой для определения своей роли в производственном процессе, и одна из задач органов государственной статистики - предоставить ему эту информацию.
Создание канала обратной связи с пользователями статистической информации в процессе информационного взаимодействия позволит Федеральной службе государственной статистики оценить степень востребованности статистических данных, выработать новые подходы к распространению статистической информации, разработать регламентные документы, регулирующие доступ к статистическим информационным ресурсам.
Предполагаются создание новой структуры управления системой распространения статистических данных, соответствующей лучшей международной практике, и разработка инструментов, соответствующих запросам различных групп пользователей.
Создание комплексной системы управления процессом распространения статистической информации с использованием высокопроизводительных вычислительных и телекоммуникационных средств позволит более эффективно использовать статистические ресурсы в интересах общества и государства для подготовки на качественно новой основе официальных статистических публикаций с целью максимального удовлетворения потребностей пользователей статистики.
Заключение
Итоги социально-экономического развития Ленинградской области за первые пять месяцев 2010 года свидетельствуют о восстановлении позитивных тенденций и дают основания для положительных прогнозов по большинству важнейших показателей по итогам года. По сравнению с январем-маем 2009 года выросли реальные денежные доходы населения. Средняя номинальная начисленная заработная плата одного работника в апреле 2010 года составила 20404 руб., или 113,7% к апрелю 2009 года. Реальная заработная плата, рассчитанная с учетом индекса потребительских цен, в апреле 2010 года на 5,4% выше уровня апреля 2009 года. По итогам года планируется рост номинальной начисленной заработной платы на 14,2% по сравнению с 2009 годом, реальной заработной платы– на 4,4%.За пять месяцев индекс промышленного производства к аналогичному периоду прошлого года вырос на 9,4%, рост обрабатывающего производства составил 13,3% . Объем продукции сельского хозяйства составил 15,2 млрд рублей, что на 3,1% больше показателей аналогичного периода 2009 года. Объем инвестиций в основной капитал за счет всех источников финансирования по итогам 1 квартала 2010 года составил 32,5 млрд рублей. Таким образом, по этому показателю Ленинградская область – на восьмом месте в России и на втором – в СЗФО. По объему инвестиций удельный вес региона в объеме округа увеличился до 23%, по сравнению с 19% в аналогичный период прошлого года.Общая сумма задолженности по зарплате В 2010 году составляет 23 млн рублей, в том числе 16 млн рублей из-за несвоевременного получения средств по линии Министерства обороны и 7 млн из-за отсутствия собственных средств организаций. При этом в течение июля 2009–февраля 2010 года бюджеты всех уровней вовремя выделяли средства на выплату заработной платы.
За последнее время проведены 67 ярмарок вакансий, профессий и учебных мест, в том числе на базе профессиональных учебных заведений. В регионе создаются молодежные биржи труда: для агропромышленного и рыбохозяйственного комплекса на базе Санкт-Петербургского государственного аграрного университета, для предприятий промышленности и малого бизнеса – на базе Государственного института экономики, финансов, права и технологий. Учреждения начального и среднего профессионального образования в 2009 году заключили 432 договора с работодателями на подготовку кадров, а комитет общего и профессионального образования совместно с Ленинградским областным институтом развития образования разработал 167 образовательных программ по ускоренной подготовке и переподготовке кадров, а также по повышению квалификации.
Литература
1. Голуб Л. А. Социально-экономическая статистика. 2003
2. Бурцева С. А. Статистика финансов. 2004
3. Громыко Г.Л. Теория статистики. 2007
4. Елисеева И. И., Силаева С. А., Щирина А. Н. Практикум по макроэкономической статистике. 2007
5. Елисеева И.И. Общая теория статистики: Учебник для ВУЗов. – М.: Финансы и статистика, 2004.
6. Ефимова М.Р., Петрова Е.В., Румянцев В.Н. Общая теория статистики: Учебник. - М.: ИНФРА-М, 2002.
7. Ефимова М. Р., Бычкова С. Г. Практикум по социальной статистике. 2005
8. Теория статистики: Учебник. / Под ред. Р.А. Шмойловой. - М.: Финансы и статистика, 2002.
9. Назаров М. Г. Курс социально-экономической статистики. 2003
10. Палий И.А. Прикладная статистика. 2007
11. Салин В.П., Шпаковская Е.П. Социально-экономическая статистика: Учебник. - М.: Юрист, 2001.
12. Курс социально-экономической статистики: Учебник для вузов / Под ред. Проф. М.Г.
13. Практикум по социальной статистике: Учеб.пособие/ Под ред. И.И.Елисеевой.-М.: Финансы и статистика, 2002.
14. Экономическая статистика: Учебник / Под ред. Ю.Н. Иванова. - М.: ИНФРА-М, 2002.
15. Кибанов А.Я. «Экономика и социология труда: Учебник». – М.: ИНФРА-М, 2003. – 584с.
16. Липсиц И.В. «Экономика: учебник для вузов». – М.: Омега-Л, 2006. – 656с. – (Высшее экономическое образование).
[1] по Российской Федерации рост в 1,5 раза.
[2] по Российской Федерации – 149%
Похожие работы
-
Инновационное развитие экономики России: региональный аспект
Приоритетной задачей России в XXI в. является всесторонняя модернизация общественной жизни. Главная составляющая этого процесса — модернизация и техническое обновление производственной сферы.
-
Основные направления формирования программ развития региональных и муниципальных образовательных
систем В 2002 г. НИИ регионологии продолжил аналитическую работу по региональным программам, сроки реализации которых составляют – 2000-2005 г.г. Объектом анализа стали программы развития региональной системы образования 17 регионов России различных статусов - краев, республик, областей. Сделаны следующие выводы об особенностях современных региональных программ развития образовательных систем, ориентированных на реализацию новых образовательных задач:
-
Инновационный потенциал Свердловской области
Инновационный потенциал, его понятие, структура и компоненты. Характеристика инновационного потенциала на примере Свердловской области: основные показатели и сравнение с другими регионами России. Ускорение процессов модернизации технологической базы.
-
Состояние инвестиционного климата региона – основа развития строительного комплекса
Под инвестиционным климатом понимается среда, в которой протекают инвестиционные процессы. Формируется инвестиционный климат под воздействием политических, экономических, юридических, социальных и других факторов.
-
Разработка инновационного проекта для фирмы ООО ГрадМонолит по оказанию новой услуги
АНО ВПО «СУРАО» ИНСТИТУТ КИНОЛОГИИ И БЕЗОПАСНОСТИ Кафедра______________________________________________________________________ УТВЕРЖДАЮ
-
Экономика Ленинградской области
Северо-Западный федеральный округ как административное формирование на севере европейской части России. Промышленный комплекс Ленинградской области. Транспортная инфраструктура, строительство и инвестиции, развитие сельского хозяйства в области.
-
Северо-Западный экономический регион
Состав экономического района: Санкт-Петербург, Ленинградская, Новгородская, Псковская области. Факторы, влияющие на экономическое развитие региона. Обеспеченность минерально-сырьевыми ресурсами, экономическая специализация, ведущие отрасли хозяйства.
-
Основные макроэкономические показатели 5
К основным макроэкономическим показателям относят: валовой внутренний продукт (ВВП), валовой национальный продукт (ВНП), национальный доход (НД).
-
Статистические показатели
Расчет плана по реализации продукции. Динамика численности населения. Плановое задание по росту производительности труда за год. Основные статистические показатели зарплаты и основных фондов (моду и медиану, дисперсию, коэффициент вариации, отклонение).
-
Анализ территориальной организации населения и хозяйства на примере Ленинградской области
Особенности географического положения региона. Население и его особенности: численность. Место региона в хозяйстве России. Природно-ресурсный потенциал района. Основные отрасли экономики района. Проблемы и перспективы развития региона.