Название: Форми і системи оплати праці
Вид работы: контрольная работа
Рубрика: Экономика
Размер файла: 153.99 Kb
Скачать файл: referat.me-383665.docx
Краткое описание работы: Методи розрахунку заробітку працівника при різних формах оплати праці. Розрахунок відносних показників структури промислово-виробничого персоналу, середньоспискової чисельності працівників, індексів продуктивності праці та середньої заробітної плати.
Форми і системи оплати праці
Міністерство освіти і науки України
Запорізький національний технічний університет
Кафедра управління трудовими ресурсами
КОНТРОЛЬНА РОБОТА
з дисципліни«Статистика праці»
Варіант №5
Виконав(ла): студент(ка) 4 курсу, групи МТУ 236
Родіонова Л.В.
Запоріжжя, 2010
1. Форми і системи оплати праці
Організація оплати праці на підприємствах здійснюється на основі розподілу функцій і робіт, нормування, тарифної системи, форм і систем оплати праці.
Тарифна система оплати праці є сукупністю взаємопов'язаних елементів: тарифної сітки, тарифних ставок, схем посадових окладів і тарифно-кваліфікаційних характеристик.
Тарифно-кваліфікаційні характеристики використовуються для розподілу робіт і працівників залежно від їх, відповідно, складності та кваліфікації за розрядами тарифної сітки і є основою формування та регулювання (диференціації) заробітної плати.
Тарифна сітка встановлює відповідні співвідношення у оплаті праці працівників різної Кваліфікації. Вона являє собою сукупність тарифних Розрядів і відповідних їм тарифних коефіцієнтів.
В Україні з 1993 року впроваджується едина тарифна сітка розрядів і коефіцієнтів оплати праці працівників державних організацій і підприємств. Вона складається 29 тарифних розрядів, що поширюються на всіх працівників підприємства (керівників спеціалістів, службовців, робітників), діапазоном тарифних коефіцієнтів 1:13,,8 Параметри цієї сітки щодо оплати працї робітників і службовців за загальним (наскрізними) професіями та посадам наведені у табл. 1.
Мінімальна заробітна плата — це встановлений державою розмір заробітної плати, нижче якого не може проводитися оплата за фактично виконану найманим працівником повну місячну (денну або годинну) норму праці (робочого часу).
До мінімальної заробітної плати не включаються доплати, надбавки та компенсаційні виплати. В той же час, розмір оплати праці може бути нижчим від встановленої державою мінімальної заробітної плати у разі невиконання норм виробітку, виготовлення продукції, що виявилася браком, простою та з інших причин, передбачених законодавством, які мали місце з вини працівника.
Галузева диференціація та диференціація оплати за умовами праці здійснюється за допомогою коефіцієнтів співвідношення до мінімальної заробітної плати мінімальних тарифних ставок по галузях народного господарства України (табл. 2).
Керівник державного підприємства обирає форми і системи оплати праці, встановлює працівникам конкретні Розміри тарифних ставок, відрядних розцінок, посадових окладів, премій, винагород, надбавок і доплат, керуючись ^ною тарифною сіткою, а також умовами, що передбачені Елективним договором. Що стосується підприємств інших Ф°РМ власності, то вони можуть: використовувати TPaДицiйнy тарифну систему; застосовувати тарифні ставки та оклади тільки як орієнтири; запроваджувати власну, Чдивідуально розроблену модель оплати праці.
Таблиця 2. Коефіцієнти співвідношення до мінімальної заробітної плати мінімальних тарифних ставок для їх диференціації за видами виробництв, робіт і діяльності залежно від складності та умов праці по основних галузях народного господарства
| Види виробництв, робіт, діяльності | Коефіцієнти співвідношення |
Машинобудування Металообробка Вугільна промисловість Гірничі роботи на підприємствах чорної і кольорової металургії в гірничохімічній промисловості, геологорозвідці, на будівництві метрополітенів Підприємства металургійної промисловості Електроенергетична промисловість: атомні електростанції і теплоелектроцентралі теплові та гідроелектростанції, електричні і теплові мережі Нафтова і газова промисловість Хімічна,нафтохімічна,хімікофармацевтична,мікробіологічна промисловість Лісова промисловість, лісове господарство Целюлозно-паперова промисловість Деревообробка Промисловість будівельних матеріалів, скляна і фарфоро-фаянсова промисловість Легка, харчова і рибна промисловість Поліграфічне виробництво Експлуатаційні роботи, ремонт, налагодження і обслуговування технічних засобів залізничного транспорту і метрополітенів Цивільна авіацій Сільське господарство: трактористи-машиністи на роботах у тваринництві та на ручних роботах Підприємства і організації зв'язку Будівельні, будівельно-монтажні та ремонтно-будівельні роботи Побутове обслуговування населення Торгівля і громадське харчування |
1.08- 1.4-1 1.06-1.25 1.45-2.75 1.45 - 2.29 1.17-1.6 1.31 1.25 1.08-1.86 1.08- 1.45 1.02- 1.56 1.08- 1.17 1.06- 1.13 1.06-2.12 1.02-1.17 1.06-1.17 1.06- 1.30 1.17-1.56 1.19- 1.56 1.02- 1.08 1.06- 1.13 1.28-1.53 1.02- 1.36 1.02- 1.06 1.08- 1.30 |
Встановлені тарифні ставки, коефіцієнти та розряди, які визначають міру оплати праці, самі по собі не дають можливості розрахувати заробіток того чи іншого працівника. Виникає необхідність їх ув'язки з фактичними результатами (витратами) праці. Саме цю функцію виконують форми та системи оплати праці, обумовлюючи визначений порядок її нарахування.
Основними вимірниками витрат праці є кількість виготовленої продукції (наданих послуг) відповідної якості або робочий час, тобто кількість днів, годин, протягом яких працівник зайнятий на підприємстві. Такому поділу вимірників витрат праці відповідають дві форми оплати праці, що базуються на тарифній системі — відрядна і почасова і включають ряд систем для різних організаційно-технічних умов виробництва (рис. 1.).
При відрядній формі оплата праці проводиться за нормами і розцінками, встановленими, виходячи з розряду виконуваних робіт. Присвоєний працівникові кваліфікаційний (тарифний) розряд є підставою для надання йому можливості виконувати роботу відповідної складності. Основними умовами застосування відрядної оплати праці є наявність кількісних показників роботи, що безпосередньо залежать від конкретного працівника і піддаються точному обліку, а також необхідність стимулювання зростання випycкy продукції та існування реальних можливостей підвищення виробітку на конкретному робочому місці.
Використання цієї форми оплати праці потребує встановлення обгрунтованих норм виробітку, чіткого обліку виконання і, що особливо важливо, не повинно призводити до погіршення якості продукції, порушень технологічних режимів, техніки безпеки, а також до перевитрачання сировини, матеріалів, енергії.

Рис. 1. Форми і основні системи оплати праці.
При прямій відрядній системі заробіток працівника (Dпвс) розраховується шляхом перемноження кількості одиниць виробленої продукції (v) та розцінки за одиницю продукції (р):
Dnвc = р × v
Розцінка визначається діленням погодинної тарифної ставки на норму виробітку або множенням погодинної тарифної ставки на норму часу (у годинах) на виготовлення одиниці продукції.
При непрямій відрядній системі заробіток працівника залежить не від його особистого виробітку, а від результатів праці працівників, що ним обслуговуються. Вона застосовується для оплати тих категорій допоміжних робітників (наладчиків, ремонтників, кранівників), праця яких не піддається нормуванню та обліку, але значною мірою визначає рівень виробітку основних робітників. Заробіток робітника (Dnвc) при цій системі розраховується за формулою:
Dnвc = s×t×kвн
де s — погодинна тарифна ставка;
t — фактично відпрацьована кількість годин цим робітником;
kвн — середній коефіцієнт виконання норм виробітку всіма робітниками, що обслуговуються.
При ві'дрядно-преміальній системі заробіток працівника (Dвпc) складається з відрядного заробітку (рv) та премії (m) за досягнення певних результатів, що заохочуються:
Dвпc = pV + m.
Відрядно-прогресивна оплата праці передбачає оплату робіт, виконаних у межах встановленої норми (n0) за звичайними відрядними розцінками (р), а Робіт, виконаних понад нормативний (базовий) рівень (nj) — за підвищеними розцінками (рj) залежно від ступеня виконання завдання. Заробіток (Dв прог) при цій системі визначається, таким чином, за формулою:
Dв прог = p • n0 + pj • nj
Застосування цієї системи обмежується, як правило ділянками, що стримують роботу всього підприємства, через відсутність у ній стимулюючих факторів підвищення якості продукції або послуг. Відмінність акордної системи полягає в тому, що працівникові або групі працівників розцінки встановлюються не за окремими операціями, а на весь комплекс робіт з визначенням кінцевого строку його виконання. Ця система заохочує до скорочення строків виконання робіт і тому використовується, перш за все, при усуненні наслідків аварій, термінових ремонтах, будівельних роботах тощо Треба враховувати необхідність суворого контролю якості додержання правил безпеки праці при застосуванні цєї системи оплати праці
• Почасова оплата праці робітників здійснюєтся за годинними (денними) тарифними ставками із застосуванням нормованих завдань або місячними окладами Почасова оплата праці керівників, спеціалістів і службовців проводиться, як правило, за місячними посадови окладами (ставками).
• При простій почасовій оплаті заробі працівника (Dnn) розраховується множенням годинної тарифної ставки відповідного розряду (s) на кільків відпрацьованих годин (t).
Dпп = st
Через недостатній вплив на кількість і якість .праці почасового робітника цю систему застосовують досить рідко.
Почасово-преміальна система певною мірою усуває цей недолік. При цій системі окрім тарифного заробітку (st) працівник одержує премію (m) за досягнення певних кількісних або якісних показників. Загальний заробіток (Dпрем) визначається за формулою:
Dпрем = S • t + m.
При застосуванні почасово-преміальної системи з використанням нормованих завдань заробіток може складатися з трьох частин: 1) почасового заробітку, що розраховується пропорційно відпрацьованому часу, та доплат за професійну майстерність і умови (інтенсивність) праці; 2) додаткової оплати за виконання нормованих завдань, що нараховується у процентах до почасової оплати за тарифом; 3) премії за зниження трудомісткості виробів або робіт.
Різновидом почасово-преміальної є система оплати праці за посадовими окладами, що застосовується на підприємствах усіх галузей економіки. За Цією системою оплачуються працівники, робота яких має стабільний характер (комірники, вагарі, прибиральники та ін.).
Взагалі почасова оплата праці застосовується у тих випадках, коли:
• часта зміна змісту та послідовності операцій не дозволяє встановити індивідуальну норму виробітку;
• немає необхідності заохочувати збільшення випуску продукції або якщо воно може погіршувати якість виробів (послуг); має місце жорстка регламентація витрат робочого часу безпосередньо технікою, технологією або організацією виробництвами (автоматичні та конвейєри лінії, апаратурні процесів тощо).
Об'єктивний процес все більшого поширення в усіх галузях народного господарства таких виробничих умов обумовлює тенденцію поступового підвищення питомої ваги почасової оплати праці. При цьому треба враховувати, що така форма заробітної плати не забезпечує достатньо напруженості та інтенсивності праці, якщо це не зумовлено самим виробничим процесом. Звідси для практиків вдосконалення форм і систем оплати праці, створення новиих моделей заробітної плати є характерним намаганням позбутися негативних і поєднати позитивні елементів почасової та відрядної форм оплати праці. Зокрема це стосується поширення моделей безтарифної системи оплатив праці, що базується на частковому розподілі заробленими коштів, призначених для винагородження працівників з певними критеріями. Зокрема ними можуть слугувати: 1) кваліфікація та діловитість працівника; 2) коефіцієнт трудової участі як узагальнююча оцінка реального внесів кожного працівника у результати колективної праці; 3) ступінь виконання нормованих завдань; 4) кількісні відпрацьованих годин.
У зв'язку із зростанням частки групових форм праці, а також з метою ефективного використання робочої сили на основі активізації творчого потенціалу працівників усіх категорій все більшого розвитку набувають колективні форми організації та оплати праці. Використання колективних розцінок заохочує працівників до суміщення професій, взаємозаміни та взаємодопомоги у процесі праці практично ліквідує поділ робіт на "вигідні" та "невигідні" і, що дуже важливо, більшою мірою орієнтує на досянення кінцевих результатів діяльності підприємства.
2. Задача 1
Відомі такі дані про склад персоналу машинобудівного заводуза базовий і звітний періоди:
| Склад персоналу | Кількість персоналу за період | ||
| базовий | звітний | ||
| за планом | фактично | ||
| Увесь персонал | 1400 | 1460 | 1485 |
| Промислово-виробничий персонал | 1320 | 1376 | 1403 |
| У тому числі: | |||
| робітники, разом із них: | 980 | 1021 | 1037 |
| - основні | 720 | 753 | 765 |
| - допоміжні | 260 | 268 | 272 |
| учні | 36 | 27 | 28 |
| ІТП | 210 | 223 | 229 |
| службовці | 52 | 58 | 60 |
| МДП | 18 | 21 | 22 |
| охорона | 24 | 26 | 27 |
| Непромисловий персонал | 80 | 84 | 82 |
Визначити:
1) відносні показники структури промислово-виробничого персоналу за два періоди;
2) співвідношення окремих категорій персоналу;
3) абсолютний надлишок або абсолютну нестачу за категоріями персоналу;
4) відносний надлишок або відносну нестачу персоналу за категоріями робітників з урахуванням перевиконання плану виробництва продукції на 3,2% у звітному році.
Розв’язання:
1) Відносна величина структури – це співвідношення частини і цілого. За ціле (100 %) беремо промислово – виробничий персонал – усього. А за частину приймаємо його складові. Для прикладу: 980/ 1320 =0,7424 = 74,24 % (робітники разом, базовий період – розрахунок)
Для рішення задачі побудуємо додаткову таблицю
| Показник | Відносні величини | ||
| Структура, % | |||
| база | план | факт | |
| Промислово-виробничий персонал | 100 | 100 | 100 |
| У тому числі: | |||
| робітники, разоміз них: | 74,24 | 74,20 | 73,91 |
| • основні | 73,47 | 73,75 | 73,77 |
| • допоміжні | 26,53 | 26,25 | 26,23 |
| учні | 2,73 | 1,96 | 2,0 |
| ІТП | 15,91 | 16,21 | 16,32 |
| службовці | 3,94 | 4,22 | 4,28 |
| МДП | 1,36 | 1,53 | 1,57 |
| охорона | 1,82 | 1,88 | 1,92 |
2) Співвідношення окремих напрямів називають відносною величиною координації.
Промислово – виробничий персонал приймаємо за 100 %, порівнюємо непромисловий персонал.
| Показник | Відносні величини | ||
| координації | |||
| база | план | факт | |
| Промислово-виробничий персонал | 100 | 100 | 100 |
| Непромисловий персонал | 6,06 | 6,10 | 7,91 |
3) Для визначення абсолютного надлишку або нестачі складемо таблицю:
| план | факт | ||
| Усього | 1460 | 1485 | 1485-1460=25 абс. надлишок |
| Промислово-виробничий персонал | 1376 | 1403 | 1403-1376 = 30 абс. надлишок |
| Непромисловий персонал | 84 | 82 | 82-84 = -2 абсол. нестача |
4) Для визначення відносного надлишку або нестачі складемо таблицю
| план | факт | ||
| Усього | 1460 100% |
1532,52 104,97 % | 104,97 – 100 = 4,97 – відносний надлишок |
Промислово-виробничий персонал |
1376 100% |
1447,90 105,23 % | 105,23 – 100 = 5,23 % відносний надлишок |
| Непромисловий персонал | 84 100% |
84,6 100,71 % |
100,71 – 100 = 0,71 % відносний надлишок |
3. Задача 2
Новий магазин почав працювати з 12 червня. Кількість явок працівників з 12 червня по 30 червня становила 624 людино-днів, а кількість неявок, включаючи неявки за три вихідні - 108 людино-днів.
Визначити:
1) середньоспискову чисельність працівників за червень;
2) середню явочну чисельність працівників за червень;
3) коефіцієнт використання спискового складу працівників.
Розв’язання:
1) Списковий склад робітників на конкретну дату можна обчислити як суму явок та неявок в розрахунку на один календарний день. У нашому випадку для одержання середньоспискової чисельності за місяць треба календарний фонд поділити на кількість календарних днів. Кількість календарних днів у червні = 30 днів.
Середньоспискова чисельність у червні становить: (624 + 108) / 30 = 24 працівника
2) Середньоявочну чисельність можна визначити, поділивши загальну суму явок за місяць на кількість робочих днів. Кількість робочих днів з 12 червня по 30 червня = 19 днів.
Середньоявочна чисельність становить: 624 / 19 = 33 працівника.
3) Коефіцієнт використання спискового складу працівників = 33/24 = 1,375
Списковий склад працівників в магазині був використаний на 137,5 %.
4. Задача 3
Розрахувати загальний індекс продуктивності праці по групі підприємств і економію витрат внаслідок її зростання використовуючи дані з таблиці:
| Підприємство | Середньоспискова чисельність працівників за квартал, чол. | Зміни продуктивності праці у ІІІ кварталі порівняно до ІІ кварталу, % | |
| ІІ | ІІІ | ||
1. 2. 3. |
1620 840 1100 |
1700 1020 1150 |
+4 -2 +3 |
Розв’язання:
Загальний індекс (І):
І =
=
=
1,110
Економія = 3952,10 – 3560 = 392,10
5. Задача 4
У 2001р. підприємство виготовило продукції на 6,8млн.грн., або у 1,8 раз більше, ніж у 1996 р. Чисельність промислово-виробничого персоналу збільшилась за 5років на 22%.
Визначити:
1) на скільки гривень і на скільки відсотків збільшився випуск продукції за 5 років;
2) на скільки гривень і на скільки відсотків збільшувався в середньому щороку випуск продукції (порівняно з попереднім роком);
3) на скільки відсотків підвищилася продуктивність праці за 5 років;
4) на скільки відсотків підвищувалася в середньому щороку продуктивність праці (порівняно з попереднім роком);
5) на скільки відсотків знижувалася в середньому щороку трудомісткість продукції (порівняно з попереднім роком);
6) на скільки гривень і на скільки відсотків порівняно з 1996 р. збільшився випуск продукції за рахунок: а) збільшення чисельності працюючих; б) зростання продуктивності праці.
Розв’язання:
1) У 1996 році випуск продукції склав: 6,8:1,8 = 3,8 (млн. грн.)
6,8 – 3,8 = 3 (млн. грн.) на 3 млн. грн. збільшився в середньому випуск продукції.
або на 78,95% збільшився випуск продукції.
2) В середньому випуск продукції збільшувався на 3,8/5 = 0,6 (млн. грн).
У відсотках:
1997 р.:
або на 15,79%
1998 р.:
або на 13,64%
1999 р.:
або на 12%
2000 р.:
або на 10,71%
2001 р.:
або на 9,68%
12,36% в середньому щороку випуск продукції збільшувався на 12,36%.
3) Продуктивність праці (виробіток) вимірюється відношенням обсягу виробленої продукції (Q) до затрат праці (середньооблікової чисельності персоналу)(Т): В = Q/T,
В1996=3,8/х, В2001=
5,57/х,
тоді ∆В =
1,47 на 47% підвищилася продуктивність праці за 5 років.
4) Зміни продуктивності праці по роках:
∆В1997 =
1,1091 або на 10,91%
∆В1998 =
1,0904 або на 9,04%
∆В1999 =
1,0765 або на 7,65%
∆В2000 =
1,0657 або на 6,57%
∆В2001 =
1,0572 або на 5,72%
∆Всеред =![]()
5) Трудомісткість продукції – це обернена величина до виробітку: Т/Q,
за 1997 рік: 1/1,1091=0,9016 або 9,84% (100%-90,16%);
за 1998 рік: 1/1,0904=0,9171 або 8,29% (100%-91,71%);
за 1999 рік: 1/1,0765=0,929 або 7,1% (100%-92,9%);
за 2000 рік: 1/1,0657=0,9383 або 6,17% (100%-93,83%);
за 2001 рік: 1/1,0572=0,9459 або 5,41% (100%-94,59%);
в середньому: ![]()
6) Зростання чисельності працюючих призведе до наступних змін у обсязі виробництва: Q=B*T, з того що продуктивність праці є невідомою величиною (для її знаходження необхідні дані щодо чисельності – невідома х), тоді:
6,8 = В2001*(х*1,22) – за 2001 рік,
3,8 = В1996*х – за 1996 рік.
6,8 − 3,8 = 3 млн. грн. ; (6,8/3,8)*100 = 178,95, або на 78,95% зріс випуск продукції.
6. Задача 5
По цеху механоскладальних робіт підприємства відомі такі дані про чисельність робітників і фонд оплати праці.
Обчислити індекси середньої заробітної плати:
1) Робітників окремо за кожною групою.
2) Змінного складу, фіксованого складу та структурних зрушень загалом по цеху.
Зробити висновки.
| Робітники за рівнем кваліфікаціі | Середньоспискова чис. робітників, чол. | Фонд оплати праці грн. | ||
| базов. період | звітн. період | базов. період | звітн. період | |
| Висококваліфіковані | 30 | 36 | 24600 | 30960 |
| Кваліфіковані | 75 | 88 | 42000 | 54560 |
| Малокваліфіковані | 28 | 32 | 6720 | 8960 |
| Некваліфіковані | 14 | 8 | 2240 | 1440 |
Розв’язання:
1) Рівні середньої заробітної плати розраховують як відношення фонду оплати праці до середньоспискової чисельності. Розрахунок середньої заробітної плати одного робітника окремо за кожною групою та розрахунок відповідних індексів приведено в таблиці
| Робітники за рівнем кваліфікації | Середня заробітна плата в періоді | і |
|
| Базовий період (З |
Звітний період (З |
||
| Висококваліфіковані Кваліфіковані Малокваліфіковані Некваліфіковані | 24600 42000 6720 2240 |
30960 54560 8960 1440 |
860 620 280 180 |
Висновок: середня заробітна плата робітника кожної групи за кваліфікацією у звітному періоді підвищилась в порівнянні з базовим періодом. Найбільше середня заробітна плата підвищилась у малокваліфікованих робітників (1,167), а найменше – у висококваліфікованих (1,049).
2) Індекс середньої заробітної плати змінного складу обчислюють за формулою (І
):
І
=
=
=
,
де
- середня заробітна плата робітників у звітному періоді;
- середня заробітна плата робітників у базовому періоді; Ф
- фонд оплати праці робітників у звітному періоді; Ф
- фонд оплати праці у базовому періоді; Т
- чисельність робітників у звітному періоді; Т
- чисельність робітників у базовому періоді.
І
=
=
= 584,88
514,01 = 1,138 (113,8%)
Середня заробітна плата робітників у звітному періоді проти базового зросла на 13,8 %
оплата праця індекс середньосписковий
Індекс середньої заробітної плати фіксованого складу (І
) визначають так:
І
= 
І
=![]()
І
=
= 584,88
535,12 = 1,093 (109,3%)
Середня заробітна плата робітників у звітному періоді проти базового зросла за рахунок зростання рівня заробітної плати по кожній групі за кваліфікацією на 9,3 %.
Індекс структурних зрушень розраховують за формулою (І
):
І
= І![]()
І
= 1,138
1,093 = 1,041 (104,1 %)
Висновок: середній рівень заробітної плати робітників у звітному періоді проти базового зріс на 4,1% за рахунок збільшення частки робітників з більш високим рівнем заробітної плати.
7. Обсяг будівельно-монтажних робіт, виконаних організацією у звітному періоді, збільшився на18%, а середньоспискова чисельність працівників, зайнятих на будівництві, зросла на 12%.
Визначити коефіцієнт еластичності заробітної плати залежно від продуктивності праці, якщо зростання середньої заробітної плати випереджало зростання продуктивності праці на 4%.
Розв’язання:
Індекс продуктивності праці (І
) =
, де I
- індекс обсягу продукції; I
- індекс чисельності працівників.
І
= 1,18/1,12 = 1,0536 – продуктивність зросла на 5,36 %, так як зростання середньої заробітної плати випереджає зростання продуктивності праці на 4 %, тоді
5,36 – 100 %
Х - 104 %
Х = (104 * 5,36)/100 = 5,57
Коефіцієнт еластичності (К
) визначають діленням приросту середньої заробітної плати на приріст продуктивності праці:
К
= 5,57 / 5,36 = 1,039
8. По регіону відомі дані про зайняте населення приведені у таблиці.
Визначити:
1) ланцюгові та базові темпи зростання и темпи приросту чисельності зайнятих на підприємствах кожного виду власності;
2) методом аналітичного вирівнювання знайти тенденцію зміни чисельності зайнятих на підприємствах кожного виду власності і прогнозні значення на 2002 і 2003 роки.
| Зайняті на підприємствах | рік | ||||
| 1997 | 1998 | 1999 | 2000 | 2001 | |
| Державної власності | 486 | 390 | 340 | 320 | 295 |
| Приватної власності | 84 | 126 | 180 | 210 | 248 |
| Змішаної власності | 120 | 158 | 164 | 186 | 198 |
Розв’язання:
1) Темп зростання показує, в скільки разів один рівень ряду більший за інший:
ланцюговий темп зростання K
=
,
а) кількість зайнятих на підприємствах державної власності за: 1997 – 1998 рр. кількість скоротилось на 20 %. (K
= 390/486 = 0,80 ); за 1998 – 1999 рр. скоротилось на 13 % (K
= 340/390 = 0,87); за 1999 – 2000 рр. скоротилось на 6 % (K
= 320/340 = 0,94); за 2000 – 2001 рр. скоротилось на 8 % (K
= 295/320 = 0,92).
б) кількість зайнятих на підприємствах приватної власності за 1997 – 1998 рр. збільшилось в 1,5 рази (K
= 126/84 = 1,5); за 1998 – 1999 рр. збільшилось в 1,4 рази (K
= 180/126 = 1,4); за 1999 – 2000 рр. збільшилось в 1,17 рази (K
= 210/180 = 1,17); за 2000 – 2001 рр. збільшилось в 1,18 р. (K
= 248/210 = 1,18)
в) кількість зайнятих на підприємствах змішаної власності за 1997 – 1998 рр. збільшилось в 1,32 рази (K
= 158/120 = 1,32); за 1998 – 1999 рр. збільшилось в 1,038 рази (K
= 164/158 = 1,038); за 1999 – 2000 збільшилось в 1,13 разів (K
= 186/164 = 1,13); за 2000 – 2001 рр. збільшилось в 1,06 разів (K
= 198/186 = 1,06).
базовий темп зростання K
=
:
а) кількість зайнятих на підприємствах державної власності за: 1997 – 2001 - за весь період (K
= 486 / 295 = 1,65) – скоротилась в 1,65 разів.
б) кількість зайнятих на підприємствах приватної власності за 1997 – 2001 рр. - за весь період (K
= 248 / 84= 2,95) збільшилось в 2,95 рази.
в) кількість зайнятих на підприємствах змішаної власності за 1997 – 2001 рр – за весь період (K
= 198 / 120= 1,65) збільшилось в 1,65 рази.
2) Якщо в динамічному ряду спостерігаються періодичні коливання, то треба брати такий збільшений інтервал, який дорівнює періоду коливання. Такий інтервал згладжує випадкові коливання, але не відображує зміни рівнів всередині збільшеного інтервалу.
Виявляють тенденцію і кількісно вимірюють її методом аналітичного вирівнювання. При цьому застосовують «трендові криві» — математичні функції, за допомогою яких описується основна тенденція. Тип функцій залежить від специфіки процесу, характеру його динаміки: рівномірне, прискорене чи уповільнене збільшення або зменшення рівнів ряду.
На практиці перевагу віддають функціям, параметри яких мають чіткий економічний зміст і виявляють абсолютну чи відносну швидкість розвитку.
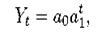
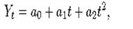
1.Лінійна функція
![]()
де aо — рівень ряду при t =0; a1 — стабільна абсолютна швидкість; t— порядковий номер періоду.
2. Парабола другого порядку
![]()
де а1 — початкова абсолютна швидкість; a2 — стале абсолютне прискорення.
3.Показникова функція
![]()
де a 1 — стабільний коефіцієнт зростання.
В нашому випадку має бути використана лінійна функція для виявлення тенденції.
Тому прогнозні значення на 2002 та 2003 роки становитимуть:
1) Зайняті на підприємствах державної власності (спостерігається тенденція спаду):
за 2002 рік: ![]()
за 2003 рік: ![]()
2) Зайняті на підприємствах приватної власності (спостерігається тенденція зростання):
за 2002 рік: ![]()
за 2003 рік: ![]()
3) Зайняті на підприємствах змішаної власності (спостерігається тенденція зростання):
за 2002 рік: ![]()
за 2003 рік: ![]()
Перелік посилань
1. Бараник З.П. Статистика праці: Навч. посібник. — К.: КНЕУ, 2003. — 246 с.
2. Економіка праці Завіновська Г.Т. Економіка праці: Навч. посібник. — К.: КНЕУ, 2003. — 300 с.
3. Статистика : Підруч. / С.С. Герасименко, А.В. Головач та ін. - К.:КНЕУ,2000.
4. Статистика: Учеб. пособие / Под ред. М.Р. Ефимовой М.Р. Москва ИНФРА-М. - 2000.
5. Статистика підприємництва / За ред. П.Г. Вашківа. - К.: Нац. банк України, 1999.
6. Статистика. Методичні рекомендації до проведення практичних занять та самостійної роботи студентів. - К.: КДТЕУ, 1997.
Похожие работы
-
Суть значення та особливості статистичних методів дослідження оплати праці в перехідній економі
Суть, значення та особливості статистичних методів дослідження оплати праці в перехідній економіці В умовах переходу до ринкової економіки на підприємствах з різними формами власності набувають розвитку такі системи оплати праці, як безтарифна, пайова, контрактова тощо. В статистиці ці форми та системи використовуються для визначення структури фонду оплати праці, яка дозволяє охарактеризувати ступінь розповсюдження кожної з них як у статиці, так і в динаміці.
-
Підвищення продуктивності праці
має для торговельної галузі важливе економічне значення. Воно ефективно впливає на багато показників: товарооборот, витрати обігу, фонду заборгованості плати, прибутку.
-
Заробітна плата і її вплив на формування ринку праці в сучасних умовах
Заробітна плата і її вплив на формування ринку праці в сучасних умовах. Механізм функціонування ринку праці включає взаємодію продавців трудових послуг і покупців. Попит на працівників визначається попитом на продукцію, яку вони виробляють, і заробітною платою. Пропозиція праці також залежить від рівня заробітної плати.
-
Сучасні тенденції оплати праці працівників зайнятих в торгівельній сфері України
Вступ Заробітна плата в сучасних ринкових умовах Сучасні тенденції оплати праці працівників, зайнятих в торгівельній сфері України Висновки Список використаних джерел
-
Статистика оплати праці
Оплата праці та її статистика. Визначення розміру абсолютної і відносної економії (перевитрати) при умові, що для підприємства корегуючий (банківський) коефіцієнт встановлений у певному розмірі. Методи розрахунку та детальне описання формул їх розрахунку.
-
Аналіз використання трудових ресурсів, оплати і продуктивності праці
Поняття ефективного використання робочого часу, аналіз складу і структури працюючих на підприємстві, суть плинності кадрів. Показники продуктивності праці, основний зміст аналізу витрат коштів на оплату роботи. Характеристика умов праці коллективу.
-
Організація оплати праці на підприємстві
Экономіка праці Реферат на тему: Організація оплати праці на підприємстві Зміст 1. Сутність заробітної плати 3 2. Склад фонду заробітної плати 4 3. Форми та системи оплати праці 6
-
Форми і системи оплати праці 3
Форми і системи оплати праці. Організація оплати праці на підприємствах здійснюється на основі розподілу функцій і робіт, нормування, тарифної системи, форм і систем оплати праці.
-
Формування заробітної плати в умовах перехідної економіки України
2.2. Формування заробітної плати в умовах перехідної економіки України Заробітна плата як винагорода, обчислена у грошовому виразі, яку за трудовим договором роботодавець виплачує працівникові за виконану ним роботу, складається з таких частин: основна заробітна плата, додаткова заробітна плата, інші заохочувальні та компенсаційні виплати.
-
Структура заробітної плати Елементи організації оплати праці
Заробітна плата як винагорода, обчислена у грошовому виразі, яку за трудовим договором роботодавець виплачує працівникові за виконану ним роботу, складається з таких частин: основна заробітна плата, додаткова заробітна плата, інші заохочувальні та компенсаційні виплати.