Referat.me

Название: Оценка жилой недвижимости

Вид работы: дипломная работа

Рубрика: Экономика

Размер файла: 215.93 Kb

Скачать файл: referat.me-385650.docx

Краткое описание работы: Классификация и принципы оценки недвижимости. Виды стоимости недвижимости и факторы, влияющие на нее. Оценка двухкомнатной квартиры, расположенной в г. Новосибирске доходным, затратным и сравнительным методом. Пути улучшения методов оценки недвижимости.

Оценка жилой недвижимости

СОДЕРЖАНИЕ

Введение

Глава 1. Теоретические основы оценки стоимости недвижимости

1.1 Необходимость независимой оценки жилья

1.2 Классификация объектов недвижимости

1.3 Виды стоимости объектов недвижимости

1.4 Основные принципы оценки объектов недвижимости

1.5 Факторы, влияющие на стоимость недвижимости

Глава 2. Оценка объекта жилой недвижимости

2.1 Описание объекта недвижимости

2.2 Оценка жилой недвижимости доходным подходом

2.3 Оценка жилой недвижимости методом сравнения продаж аналогов

2.4 Оценка объекта недвижимости затратным подходом

2.5 Согласование результатов оценки недвижимости

Глава 3. Предложения по улучшению методов оценки недвижимости

Заключение

Список использованной литературы и источников

Приложение

ВВЕДЕНИЕ

Среди элементов рыночной экономики особое место занимает недвижимость, которая выступает в качестве средств производства ( земля, административные, производственные, складские, торговые и прочие здания и помещения, а также другие сооружения) и предмета или объекта потребления ( земельные участки, жилые дома, дачи, квартиры, гаражи).

Недвижимость выступает основой личного существования для граждан и служит базой для хозяйственной деятельности и развития предприятий и организаций всех форм собственности. В России происходит активное формирование и развитие рынка недвижимости и все большее число граждан, предприятий и организаций участвует в операциях с недвижимостью.

Благодаря конструктивному взаимодействию между государством и оценщиками, процесс оценки имущества в последние годы стал гораздо более цивилизованным по сравнению с теми временами, когда независимая оценка в России только зарождалась. Сегодня деятельность оценщиков регламентируется соответствующим федеральным законом и стандартами в области оценки.

Цель дипломной работы – разработка предложений по улучшению методов оценки жилой недвижимости.

Для достижения поставленной цели необходимо решить следующие задачи:

- описать сущность оценки жилья;

- охарактеризовать методологические подходы к оценке недвижимости;

- оценить жилую недвижимость затратным, сравнительным и доходным подходом;

- провести сравнительный анализ результатов оценки;

- разработать предложения по улучшению методики оценки жилой недвижимости.

Объект исследования в дипломной работе – оценка жилой недвижимости, а предмет исследования – методы и подходы к оценке жилой недвижимости.

Методологической основой проведённого в дипломной работе исследования являются научные труды отечественных и зарубежных авторов в области оценки недвижимости С.В.Грибовского, Е.И.Тарасевич, М.А.Федотовой, Д.Фридмана.

В первой главе дипломной работы «Методическое положение по оценки стоимости объектов недвижимости» раскрыты виды стоимости объектов недвижимости, их классификация. Рассмотрены факторы, влияющие на стоимость объектов недвижимости, а так же основные принципы оценки недвижимости.

Во второй главе «Оценка жилой недвижимости» представлены результаты оценки объекта недвижимости – двухкомнатной квартиры, расположенной в Заельцовском районе г. Новосибирска, - доходным и сравнительным подходом, а также результаты расчета ликвидационной стоимости объекта недвижимости.

В третьей главе «Предложения по улучшению методов оценки жилой недвижимости» представлены основные направления совершенствования существующих подходов к оценке жилой недвижимости.


Глава 1. ТЕОРИТИЧЕСКИЕ ОСНОВЫ ОЦЕНКИ СТОИМОСТИ НЕДВИЖИМОСТИ

1.1 Необходимость независимой оценки жилья

Оценка - наука прикладного экономического анализа, основная задача которой состоит в установлении наиболее вероятной цены продажи или покупку актива (товара) на основе анализа динамики сил спроса и предложения на этот актив на соответствующем рынке. С формальной точки зрения наиболее вероятная цена устанавливается на основе моделирования некоторого множества факторов спроса и множества факторов предложения [5, с. 21].

В настоящее время деятельность по оценке недвижимости регламентируется Федеральным Законом "Об оценочной деятельности в Российской Федерации" от 06.08.98 № 135 – ФЗ [3].

Активному развитию оценки недвижимости в нашей стране способствует сложившаяся ситуация на рынке недвижимости.

Рынок недвижимости в настоящее время - один из самых динамичных рынков нашей страны, один из самых привлекательных объектов инвестирования. Очень важное значение он приобретает именно сейчас, когда ситуация в мире очень не стабильна: специалисты не могут дать точных прогнозов о ценах на нефть, прогнозируют снижение курса доллара, - недвижимость остаётся практически единственным гарантом сохранности сбережений.

Основные направления развития российской оценки можно определить исходя из перечня операций, при которых необходимо осуществлять оценку объектов недвижимости. Следует отметить, что этот перечень постоянно расширяется.

Объективная оценка различных видов стоимости (рыночной, инвестиционной, залоговой, страховой, налогооблагаемой и других) недвижимого имущества необходима:

• при операциях купли-продажи или сдачи в аренду;

• при акционировании предприятий и перераспределении имущественных долей;

• для привлечения новых пайщиков и дополнительной эмиссии акций;

• при кадастровой оценке для целей налогообложения объектов недвижимости: зданий и земельных участков;

• для страхования объектов недвижимости;

• при кредитовании под залог объектов недвижимости;

• при внесении объектов недвижимости в качестве вклада в уставный капитал предприятий и организаций;

• при разработке инвестиционных проектов и привлечения инвесторов, в том числе и зарубежных;

• при ликвидации объектов недвижимости;

• при исполнении прав наследования, судебного приговора;

• при других операциях, связанных с реализацией имущественных прав на объекты недвижимости [12, с. 96].

Существует три основных подхода к оценке недвижимости:

- затратный метод: оценивается стоимость полного воспроизводства или стоимость полного замещения оцениваемой собственности, затем вычитается сумма оценённого износа зданий и сооружений и добавляется стоимость участка земли как свободного. Этот подход может быть необходим, когда оценка объекта в целях поимущественного налогообложения или поимущественного ареста требует отделения стоимости зданий и сооружений от стоимости земли. Он также применяется в целях подоходного налогообложения и бухгалтерского учёта: износ зданий и сооружений вычитается из налогооблагаемого дохода. Другие ситуации для применения:

- технико-экономический анализ для нового строительства,

- определение варианта наилучшего и наиболее эффективного использования земли,

- обновление,

- итоговое согласование стоимости,

- здания институционального и специального назначения,

- цели страхования [13, с. 15 - 19].

- метод рыночных сравнений: оценка рыночной стоимости собственности исходя из данных о недавних сделках с аналогичными объектами. Предполагается, что рациональный инвестор или покупатель не заплатит за конкретную собственность больше, чем обойдётся приобретение другой сходной собственности, обладающей такой же полезностью [13, с. 20].

- доходный метод: стоимость собственности определяется величиной, качеством и продолжительностью периода получения тех выгод, которые данный объект, как ожидается, будет приносить в будущем [13, с. 21].

В России в последние годы был распространён затратный метод в оценке стоимости объектов. Причём его применение декларировалось Правительством при разработке программ переоценки имущества. Это привело к тому, что стоимость основных фондов, объектов недвижимости была очень занижена. Сейчас особую важность имеет процесс дооценки таких объектов, что можно сделать, опираясь на рыночный способ оценки [15].

На сегодняшний день число оценочных организаций на российском рынке значительно. По состоянию на конец 2004 г. больше 9000 компаний и ПБОЮЛ в России имеют государственные лицензии на осуществление оценочной деятельности. Сейчас рынок регулируется Минэкономразвития, но с 1 января 2006 г. осуществляется переход к саморегулированию.

На современном этапе рынок оценки характеризуется усилением конкуренции, повышением качества, снижением стоимости услуг. В частности, неизменно увеличивается спрос на оценку в целях отражения активов в финансовой отчетности в соответствии с IAS, US GAAP или российскими стандартами бухгалтерского учета; оценку стоимости нематериальных активов для определения эффективности маркетинговых и брэндстратегий; оценку в целях совершения сделок купли-продажи, аренды активов, М&А и других операций по переходу прав собственности и иных вещных прав; оценку в целях страхования, дополнительной эмиссии акций или выкуп акций при приватизации государственных предприятий; оценку в целях кредитования под залог имущества и пр. [24].

По результатам исследования рейтингового агентства «Эксперт РА», наиболее востребованными за последние полтора года были услуги по оценке недвижимости и бизнеса в целом. На долю этих направлений в общей структуре рынка пришлось 34,3 и 32,1% соответственно.

1.2 Классификация объектов недвижимости

Оценка недвижимой собственности представляет интерес в первую очередь для объектов, активно обращающихся на рынке как самостоятельный товар. В настоящее время м России это квартиры и комнаты, офисные помещения и здания под офисы, пригородные жилые дома с земельными участками, свободные земельные участки под застройку и (или) для других целей. К объектам недвижимости относятся также месторождения полезных ископаемых, российский рынок которых еще не сформировался. Ниже рассмотрим общие принципы классификации объектов недвижимости.

Первая категория объектов недвижимости. Термин «объект недвижимости» в нашем случае относится к любому товару, который жестко связан с участком земли, его перенос в другое место невозможен без разрушения и утраты потребительской стоимости. Предлагаемая формулировка имеет целью способствовать дифференцированному подходу к оценке различных категорий объектов недвижимости с учетом их наиболее существенных признаков, особенностей товарооборота, структуры и масштабов рынков, в рамках которых происходят процессы купли-продажи недвижимой собственности. Поскольку на оценку объекта недвижимости влияют разнообразные условия и их сочетания, для проведения классификации (группировки) использован метод «дерева признаков». Такая классификация (группировка) является многоуровневой. На каждом уровне она проводится по своему основанию с возможными их различиями на одном уровне, но по разным «ветвям». При этом глубина (количество уровней) классификации больше по тем ветвям, на которых расположены более представительные (с точки зрения их оценки) объекты.

Каждый уровень имеет свое наименование и набор рекомендуемых значений соответствующего признака классификации.

1. Происхождение.

2. Назначение.

3. Масштаб.

3.1 Земельные массивы.

3.2. Отдельные земельные участки.

3.3. Комплексы зданий и сооружений (дачный поселок, микрорайон, гостиница, санаторий и т.д.)

3.3.1. Жилой дом многоквартирный.

3.3.2. Жилой дом одноквартирный (особняк, коттедж).

3.3.3. Секция (подъезд).

3.3.4. Этаж в секции.

3.3.5. Квартира.

3.3.6. Комната.

3.3.7. Летняя дача.

3.4. комплекс административных зданий.

3.4.1. Здание.

3.4.. Помещения или части зданий (секции, этажи).

4. Готовность к использованию.

4.1. Готовые.

4.2. Требующие реконструкции или капитального ремонта.

4.3. Требующие завершения строительства.

Поскольку в настоящее время рынок квартир – наиболее развитой сектор рынка недвижимости в России, имеет смыслом сосредоточить усилия на изучении именно этого сектора для разработки основных методических подходов по оценки стоимости объектов недвижимости.

На сформировавшемся западном рынке принята другая, отличающаяся от предложенной выше классификации объектов недвижимости по категориям А, Б и В.

Категория А. Недвижимость, используемая владельцем для ведения бизнеса.

Подразделяется на следующие классы:

1) Специализированная недвижимость, приспособленная для ведения определенного бизнеса и обычно продающаяся вместе с бизнесом.

Примеры: нефтеперегонные заводы, химические предприятия, цеха для размещения машин и оборудования; здания, которые из-за своего расположения, размера, конструкции никогда не продаются или не сдаются в аренду третьей стороне на рынке.

2) Неспециализированная недвижимость – обыкновенные здания – магазины, офисы, фабрики, склады, которые обычно продаются или сдаются в аренду.

Категория Б. Недвижимость для инвестиций. Данными видами недвижимой собственности владеют с целью получения дохода от аренды и (или) извлечения прибыли на вложенный капитал.

Категория В. Избыточная недвижимость – земля со зданиями или свободные участки, которые больше не нужны для ведения бизнеса сегодня или в будущем и поэтому объявляются избыточной недвижимостью.

Классификация объектов недвижимости по различным признакам (критериям) способствует более успешному исследованию рынка недвижимости и облегчает разработку и применение методов оценки стоимости различных категорий недвижимости. В процессе классификации выделяются отдельные группы недвижимости, что определяет возможность единообразных подходов к их оценки.

1.3 Виды стоимости объектов недвижимости

На начальной стадии оценки недвижимости перед экспертом-оценщиком всегда возникает сложная проблема выбора вида стоимости для проведения оценочных расчетов. Этот выбор зависит от многих факторов (характера объекта и функций оценки) и обусловливает последующий выбор метода оценки данного объекта недвижимости. Если оценка недвижимости имущества производится в целях получения ипотечного кредита (ссуды под залог недвижимости собственности), оценщику важно иметь достоверную информацию о наиболее вероятной цене продажи этой недвижимой собственности, если заемщик (владелец недвижимости) не вернет дол (кредит). При оценке недвижимости в целях налогообложения в западных странах используется рыночная или восстановительная стоимость объекта недвижимости, основанная на издержках воспроизводства последнего. При оценке объектов, подлежащих реконструкции, как правило, выбирается инвестиционная стоимость, т.е. стоимость недвижимости для конкретного инвестора.

При оценке зданий специального назначения, объектов недвижимости в «пассивных» секторах рынка недвижимости, когда для определения рыночной стоимости нет достаточной информации, а также при оценке в целях страхования недвижимого имущества используется восстановительная стоимость или стоимость замещения.

Рыночная стоимость

В рыночных условиях хозяйствования наиболее распространенным видом стоимости объектов недвижимости является рыночная стоимость. Рыночная стоимость – это наиболее вероятная цена, которую должна достигать собственность на конкурентном и открытом рынке с соблюдением всех условий справедливой торговли, сознательных действий продавца и покупателя, без воздействия незаконных стимулов.

Подразумевается, что при сделке купли-продажи передача прав от продавца к покупателю производится при соблюдении следующих условий.

1. Мотивация покупателя и продавца имеют типичный характер, т.е. они действуют, не испытывая незаконного давления или чрезвычайных жизненных обстоятельств.

2. Обе стороны хорошо проинформированы, проконсультированы и действуют, по их мнению, с учетом своих максимальных интересов.

3. Имущество было выставлено на продажу на рынке достаточное количество времени (достаточное для того, чтобы с информацией о продаже недвижимости ознакомились потенциальные покупатели и приняли решение о покупке объекта).

4. Оплата произведена на условиях финансирования сделки.

5. Цена является нормальной, не затронутой специфическими условиями финансирования и продажи.

Рыночную стоимость недвижимости иначе называют стоимостью при обмене – в отличие от стоимости в использовании (или потребительской стоимости), которая отражает ценность объекта для конкретного собственника.

Концепция рыночной стоимости основывается на том, что типичный покупатель на рынке недвижимости имеет возможность выбрать альтернативные объекты недвижимости. Рыночная стоимость является объективной, независимой от желаний отдельных участников рынка недвижимости и отражает реальные экономические условия, складывающиеся на этом рынке.

Стоимость в использовании (потребительская стоимость)

Стоимость в использовании (потребительская стоимость) отражает ценность объекта недвижимости для конкретного собственника, который не собирается выставлять объект на рынок недвижимости. Оценка потребительской стоимости объекта производится исходя из существующего профиля его использования и тех финансово-экономических параметров, которые наблюдались в период предыстории функционирования объекта и прогнозируются в будущем.

Инвестиционная стоимость

Понятие «инвестиционная стоимость», сходное с понятием «стоимость в использовании», означает стоимость объекта недвижимости для конкретного инвестора, который собирается купить оцениваемый объект или вложить в него свои финансовые средства. Расчет инвестиционной стоимости производится исходя из ожидаемых данным инвестором доходов и конкретной ставки их капитализации. Инвестиционная стоимость рассчитывается обычно при оценке для конкретного инвестора инвестиционного проекта либо объекта, приносящего доход. Данный вид стоимости носит субъективный характер.

Восстановительная стоимость (стоимость воспроизводства объекта)

Восстановительная стоимость (стоимость воспроизводства объекта) определяется издержками в текущих ценах на строительство точной копии оцениваемого объекта, в его «новом» состоянии (без учета износа), с использованием таких же архитектурных решений, строительных конструкций и материалов, а также с тем же качеством строительно-монтажных работ. В данном случае воспроизводится тот же моральный износ объекта и те же недостатки в архитектурных решениях, которые имелись у оцениваемого объекта.

Стоимость замещения

Стоимость замещения определяется расходами в текущих ценах на строительство объекта, имеющего с оцениваемым эквивалентную полезность, но построенного в новом архитектурном стиле, с использованием современных проектных нормативов и прогрессивных материалов и конструкций, а также современного оборудования объекта недвижимости. Таким образом, восстановительная стоимость выражается издержками на воспроизводство точной копии объекта, а стоимость замещения – издержками на создание объекта функционального аналога.

Страховая стоимость

Страховая стоимость рассчитывается на основе либо восстановительной стоимости, либо стоимости замещения объекта, который подвержен риску уничтожения (или разрушения). На базе страховой стоимости объекта определяются страховые суммы, страховые выплаты и страховые проценты.

Стоимость для целей налогообложения (налогооблагаемая стоимость)

Стоимость для целей налогообложения имущества юридических и физических лиц определяется аккредитованными при налоговых инспекциях экспертами-оценщиками на основе либо рыночной стоимости, либо восстановительной стоимости объекта недвижимости, либо оценка производится формально по нормативной методике без привлечения экспертов-оценщиков.

Ликвидационная стоимость

Ликвидационная стоимость представляет собой чистую денежную сумму, которую собственник объекта может получить при ликвидации объекта недвижимости.

1.4 Основные принципы оценки объектов недвижимости

Принципы оценки объектов недвижимости могут быть объединены в следующие четыре группы:

- принципы, основанные на представлениях пользования;

- принципы, связанные с объектами недвижимости (земля, здания, сооружения);

- принципы, связанные с рыночной средой;

- принцип наилучшего и наиболее эффективного использования объекта недвижимости.

Все рассматриваемые принципы оценки недвижимости связаны между собой. Оценивая объект недвижимости, необходимо по возможности учитывать все или основные принципы оценки, чтобы получить более достоверную и точную оценку стоимости объекта недвижимости.

Принципы пользователя

К принципам, основанным на представлениях пользователя, относятся принципы полезности, замещения и ожидания.

Принцип полезности заключается в том, что всякий объект недвижимости обладает стоимостью только в том случае, если он полезен какому-нибудь инвестору и может быть использован для реализации определенных функций или личных потребностей, например использование недвижимости в качестве гостиницы, кафе, офиса, музея и т.д. Полезность – это способность объекта недвижимости удовлетворять потребности пользователя в данном месте и в течение данного периода времени.

Принцип замещения гласит: рациональный (типичный) покупатель не заплатит за объект недвижимости больше минимальной цены, взимаемой за другой аналогичный объект такой же полезности. Максимальная стоимость оцениваемого объекта определяется наименьшей стоимостью, по которой может быть приобретен другой аналогичный объект с эквивалентной полезностью.

Принцип ожидания связан с представлением пользователя объекта недвижимости и гласит: стоимость объекта, приносящего доход, определяется величиной денежного потока, ожидаемого от использования оцениваемого объекта, а также суммой, ожидаемой от его перепродажи. Важное значение имеет, за какой период времени будет получен ожидаемый доход, так как рубль инвестора сегодня стоит больше, чем рубль, который будет получен завтра.

Принципы, связанные с требованиями к земельному участку, зданиям и сооружениям, которые на нем находятся

К этой группе относятся следующие принципы:

- остаточной продуктивности (производительности) земли;

- предельной продуктивности (принцип вклада);

- сбалансированности (принцип пропорциональности);

- оптимальных величин;

- оптимального разделения имущественных прав.

Принцип остаточной продуктивности земли.

Принцип остаточной продуктивности (или производительности) гласит: в основе стоимости земли лежит ее остаточная продуктивность (производительность). Чтобы понять это положение, необходимо признать, что любой вид деятельности, как правило, требует наличие четырех составляющих производства: капитала, труда, управления и земли.

Земля – это земельный участок и находящиеся на нем природные ресурсы – замкнутые водоемы, животный мир, растительность и минералы. Территориальные границы земельного участка определяются в порядке, установленном действующим земельным законодательством, и оформляется свидетельством, выдаваемым собственнику (или арендатору) государственными органами по землеустройству. Земля – основной фактор, обеспечивающий пространство и ресурсы, необходимые при любом виде производственной деятельности.

Труд представляет собой совокупность работ по производству товара (услуги) и реализации его на рыке. В данное понятие не входит управленческая деятельность.

Капитал – это денежные средства, вкладываемые в воспроизводство основных фондов и оборотных средств, а также в другие составляющие производства – труд, землю и управление.

Управление производственной деятельностью включает в себя знание, умения, предпринимательские способности и талант управленческого персонала предприятия. Успешное управление позволяет оптимизировать производство и получать максимальную прибыль.

Каждая составляющая производства (капитал, труд, управление и земля) должна быть покрыта из доходов от предпринимательской деятельности. Однако поскольку земля физически недвижима, а другие составляющие привлекаются к ней для осуществления предпринимательской деятельности, в первую очередь оплачивается труд, капитал и управление, а остаток дохода выплачивается владельцу земли как рента. Подобное суждение согласуется с основными положениями экономической теории – земля имеет «остаточную стоимость» и определенную ценность только тогда, когда имеется остаток дохода после покрытия трех других составляющих производства. Таким образом, остаточная продуктивность выражается доходом, приходящимся на землю, после оплаты затрат на труд, капитал и управление.

Принцип предельной продуктивности (принцип вклада).

Принцип предельной продуктивности (или производительности) или принцип вклада означает, что в результате инвестиций дожжен быть получен доход, остающийся после покрытия издержек. Применительно к рынку недвижимости этот принцип можно интерпретировать следующим образом. Нередко затраты на ремонт квартиры позволяют увеличить ее стоимость, причем в размерах, значительно превышающих затраты на ее ремонт. В этом случае реализуется принцип предельной продуктивности или принцип вклада. Размер вклада соответствует разнице между ценой, полученной в результате ремонта квартиры, и затратами на этот ремонт.

Принцип возрастающей и уменьшающейся доходности.

Суть данного принципа состоит в том, что увеличение капиталовложений в основные составляющие производства обуславливает увеличение темпов роста прибыли лишь до определенного предела, после которого прирост прибыли становится меньше, чем прирост капиталовложений. Данный предел соответствует максимальной стоимости объекта недвижимости. Любые последующие капиталовложения в недвижимость не дадут пропорционального увеличения прибыли, следовательно, и пропорционального увеличения стоимости объекта недвижимости.

Поэтому эксперт-оценщик должен предварительно проанализировать различные варианты использования земельного участка. Например, выполнить расчеты получения прибыли от строительства различных типов объектов недвижимости или различного количества объектов на данном земельном участке. Только после этого он сможет сделать окончательный выбор типа объекта недвижимости для строительства на этом участке. В процессе вариантного проектирования различных сочетаний составляющих производства и определения на этой основе максимальной прибыли реализуется принцип возрастающей и уменьшающийся доходности.

Принцип сбалансированности.

Принцип сбалансированности (или принцип пропорциональности) формулируется следующим образом: составляющие производства (либо объекта недвижимости) должны сочетаться между собой в определенной пропорции. Если объемы капитальных вложений превосходят объемы работ в данный период времени, например на строительстве объекта, то происходит «замораживание капитала» и снижение общей эффективности проекта. Аналогичная ситуация возможна, когда в данный момент времени денежных средств недостаточно для строительства объекта недвижимости, что хорошо известно инвесторам нового строительства. В связи с этим нормативными документами в составе проектной документации на строительство объекта предусматривается разработка календарных графиков строительства объекта, чтобы получить максимально возможный эффект от реализации проекта.

Принцип оптимальных величин.

Принцип оптимальных величин (принцип оптимальной экономической величины), при сложившихся на рынке недвижимости тенденциях большим спросом пользуется определенная (оптимальная) величина объекта недвижимости данного типа. Эксперт-оценщик всегда должен помнить о принципе оптимальных величин и использовать его при оценке недвижимости данного типа.

Принцип оптимального разделения имущественных прав.

Имущественные права на объект недвижимости следует разделять и соединять таким образом, чтобы увеличить общую стоимость объекта недвижимости. Действующее законодательство РФ позволяет разделять и продавать по отдельности имущественные права. Право собственности подразумевает права владения, пользования и распоряжения имуществом. Кроме права собственности имущественными правами является право пожизненного наследуемого владения, право постоянного (бессрочного) имущественного пользования, право хозяйственного владения и право оперативного управления, а также различного рода сервитуты – право ограниченного пользования объектом недвижимости. Причем переход права собственности на имущество к другому лицу не является основанием для прекращения иных имущественных прав, например прав аренды на это имущество.

Разделение имущественных прав на объект недвижимости может осуществляться следующим образом:

1. Физическое разделение – это разделение объекта недвижимости на части: подвал, этажи и т.д. Для земельного участка – разделение прав на воздушное пространство, на поверхность земли и на ее недра, разделение земельного массива на отдельные участки.

2. Разделение по времени владения – это различные виды аренды, пожизненное владение, будущие имущественные права и т.д.

3. Разделение совокупности имущественных прав собственности – права владения, срочного или бессрочного пользования, распоряжения, пожизненного (наследуемого) владения, хозяйственного ведения, оперативного управления и право ограниченного использования объекта недвижимости.

4. Разделение имущественных прав среди участников – совместная аренда, товарищество, акционерные общества, опционы, трасты, контракты с оговоренными условиями продажи.

5. Разделения по залоговым правам – закладные, налоговые залоги, судебные залоги, участие в капитале.

Использование в практике имущественных отношений перечисленных выше типов разделений совокупности имущественных прав и их оптимальное соединение позволяет увеличить стоимость объектов недвижимости.

Принципы, связанные с рыночной средой

К данной группе принципов относятся принципы зависимости, соответствия, спроса и предложения, конкуренции и принцип изменения.

Принцип зависимости

Принцип зависимости (или принцип внешнего воздействия) гласит: различные факторы внешней среды оказывают влияние на стоимость объекта недвижимости. Эти факторы – в зависимости от степени их влияния на тот или иной объект – подразделяются на основные и дополнительные; в зависимости от сферы влияния – на климатические, геологические, региональные, социальные, экономические, экологические, демографические, юридические, международные, градостроительные, отраслевые и технические. В свою очередь экономические факторы могут быть также дифференцированы по различным критериям: финансовым, нормативным и другим. Эксперту-оценщику необходимо помнить, что во всех случаях местоположение – основной фактор, влияющий на стоимость объекта недвижимости, и с него следует начинать анализ стоимости объектов недвижимости. К основным факторам относится также близость объекта недвижимости к развитой инфраструктуре (связь с рынком пользователя): дорогам, торговым и культурным центрам и пр., т.е. оценщику необходимо установить, как потоки доходов связаны с рынком пользователя. Два этих фактора – местоположение объекта и связь его с рынком пользователя – в совокупности составляет понятие «экономическое местоположение недвижимости. Этот суммарный фактор оказывает наибольшее влияние на стоимость объекта недвижимости. Эксперт-оценщик должен выявить и измерить влияние факторов внешней среды на:

- стоимость оцениваемого объекта недвижимости и сделать соответствующие корректировки этой стоимости, используя метод сравнительного анализа продаж;

- величину денежного потока, используя доходный подход;

- уровень затрат при определении восстановительной стоимости или стоимости замещения, используя затратный подход.

Принцип соответствия.

Принцип соответствия гласит: объект недвижимости, не соответствующий существующим в настоящее время рыночным стандартам, имеет меньшую стоимость. Эксперт-оценщик должен не только знать стандарты соответствия для данного рынка недвижимости, но и следить за тенденциями их развития, чтобы предвидеть будущую стоимость оцениваемого объекта недвижимости.

Принцип спроса и предложения.

Спрос на объект недвижимости – это реальная потребность на них. Предложение – это количество объектов, имеющихся на рынке недвижимости и ограниченность его предложения.

Суть принципа спроса и предложения заключается в выявлении взаимосвязи между потребностью в объекте недвижимости и ограниченностью его предложения.

Спрос на объект недвижимости обусловлен его полезностью (способность удовлетворять потребности пользователя) и доступность, но ограничен платежеспособностью потенциальных потребителей. Чем ниже спрос и выше предложение, тем ниже стоимость объекта. И наоборот, если на рынке недвижимости спрос и предложение уравновешены, рыночная стоимость объекта стабилизируется.

Экспертам-оценщикам следует помнить, что, как правило, спрос на объекты недвижимости более подвержен колебаниям, чем предложение, так как резкое изменение денежной массы (например, в результате банкротства финансовых компаний) и эмоциональных настроений в момент сделки с недвижимостью и пр. происходят в более короткие временные промежутки, чем строительство объектов недвижимости, в результате которого создается дополнительное предложение на рынке. Знание такой способности в соотношении спроса и предложения позволяет эксперту-оценщику точнее прогнозировать стоимость объекта недвижимости.

Для жилых помещений соотношение спроса и предложения зависит от демографического состава населения, уровня цен на объекты недвижимости и потребительские товары, интенсивности рекламной кампании, новых законодательных актов и нормативных документов, стоимости кредитов, налогообложения имущества и других факторов.

Эксперт-оценщик должен прогнозировать соотношения спроса и предложения по оцениваемому объекту недвижимости, определить степень влияния данного соотношения и всех перечисленных выше факторов на стоимость недвижимого имущества.

Принцип конкуренции.

Конкуренция – это соперничество, состязание в каком-либо виде деятельности. Все люди по своей природе подвержены соперничеству. Конкуренция или соперничество резко возрастает, когда речь идет о сверх прибылях в каком-то виде деятельности. Рынок недвижимости в этом отношении не является исключением. Если на рынке недвижимости извлекаются сверхприбыли (это прибыль, значительно превышающая обычно складывающийся уровень прибыли в данном секторе рынка), предприниматели стремятся попасть на этот рынок. Обострение конкуренции приводит к росту предложения на рынке. Если спрос не возрастает, цены на объекты недвижимости в этом случае снижаются, и уменьшается прибыль предпринимателей. И, наоборот, при ослаблении конкуренции предложение уменьшается и, если спрос не уменьшается, растут цены на объекты недвижимости и прибыли предпринимателей.

Разумная конкуренция стимулирует повышение качества объектов и услуг на рынке недвижимости, тогда как избыточная конкуренция приводит к снижению прибыли.

В отсутствие конкуренции на рынке недвижимости (а это происходит при монопольной конкуренции) рыночная стоимость объекта не может быть определена, поскольку рыночная стоимость складывается только на конкурентном рынке.

Принцип изменения.

Изменению подвержены как сам объект недвижимости (например, физическому износу), так и все факторы внешней среды, влияющие на стоимость объекта.

Наиболее характерными типами изменений является так называемые циклы жизни. Эти изменения касаются и самих объектов недвижимости, а также районов (городов), отраслей, общества в целом.

Различаются следующие основные циклы жизни.

1. Зарождение (проектирование, строительство объекта, формирование отрасли, района и т.д.).

2. Рост (период роста доходов от функционирования объекта недвижимости, быстрое развитие района (города), отрасли и т.д.).

3. Стабильность, период равновесия (стабильные доходы, сформировавшиеся вкусы потребителей объектов недвижимости, сформировавшаяся инфраструктура района и т.д.).

4. Упадок (период уменьшения спроса на недвижимость, уменьшение прибыли, спад производства в отрасли и т.д.).

С учетом жизненных циклов эксперт-оценщик должен анализировать и прогнозировать законотворческие, демографические, международные, научно-технические, градостроительные и социальные процессы, а также реакцию на них рынка недвижимости.

Принцип наилучшего и наиболее эффективного использования

Принцип наилучшего и наиболее эффективного использования формулируется следующим образом: это разумное и возможное использование его, обеспечивающее самую высокую текущую стоимость объекта на эффективную дату оценки.

Известно и другое определение данного принципа: это такой вариант использования объекта недвижимости, выбранный среди разумных и возможных, который приводит к наивысшей стоимости земли. Такое определение принципа обычно относится к оценке зданий и сооружений со значительным износом, а также и оценке свободных земельных участков.

Если определяется стоимость здания (сооружения), то при оценке этого вида недвижимости следует ориентироваться на первое определение принципа наилучшего и наиболее эффективного использования. В этом случае при выборе возможных вариантов использования данного объекта можно исключить вариант, принятый на момент оценки, поскольку такое использование недвижимой собственности ограничивается временным отрезком до тех пор, пока стоимость земельного участка при его наилучшем и самом эффективном использование не превысит стоимость всего имущественного комплекса (земли и здания) в совокупности с издержками на снос здания.

Данный принцип является базовым (основным) для реализации всех трех подходов к оценке, и его интерпретация имеет особое значение в каждом конкретном случае, так как влияет на выбор вида стоимости. При определении наиболее вероятной цены продажи объекта недвижимости (рыночной стоимости объекта) наиболее подходит следующая интерпретация данного принципа: «самое вероятное использование существующего объекта недвижимости», тогда как при определении инвестиционной стоимости акцент в интерпретации делается на «самое эффективное использование объекта недвижимости».

Анализ наилучшего и наиболее эффективного использования объекта недвижимости осуществляется в два этапа: на первом анализируется наилучшее и наиболее эффективное использование земельного участка, как если бы он был свободным, а на втором – наилучшее и наиболее эффективное использование здания (сооружения), которое находится на этом участке.

1.5 Факторы, влияющие на стоимость недвижимости

Как и в любых других механизмах ценообразования, стоимость недвижимой собственности зависит от набора объективных и субъективных факторов, из которых только последние, связаны с поведением конкретного продавца, покупателя и (или) посредника на стадии заключения сделки. К субъективным факторам относятся, например, темперамент, осведомленность, честность, терпеливость, личные симпатии и антипатии участников операции с недвижимостью и т.д. В рамках моего диплома эти факторы, относящиеся к области психологии, не рассматриваются, и главное внимание уделено объективным факторам и их влиянию на оценку объектов недвижимости.

Объективные факторы в основном являются экономическими, определяющими, в конечном счете, средний уровень цен конкретных сделок.

Экономические факторы подразделяются на макроэкономические и микроэкономические. К первым относятся факторы, связанные с общей конъюнктурой рынка: исходный уровень обеспеченности потребности в объектах недвижимости в регионе; объемы и структура нового строительства и реконструкции; факторы миграции; правовые и экономические условия сделок (налоги, пошлины и т.д.); уровень и динамика инфляции. К макроэкономическим относятся и долгосрочные факторы: различие в динамике цен на товары (услуги) и условий оплаты труда, влияющие на масштабы накопления денежных средств и величину отложенного спроса; темпы и масштабы формирования нового социального слоя «богатых людей», располагающих возможностями инвестирования средств в недвижимость; развитие системы иностранных представительств в регионе и т.д.

ГЛАВА 2. ОЦЕНКА ОБЪЕКТА ЖИЛОЙ НЕДВИЖИМОСТИ

2.1 Описание объекта недвижимости

Объектом оценки является отдельная квартира, состоящая из двух жилых комнат.

Целью оценки является определение стоимости указанного выше объекта недвижимости.

Под объектом недвижимости понимается собственно объект, являющийся недвижимой собственностью, и юридические права на него.

Акт осмотра объекта

Адрес объекта: Россия, г. Новосибирск, Красный проспект, 171 / 2, кв. 27. Владелец: Абраменко Н.И. Справки БТИ № 78965784. Квартира – приватизированная.

Объект расположен по линии метро (на правом берегу), транспортная сеть развита хорошо. До станции метро «Заельцовская» 10 мин. пешком. Рядом располагаются выставочный центр «Сибирская ярмарка», казино, ночной клуб, парикмахерская, спортивно-оздоровительный центр, дом культуры «Энергия», кинотеатр «Прогресс-Киномир», в 10 минутах ходьбы – «Ботанический сад».

Ближайший микрорынок расположен в 10 минутах ходьбы.

Анализ района расположения позволяет дать высокую оценку рынку рабочей силы, в районе, в котором расположен объект оценки. Близость к магазинам, учебным заведениям оценивается удовлетворительно. Качество коммунальных услуг, а также услуг по охране общественного порядка оценивается удовлетворительно.

Детский сад, поликлиника находятся в 5 минутах от дома, школы – достаточно удалены (15 – 20 минут).

Экологические условия плохие из-за близости заводов – Новосибирского электровакуумного завода, завода «Экран», завода им. Ленина, Новосибирского завода полупроводников.

Характеристика дома.

Материал стен – панельный. Общее количество этажей – 5. Высота этажей 2,2 м. Дом удален от проезжей части, расположен во дворах.

Год постройки – 1975 год. Общий вид здания – хороший.

Водоснабжение – центральное, отопление – центральное, вентиляция – естественная, энергоснабжение – центральное.

Информация о квартире:

Двухкомнатная квартира расположена на 2 этаже дома. Общая площадь квартиры – 42 кв. м, жилая площадь – 28 кв. м (одна комната – 18 кв.м, вторая – 10 кв. м). Площадь кухни составляет 6 кв. м, санузел занимает 3,5 кв.м. В квартире имеется балкон, проведен телефон. Ориентация окон – на запад. Общий вид квартиры – удовлетворительный.

Планировка квартиры и схема её расположения в подъезде представлена в приложении 1.

Таким образом, анализ местоположения и состояния объекта в первом приближении позволяют говорить о достаточно высокой стоимости объекта.

Оценка произведена в соответствии со следующими допущениями:

- специальная экспертиза инженерных сетей не проводилась;

- объект оценки не обладает какими-либо скрытыми дефектами, в том числе дефектами несущего каркаса здания, которые могли бы повлиять на его стоимость;

- объект недвижимости соответствует всем санитарным и экологическим нормам;

- при оценке использованы достоверные источники информации.

2.2 Оценка жилой недвижимости доходным подходом

Оценка недвижимости методом прямой капитализации

Для расчета ставки капитализации для целей оценки жилой недвижимости следует воспользоваться упрощенным методом Эльвуда [12, c. 244].

R= Υ - Арр * (SFS) = ЧОД / ТС, (1.1)

где R - ставка капитализации;

Υ - ставка дохода на собственный капитал;

Арр - возможное увеличение стоимости имущества за период;

SFS - фактор фондопогашения при ставке Υ для прогнозируемого периода владения;

ЧОД - чистый операционный доход;

ТС - текущая стоимость.

Чистый операционный доход может быть определен по следующей формуле:

ЧОД= ЭВД - ПР , (1.2)

где ЭВД - эффективный валовой доход, который определяется следующим образом:

ЭВД = ПВД - ПП + ДД, (1.3)

где ПВД - потенциальный валовой доход за 1 год при допущении, что объект арендован полностью,

ПП - предполагаемые потери от возможностей незанятости (3%),

ДД - другие доходы.

Υ - представляет собой реальный доход, который устраивает типичного инвестора.

Ставка фондопогашения определяется по следующей формуле:

SFS= i / (l+i)n-1 , (1.4)

где n - число периодов;

i - ставка дисконта (ставка дохода на собственный капитал).

Методом прямой капитализации определим стоимость двухкомнатной квартиры, приобретенной с целью получение дохода от аренды с последующей продажей.

Арендная плата — 12000 руб. / мес. Возможный простой - 3 % Эксплуатационные расходы - 1200 руб. /мес. Ставка дохода на собственный капитал - 15 %. Срок владения – 5 лет. Планируемый прирост стоимости — 40%.

Ставка фондопогашения в обозначенных условиях составит 0,086:

SFS = 0,15 / (1+ 0,15) 5-1 = 0,086.

Тогда ставка капитализации будет равна 0,1583:

R = 0,15 - 0,40 * 0,139 = 0,0944.

Эффективный валовой доход, рассчитанный по формуле (1.3) будет равен 139680 руб.:

ЭВД = 12000 * 12 - 12000 * 12 * 0,03 = 139680 руб.

Чистый операционный доход от владения объектом недвижимости в этих условиях составит 125280 руб.:

ЧОД = 139680 - 1200 * 12 = 125280 руб.

Текущая стоимость объекта недвижимости может быть определена по формуле:

ТС = ЧОД / R, (1.5)


где R - ставка капитализации;

ЧОД - чистый операционный доход от владения объектом недвижимости.

Так, текущая стоимость оцениваемой жилой недвижимости составит 1327118,6 руб.:

ТС = 125280 / 0,0944= 1327118,6 pyб.

На следующем этапе оценки определим стоимость объекта методом дисконтирования будущих доходов.

Дисконтирование будущих доходов - метод, используемый для оценки объектов доходной недвижимости как текущей стоимости, ожидаемых в будущем преимуществ от владения объектом.

Будущие преимущества от операций с недвижимым имуществом заключаются в следующем:

- периодичность поступления в виде чистого эксплуатационного дохода на протяжении владения объектом;

- реверсия — выручка от продажи объекта по истечении периода владения.

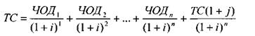
Текущая стоимость объекта недвижимости определяется следующим образом:

ТС = ТС (ППД) + ТС (Р), (1.6)

где ППД - периодичность потоков доходов;

Ρ - реверсия;

ТС - текущая стоимость.

Стоимость объекта, рассчитанная с помощью метода дисконтирования будущих доходов, есть текущая стоимость всех будущих денежных потоков и реверсии с учетом степени риска и альтернативных вариантов использования.

Методика расчета стоимость по предложенному методу состоит в следующем.

1 этап. Прогноз потока будущих доходов и предполагаемой стоимости перепродажи объекта недвижимости:

- определение величины прогнозного периода;

- определение периодичности поступления доходов.

В качестве прогнозной базы используется чистый операционный доход (ЧОД).

- Расчет реверсии, т.е. выручки от продажи объекта, производится с учетом возможных изменений в стоимости объекта недвижимости. Затраты, связанные с издержками по продажам, вычитаются из стоимости реверсии.

2 этап. Расчет ставки дисконта.

Ставка дисконта - коэффициент, используемый для расчета текущей стоимости денежной суммы, получаемой в будущем.

Ставка дисконта показывает эффективность вложений капитала с учетом риска получения запланированной суммы. Ставка дисконтирования выбирается как средняя норма рентабельности, которую инвесторы ожидают получить на свои капитальные вложения в схожие объекты в условиях данного рынка.

Так как ставка дисконта напрямую зависит от риска, то она определяется тем насколько высоко средний инвестор оценивает уровень риска, связанный с вложением денежных средств в данную недвижимость.

Следовательно, чем выше уровень риска, тем ставка дисконта выше и, соответственно, текущая стоимость будущих доходов меньше и меньше текущая стоимость недвижимости [18, c. 109].

3 этап. Приведение будущей стоимости денежных потоков к текущей стоимости с использованием техники сложных процентов.

СР = ТС ± Δ = ТС (1 +j), (1.7)


где Δ - увеличение или уменьшение стоимости объекта;

СР - стоимость реверсии;

J – доля изменения стоимости объекта за отчетный период (0,4).

Текущая стоимость объекта недвижимости рассчитывается по следующей формуле:

(1.8)

где i - ставка дохода на собственный капитал;

n — прогнозный период.

Чистый операционный доход был рассчитан выше методом прямой капитализации и составил по оцениваемому объекту недвижимости 125280 руб.

Предположим, что доход от функционирования объекта недвижимости будем получать с периодичностью 1 раз в год. В этом случае текущая стоимость объекта недвижимости составит 1346178 руб.:

ТС = 125280 / (1+ 0,15) + 125280/ (1 + 0,15)2 + 125280 / (1+ 0,15)3 +

+ 125280 / (1+ 0,15)4 + 125280 / (1+ 0,15)5 +

+ ТС * (1+0,4) / (1+0,15)5 =

= 108939 + 94909 + 82967 + 72416 + 63273 + ТС * 0,696

ТС = 1346178 руб.

В ходе оценки можно оценить и будущую стоимость денежных потоков от объекта недвижимости.

СР = 1346178 * (1+0,4) = 1884649 руб.,

Таким образом, через 5 лет оцениваемая квартира может быть реализована за 1884649 руб.

2.3 Оценка жилой недвижимости методом сравнения продаж аналогов

Сущность подхода заключается в сравнении оцениваемого объекта с другими объектами недвижимости, которые были выставлены на продажу.

Основополагающим принципом сравнительного подхода к оценке недвижимости является принцип замещения. Он гласит, что при наличии на рынке нескольких схожих объектов, рациональный покупатель не заплатит за объект больше суммы, в которую обойдется приобретение другой недвижимости аналогичной полезности.

Этапы оценки:

1. изучение рынка;

2. сбор и проверка данных;

3. анализ и сравнение данных;

4. внесение поправок;

5. согласование данных.

Изучение рынка проводится для выявления тех сопоставимых продаж и объектов, предполагаемых на продажу, которые сходны с оцениваемым объектом недвижимости.

Каждая продажа, используемая как сопоставимая в отчете об оценках, должна быть лично проверена оценщиком.

Необходимо сравнить каждый объект с оцениваемым и проанализировать различия:

- дата продажи;

- физические характеристики;

- местоположение;

- условия продажи.

Следующим этапом оценки является внесение поправок. Сущность этого этапа - скорректировать цены продажи или запрашиваемые цены по каждому сопоставимому объекту в соответствии с имеющимися различиями.

Стоимостные поправки изменяют цену проданного объекта аналога на определенную сумму, в которую оцениваются различия в характеристиках объекта аналога и оцениваемого объекта.

Процентные поправки используются для корректировки различий, связанных со временем сделки, с местоположением и физическими характеристиками.

Последовательные поправки. Их особенность заключается в том, что в зависимости от последовательности внесения процентных поправок может получаться различный результат.

Кумулятивные поправки получаются путем перемножения всех индивидуальных поправок. В этом случае соблюдение последовательности не требуется.

Итоговая величина стоимости представляет собой суждение, вынесенное оценщиком на основе анализа всей доступной информации. Простое усреднение не всегда приводит к точному результату и, кроме того, не всегда обязательно выбирать одно число в качестве показателя стоимости. Использование диапазона величин более корректно [21, c. 265].

Для применения метода сравнения рыночных аналогов необходимо собрать данные о десяти двухкомнатных квартирах, выставленных на продажу в Заельцовском районе («Сибирская ярмарка, Ботанический сад). Данные об аналогичных квартирах представлены в таблице в таблице 1 в приложении 2.

Каждую из десяти представленных квартир необходимо охарактеризовать коэффициентами затратного метода и результаты свести в таблицу.

Коэффициент соотношения общей и жилой площади квартиры Ксож - учитывает соотношение общей площади квартиры и её жилой площади. Принимается равным:

0,95 – соотношение менее 1,50

1,00 – соотношение от 1,50 до 1,66

1,05 – соотношение от 1,66 до 2,00

1,10 - свыше 2,00 [21, c. 267].

Коэффициент наличия балкона или лоджии Кбл:

- при наличии балкона данный коэффициент равен 1,00;

- при наличии лоджии – 1,05;

- при их отсутствии – 0,95;

при наличии двух и более балконов или лоджий – 1,10.

Коэффициент этажа Кэт в том случае, если квартира находится на первом или на последнем этаже здания, равен 0,90. Во всех остальных случаях – 1,00.

Коэффициент изолированности комнат Киз принимается равным:

1,04 - все комнаты изолированы;

0,96 - смежные комнаты в двухкомнатных квартирах, либо более чем одна проходная комната в 3 - 6 комнатных квартирах;

1,00 - во всех остальных случаях.

Коэффициент наличия лифта Клиф принимается равным:

1,03 – лифт есть в домах, имеющих, 5 и менее этажей;

1,00 - лифт есть в домах имеющих более 5 этажей, либо нет в домах, имеющих 5 и менее этажей;

0,97 – лифта нет в домах, имеющих более 5 этажей.

Коэффициент высоты помещений Квыс равен:

0,98 – высота помещений менее 2,5 м ;

1,00 – высота помещений от 2,50 м до 2,80 м;

1,02 – высота помещений от 2,80 м до 3,00 м;

1,04 - высота помещений от 3,00 до 3,40 м;

1,06 - высота помещений свыше 3,40 м.

Коэффициент наличия мусоропровода К мус принимается равным:

1,02 - есть в домах, имеющих менее 5этажей;

0,97 - нет в домах, имеющих более 5 этажей;

1,00 – в остальных случаях.

Коэффициент, учитывающий площадь кухни Кк:

0,95 - при площади кухни до 6 кв. м;

1,00 - при площади от 6 кв. м до 9 кв. м

1,02- при площади от 9 кв. м до 12 кв. м;

1,10 - свыше 12 кв. м.

Значения коэффициентов по каждому объекту недвижимости представлены в таблице 2 в приложении 2. Эквивалентная стоимость двухкомнатной квартиры, рассчитанная в таблице 2, – стоимость двухкомнатной квартиры в пяти этажном доме с соотношением общей и жилой площади от 1,5 до 1,66, с балконом, на среднем этаже, высота потолка более 2,5 м, без мусоропровода, площадью кухни от 6 до 9 м.

Умножив среднюю арифметическую стоимость по десяти квартирам на общую площадь оцениваемой квартиры и разделив на корректирующие коэффициенты для оцениваемой квартиры, получим реальную рыночную цену квартиры, которая составит 2410714:

54 тыс. руб. * 42 / (1,0 * 1,0 * 1,0 * 0,96 * 1,0 * 0,98 * 1,0 * 1,0) =

2410714 руб.

Таким образом, в результате оценки исследуемого объекта недвижимости сравнительным методом было получено, что рыночная цена двухкомнатной квартиры составляет 2410714 руб.

2.4 Оценка объекта недвижимости затратным подходом

По затратному подходу стоимость объекта недвижимости определяется суммой затрат ресурсов на его воспроизводство или замещение с учетом физического и морального износа.

Оценить стоимость квартиры затратным подходом достаточно сложно, поскольку оценить затраты на строительство одной квартиры, выделить их затрат на строительство жилого дома в целом довольно трудно.

Оценку стоимости объекта затратным подходом произведем в предположении, что затраты на строительство дома распределяются пропорционально общей площади квартир. Это предположение условно, но, тем не менее, оно позволит получить примерную оценку стоимости квартиры затратным подходом.

Так, известно, что строительная компания ООО «Промстрой – Д» планирует построить жилой дом по ул. Аэропорт (в Заельцовском районе г. Новосибирска, в непосредственной близости от дома, в котором расположен объект оценки). ООО «Промстрой – Д» получил право на проектирование и строительство этого дома на участке общей площадью 3 тыс. 298 кв. м. Оценку рыночной стоимости земельного участка и затрат на строительство жилого дома по заказу инвестора проводило ООО «Практика». Согласно предпроектной документации, общая полезная площадь квартир в 5-этажном здании составит 3 тыс. 262 кв. м. Жилой дом будет включать в себя 75 квартир.

По мнению экспертов ООО «Практика», затраты на строительство дома составят 10 млн. 640 тыс. руб. В этом случае затраты на строительство 1 кв. м. общей площади составят 3261,8 руб.

Общая площадь оцениваемого объекта составляет 42 кв. м. Таким образом, в соответствии с затратным подходом стоимость восстановления объекта составит 136995,6 руб. (3261,8 руб. * 42 кв. м).

Восстановительная стоимость должна определяться с учетом накопленного износа. Срок полезного использования жилого дома составляет 40 лет. Износ по оцениваемому объекту составляет 30 лет. Таким образом, при оценке необходимо учитывать 10/40 восстановительной стоимости объекта.

Оценка стоимости объекта затратным подходом составит:

136995,6 руб. * 10 / 40 = 34248,9 руб.

2.5 Согласование результатов оценки жилой недвижимости

Для оценки объекта жилой недвижимости – двухкомнатной квартиры, расположенной в Заельцовском районе г. Новосибирска - использовались методы доходного и сравнительного подходов, по которым получились следующие результаты:

1. По методу сравнения продаж аналогов стоимость объекта составляет 2410714 руб.

2. В составе доходного подхода:

- по методу прямой капитализации стоимость квартиры составит 1327118,6 руб.;

- по методу дисконтирования будущих доходов - 1346178 руб.

3. В соответствии с затратным подходом стоимость объекта составит 34248,9 руб.

Определение ликвидационной стоимости встречается в российской оценочной практике достаточно редко, что сказывается на низком уровне методологического обеспечения этого вида оценки.

Единственным фактором, который влияет на величину ликвидационной стоимости и отличающий ее от рыночной, является фактор «вынужденности продажи», что характерно для нерыночных условий продажи недвижимости.

Таким образом, становится вполне очевидным, что для расчета ликвидационной стоимости в текущих российских условиях возможно применение следующего уравнения [13, c. 186]:

Слик. = Срын. х (1 - Квын.),

где Слик. - ликвидационная стоимость недвижимости;

Срын. - рыночная стоимость исследуемого объекта;

Квын. - корректировочная поправка на вынужденность продажи, при условии 0 < Квын. < 1.

Согласно приведенному уравнению, ликвидационная стоимость рассчитывается в два этапа. На первом этапе определяется рыночная стоимость исследуемого объекта недвижимости. На втором - рассчитывается величина корректировочной поправки на вынужденность продажи и внесения ее в значение рыночной стоимости, то есть рыночная стоимость корректируется на фактор "вынужденности продажи" (на нерыночные условия продажи).

Если расчет рыночной стоимости недвижимости не вызывает сложностей, то определение корректировочной поправки на вынужденность продажи и ее математическое обоснование вызывает множество вопросов. На практике оценщики принимают ее интуитивно в диапазоне от 0,1 до 0,3 (10 - 30% от рыночной стоимости).

Так, в случае значения корректировочного коэффициента на уровне 10% ликвидационная стоимость объекта жилой недвижимости составит:

Слик = 2410714 руб. х (1 – 0,1) = 2169642,6 руб.

В случае значения корректировочного коэффициента на уровне 30% ликвидационная стоимость объекта жилой недвижимости составит:

Слик = 2410714 руб. х (1 – 0,3) = 1687499,8 руб.

Итак, в целом, можно сделать вывод, что ликвидационная стоимость объекта недвижимости составит от 70 до 90% его рыночной стоимости и будет колебаться в диапазоне от 1687499,8 тыс. руб. до 2169642,6 тыс. руб.

Таким образом, видно, что цена квартиры в четырех вариантах получилась разная. Чтобы определиться, какая цена наиболее точно отражает стоимость объекта, необходимо знать цель оценки, так как цель оценки обуславливает выбор определения стоимости.

Если цель оценки - определение стоимости объекта, приобретенного с целью получения прибыли в форме периодического дохода с последующей продажей, то следует ориентироваться на цифру, полученную в доходном методе (1327118,6 руб. – 1346178 руб.)

Если цель оценки - определение реальной рыночной стоимости объекта, при этом имеется достаточно информации по ценам продаж аналогичных объектов, то за стоимость квартиры следует принимать цифру, полученную методом сравнения рыночных аналогов (2410714 руб.).

Если цель оценки - определение стоимости квартиры, выступающей в качестве залога при получении ипотечного кредита, то наиболее адекватной выступает ликвидационная стоимость, поскольку реализация объекта оценки в случае неисполнения кредитного договора должна быть обеспечена в довольно сжатые сроки. Таким образом, в качестве стоимости объекта недвижимости следует принять значение в диапазоне от 1687499,8 тыс. руб. до 216942,6 тыс. руб.

ГЛАВА 3. ПРЕДЛОЖЕНИЯ ПО УЛУЧШЕНИЮ МЕТОДОВ ОЦЕНКИ НЕДВИЖИМОСТИ

жилой недвижимость оценка стоимость

В целом первая глава посвящена в большей степени теоретическим основам, базовым категориям, связанным с оценкой недвижимости.

Во второй главе работы представлены результаты оценки объекта недвижимости с позиций трех подходов к определению рыночной стоимости: оценка с точки зрения затрат (затратный подход), оценка по прямому сравнению продаж (сравнительный подход), оценка с точки зрения ожидаемого или фактического дохода (доходный подход).

При сопоставлении результатов оценки было выявлено, что все подходы дают различные результаты. Рассмотрим основные направления совершенствования представленных подходов к оценке недвижимости.

В современной оценочной практике часто используется технология проведения расчетов восстановительной стоимости с использованием сборников УПВС. Начало применения этих сборников было положено в 1997г., когда рыночная информация по объектам недвижимости практически отсутствовала, и применение этих сборников было единственной возможностью определить «рыночную стоимость», в основном, для целей переоценки основных фондов. В последнее десятилетие произошли большие изменения в информационном обеспечении рынка недвижимости и сметного дела. Госстрой РФ перешел на новую сметно-нормативную базу. Постановлением Госстроя России №16 от 08 апреля 2002 г. «О мерах по завершению перехода на новую сметно-нормативную базу ценообразования в строительстве» отменены с 01.01.2003 нормативные документы Госстроя СССР, составленные в уровне цен, предусмотренном сметно-нормативными базами 1991 г. и 1984 г. Взамен их вводятся государственные элементные сметные нормы (ГЭСН) и федеральные единичные расценки (ФЭР). Госстроем России утверждены и введены в действие:

· ГЭСНр-2001 "Государственные элементные сметные нормы на ремонтно-строительные работы";

· ГЭСН-2001 "Государственные элементные сметные нормы на общестроительные работы";

· ГЭСНм-2001 "Государственные элементные сметные нормы на монтаж оборудования"

ГЭСНы предназначены для определения состава и потребности в ресурсах, необходимых для выполнения строительных работ на объектах, составления сметных расчетов (смет) ресурсным методом, а также для расчетов за выполненные работы и списания материалов.

Госстрой России производит разработку Федеральных единичных расценок (ФЕР, ФЕРр и ФЕРм) только для Московской области. Далее расценки для Московской области передаются Госстроем в Региональные Центры по ценообразованию в строительстве для привязки расценок к региональным условиям. После привязки сборники расценок отправляются обратно в Госстрой для их дальнейшего утверждения. В настоящее время процесс разработки новой нормативной базы еще не завершен. Проведение оценки недвижимости на основе новой нормативной базы является очень сложной и трудоемкой задачей, требующих специальных знаний и навыков. Для того, чтобы новая нормативная база вошла в практику оценки необходимо проведение комплекса работ по разработке программно-вычислительных комплексов, адаптированных к решению прикладных задач оценки недвижимости.

В последнее время начали активно работать региональные центры по ценообразованию в строительстве, появились фирмы, специализирующиеся на представлении информационных услуг, например НПФ «Центр информационных технологий в строительстве».

И только оценщики недвижимости всё ещё пользуются давно устаревшими сборниками 70-х годов прошлого века и при этом на их основе обосновывают «рыночную стоимость» объектов. Опытные оценщики давно поняли недостатки применения сборников УПВС, связанные прежде всего с перечнем затрат, включенных в единичные расценки, усредненной индексацией, не соответствием технологий, соотношением состава работ и т.д.

Так, в сборниках УПВС учтены следующие статьи затрат:

· прямые затраты;

· накладные расходы;

· плановые накопления (прибыль);

· общеплощадочные расходы по отводу и освоению строительного участка;

· стоимость проектно-изыскательских работ;

· затраты, связанные с производством работ в зимнее время;

· затраты на премиальную оплату труда;

· стоимость содержания дирекции стоящегося предприятия;

· убытки от ликвидации временных зданий и сооружений;

· расходы по перевозке рабочих на расстояние более 3 км. при отсутствии общественного транспорта;

· расходы по выплате работникам надбавок за подвижный характер труда.

Опытные оценщики в своих расчетах используют собственные разработки на основе корректировок аналогов или укрупненных сметных расчетов.

В работе П.Г.Грабового, С.П.Коростелева «Оценка собственности, Часть I. Оценка недвижимости» на конкретном примере показано, что результаты расчетов восстановительной стоимости жилой недвижимости по методологии УПВС существенно, в несколько раз, отличаются от рыночных показателей.

Однако в большинстве, рецензируемых Экспертном советом Российского общества оценщиков отчетах, по-прежнему оценка рыночной стоимости недвижимости базируется на устаревших УПВС. Причем, чтобы как-то приблизить результаты этих расчетов к рыночным показателям в них вводится некий повышающий коэффициент, который назван «прибылью предпринимателя». Принимается он абсолютно произвольно, так как снять этот показатель с рынка в современных условиях не представляется возможным. Здесь следует особо отметить, что в соответствии с МСО-2003 «применение рыночной стоимости требует выработки заключения об оценке исключительно на основе рыночных данных». При применении УПВС оценщик определяет однозначно не рыночную стоимость, что и должен отразить в отчете.

В России до сих пор нет достоверной информационной базы по укрупненным базовым показателям стоимости строительства, которые имеются у западных оценщиков (по примеру WESSEXS, LAXTONS, R.S.MEANS).

В настоящее время основной признанной информационной базой оценки недвижимости являются разработки ООО «Ко-Инвест». Этой фирмой ежеквартально издается бюллетень "Индексы цен в строительстве", а также серия "Справочник оценщика": "Промышленные здания", "Жилые здания", "Сборники паритетов покупательной способности валют на национальных строительных рынках", "Справочник восстановительной стоимости зданий и сооружений в текущем уровне цен" и др.

При использовании этих изданий необходимо помнить о том, что в основе большинства их расчетов лежит нормативная база времен плановой экономики, индексированная по определенным ценовым коэффициентам и, следовательно, окончательные результаты оценки могут иметь значительную погрешность по причинам, изложенным выше. При применении тех или иных индексов необходимо внимательно изучить предпосылки их вычисления.

Недавно вышел в свет и анонсирован как первый в стране ожидаемый оценщиками Региональный Справочник Стоимости строительства (РСС-2006). В нем приведены показатели стоимости по видам строительных работ, укрупненные показатели стоимости (УПС) и «информация для оценки необходимого объема инвестиций в экспресс – варианте». По сути, под последним определением понимается сметная стоимость объектов-аналогов современных зданий и сооружений. В части III РСС приведены «объекты аналоги с технико-экономическими показателями конструктивных элементов, объекты-аналоги с технико-экономическими показателями на объект в целом и сводная таблица технико-экономических показателей, рекомендуемых для определения стоимости жилых зданий и объектов социально-культурного назначения». Стоимостные показатели определены в ценах на 01.01.2006 г. для "Московского региона". В справочник вошли стоимостные показатели для 18 типов современных жилых зданий и 27 объектов нежилой недвижимости. В РСС-2007 этот перечень объектов существенно расширен.

Выход в свет РСС создает условия для применения его в процедурах оценки недвижимости и бизнеса. Если в оценке недвижимости можно применять часть II справочника "Укрупненные показатели стоимости", то в затратном подходе оценки бизнеса возможно применение части III "Объекты-аналоги зданий и сооружений".

Таким образом, сборники РСС должны стать базовой основой оценки недвижимости. Однако имеются и существенные недостатки этих сборников. Главный из них состоит в том, что в них не приводятся исходные данные и основные предположения полученных значений стоимости аналогов. Так, не совсем понятно, каков конкретно состав оборудования учтен в окончательных показателях, что вошло в состав прочих затрат застройщика и т.д. Совместная работа сметчиков, аналитиков и оценщиков в направлении совершенствования РСС, может привести к созданию так необходимой оценщикам недвижимости информационной базы.

Основным направлением развития оценочной деятельности в настоящее время становится именно оценка рыночной стоимости недвижимости. Это становится возможным благодаря тому, что в нашей стране накапливается база данных о действительной рыночной стоимости объектов недвижимости.

В целях упрощения процесса оценки жилой недвижимости в оценочных агентствах может быть использована регрессионная модель стоимости квартиры, которая позволяет рассчитать стоимость жилого объекта недвижимости в зависимости от ряда его параметров.

Пример построения такой модели приведен в журнале «Недвижимость» за декабрь 2005 года. Модель была построена по прайс-листам нескольких риэлтерских фирм, которые занимаются реализацией различного по потребительским характеристикам жилья в различных районах города Новосибирска[31]. Для анализа была собрана информация о 450 квартирах (по 150 вариантов для каждого типа квартир – одно-, двух-, трехкомнатных) по следующим параметрам:

• стоимость квартиры,

• район, в котором располагается жильё,

• тип собственности:

- государственное жильё,

- жильё, приобретённое по договору приватизации,

- жильё, приобретённое по договору купли-продажи,

• материал дома, в котором расположена квартира:

- панель, кирпич, монолит,

• тип дома:

- элитный,

- улучшенной планировки,

- типовой,

- полногабаритный,

- «хрущёвка»,

• этажность дома,

• этаж, на котором расположена квартира,

• общая площадь квартиры,

• жилая площадь квартиры,

• площадь кухни,

• наличие балкона или лоджии,

• наличие телефона.

Подробно рассмотрим порядок построения модели на примере однокомнатных квартир.

На первом этапе построения модели была проанализирована матрица коэффициентов корреляции с целью выявления параметров, сильно зависящих друг от друга. Главной задачей было отобрать такие факторы, коэффициент корреляции по которым не превышал бы значения 0,8. По результатам анализа была построена матрица коэффициентов корреляции, в которой учитывается 6 факторов, то есть ровно половина из собранных первоначально, так как остальные факторы не удовлетворяли условию, накладываемому на коэффициент корреляции.

На основе собранных данных по выделенным факторам была построена следующая модель регрессии [31]:

Ρ = -10,12 + 9,24 Sобщ + 35,62 * х1 – 21,17 * х2 + 15,07 * х3 +

+ 65 * х4+ 64,48 * х5 (3.1)

или в общем виде:

Ρ= -а0 + asSобщ+ a1x1 + агхг + a3х3 +а4х4 + a5x5 (3.2)

В представленном уравнении используются следующие обозначения:

Ρ - цена квартиры с фиксированными параметрам, определяемыми ниже,

Sобщ - общая площадь квартиры,

х1 - фиктивная переменная, характеризующая район, в котором располагается квартира,

х2 - фиктивная переменная, характеризующая материал дома, в котором расположена квартира;

х3 - переменная, характеризующая этажность дома, в котором расположена оцениваемая квартира;

х4 - фиктивная переменная, характеризующая этаж, на котором расположена квартира;

х5 - фиктивная переменная, характеризующая наличие телефона в квартире.

Статистические показатели по данной модели подтвердили значимость полученных результатов.

Таким образом, полученная модель очень хорошо отражает зависимость средней стоимости квартир от её параметров на рынке жилья города Новосибирска (без учёта крайних вариантов).

Представленные модели были внедрены на практике в агентствах недвижимости города Новосибирска «Жилфонд» и «Амир – Недвижимость», имеющих в своем составе штатных сотрудников по оценке стоимости квартир, поступающих на продажу, а также выступающих в качестве залога в договорах кредитования. Следует отметить, что специалисты высоко оценили эффективность их применения.

Вторая важная проблема, с которой сталкиваются оценщики, - прогнозирование стоимости квартиры в будущем. Особо актуальной эта проблема становится при оценке стоимости квартиры для целей ипотеки, поскольку реализация квартиры будет происходить в будущем, и важно определить темп роста стоимости квартиры на период кредитного договора.

Исходные данные для построения модели динамики цен на вторичном рынке жилья были взяты в журналах «Недвижимость» по кварталам соответствующих лет. Для каждого года была собрана информация по 240 квартирам - по 80 для каждого типа квартир (одно-, двух-, трёхкомнатным). [31]. Основная цель построения модели – определение модели изменения цен объектов недвижимости вторичного рынка.

Структура собранных данных по квартирам представлена на рис. 2.1, 2.2, 2.3.

Рис. 2.1. Структура квартир, рассматриваемых при построении модели, по типу жилья

Рис. 2.2. Структура квартир, рассматриваемых при построении модели, по типу жилья


Рис. 2.3. Структура квартир, рассматриваемых при построении модели, по типу материала дома

Временной анализ экономических явлений различает разные виды эволюций.

1. Тенденция, тренд или долговременное движение. Строгого определения тенденции нет, выявляют её интуитивно. Тенденция соответствует медленному изменению, происходящему в некотором определенном направлении, которое сохраняется в течении длительного периода времени.

2. Цикл, кратковременная составляющая – быстрое квазипериодическое движение, в котором есть фаза возрастания и фаза убывания.

3. Сезонная составляющая – изменения, происходящие регулярно, в отличие от цикла.

4. Случайные флюктуации, эффекты – беспорядочное движение относительно большой частоты, имеющее более или менее постоянный характер.

Некоторые статистические ряды представляют из себя в чистом виде тот или иной вид эволюции, но большая часть – комбинация всех или отдельных компонент.

Теоретически ряд динамики цен является комбинацией тренда, сезонной составляющей и случайных флюктуаций. На современном этапе развития рынка недвижимости нарушена сезонная составляющая цены квартиры, что обусловлено высокими темпами роста цен и инвестиционной привлекательностью рассматриваемого рынка. Именно поэтому особое внимание было уделено выделению тренда в рассматриваемом динамическом ряду.

По данным рядам динамики цен на квартиры была построена следующая модель.

Полином второй степени:

уi = а + bt2, (3.3)

где i - тип квартиры,

t - временной период.

Необходимо отметить, что в соответствии с критериями, применяемыми в статистике, коэффициент корреляции должен быть близок к 1 (превышать 0,7), коэффициент значимости F должен быть меньше 0,03 (для заданных параметров модели).

Итак, полученные модели хорошо отражают динамику цен на вторичном рынке жилья города Новосибирска.

По полученной модели рост стоимости однокомнатных квартир должен был составить 22,0% в 2006 году, фактический рост стоимости составил 24,3%.

По данной модели рост стоимости двухкомнатной квартиры в городе Новосибирске в 2006 году должен был составить 21,7%, а фактически темп прироста составил 21,6%.

В соответствии с представленной моделью рост стоимости трехкомнатной квартиры в городе Новосибирске в 2006 году должен был составить 21,5%, а фактически темп прироста составил 31,0%.

Подставляя реальные данные по стоимости квадратного метра квартир в городе Новосибирске в каждом квартале 2006 года, можно отметить, что это значение попадает в границы доверительных интервалов, построенных по модели.

По мнению специалистов, полученная модель адекватно описывает ситуацию, сложившуюся на рынке недвижимости в данный момент. Прогноз роста стоимости жилья к концу 2006 года по отдельным типам квартир совпадает с реальными данными, так как прогнозируемый специалистами рост рынка составляет 20 - 30% [31].

Специалист по оценке постоянно сталкивается с проблемой прогнозирования стоимости квартир, особенно остро эта проблема проявляется при проведении оценки для целей кредитования. Правильность решения зависит от опыта, квалификации специалиста, а также от качества собранных данных по рынку оцениваемого объекта. Использование в работе специалистов предложенных статистических моделей будет способствовать повышению точности прогнозов, а также качества оценки жилой недвижимости.


ЗАКЛЮЧЕНИЕ

По результатам проведенного исследования можно сделать следующие выводы.

Возможны три подхода к оценке объектов недвижимости.

Доходный подход состоит в определении стоимости оцениваемого объекта, исходя из сумм тех доходов, которые он сможет генерировать в будущем, и чаще всего используется для оценки коммерческой недвижимости.

Затратный подход определяет стоимость, исходя из затрат на строительство аналогичного объекта (стоимость материалов, транспортных расходов и пр.), и основывается на том, что у оцениваемого объекта стоимость не может быть выше.

Метод сравнения продаж (сравнительный подход) заключается в поиске наиболее близких оцениваемому объекту аналогов и внесении в их стоимость корректировок, учитывающих имеющиеся различия между ними и оцениваемым объектом. Данный подход является основным при оценке жилой недвижимости, так как на рынке имеется достаточное для корректной оценки количество предложений по продаже жилых помещений.

Целью оценки, представленной в практической части работы, являлось определение рыночной стоимости квартиры, состоящей из двух жилых комнат, находящейся в Заельцовском районе г. Новосибирска

Для оценки объекта жилой недвижимости – двухкомнатной квартиры, расположенной в Заельцовском районе г. Новосибирска - использовались методы доходного, затратного и сравнительного подходов, по которым получились следующие результаты.

По методу сравнения рыночных аналогов стоимость объекта составляет 2410714 руб.

В составе доходного подхода:

- по методу прямой капитализации стоимость квартиры составит 1327118,6 руб.;

- по методу дисконтирования будущих доходов - 1346178 руб.

Согласно затратному подходу стоимость объекта составит 34248,9 руб.

В соответствии с методикой определения ликвидационной стоимости объекта стоимость двухкомнатной квартиры в Заельцовском районе будет колебаться в пределах от 1687499,8 тыс. руб. до 2169642,6 тыс. руб.

Совершенствование затратного подхода к оценке жилой недвижимости заключается в разработке документов, сборников, отражающих реальные затраты на строительство аналогичных объектов, поскольку нормативные сборники, используемые оценщиками в ходе своей работы были изданы в 70-х гг. прошлого века и давно устарели, а корректирующие коэффициенты, применяемые в этих подходах ничем не обоснованы.

В качестве основного направления совершенствования рыночных подходов к оценке выступает применение статистических моделей в процессе оценки стоимости объектов недвижимости.

В работе представлены примеры модели для определения стоимости объекта недвижимости от ряда его качественных характеристик, а также статистическая модель для прогноза стоимости объекта недвижимости через определенный промежуток времени. Необходимо отметить, что эта проблема особенно актуальна в случае оценки недвижимости для целей кредитования, поскольку в этом случае реализация объекта недвижимости происходит спустя некоторое время после проведения оценки. Использование в работе специалистов предложенных статистических моделей будет способствовать повышению точности прогнозов, а также качества оценки жилой недвижимости.


СПИСОК ИСПОЛЬЗОВАННОЙ ЛИТЕРАТУРЫ И ИСТОЧНИКОВ

1. Гражданский Кодекс Российской Федерации. Части первая, вторая и третья. Официальный текст. – М.: ИКФ Омега – Л, 2005.

2. Об оценочной деятельности в Российской Федерации. Федеральный Закон от 06.08.98 № 135 - ФЗ.

3. Об утверждении стандартов оценки. Постановление Правительства Российской Федерации № 519 от 06.07.2001.

4. Болдырев B.C. Введение в теорию оценки недвижимости. - М.: Центр менеджмента, оценки, 2004.

5. Бурденкова Е. О некоторых аспектах деятельности риэлтерских фирм. // Вопросы статистики. - 2004. - №10. - С.32 - 37.

6. Балабанов И.Т. Операции с недвижимостью в России. Москва. 2003г.

7. Генри С. Харрисон. Оценка недвижимости. - М.: РИО, 2004.

8. Горемыкин В.А. Экономика недвижимости. - М.: Филинъ, 2005.

9. Грибовский С.В. Оценка доходной недвижимости. - СПб.: Питер, 2004.

10.Григорьев В.В. Оценка объектов недвижимости, теоретические и практические аспекты. - М.: ИНФРА - М, 2004.

11.Гришаев С.П. Правовое регулирование недвижимости. // Государство и право. - №3. – 2005.

12.Грязнова А.Г., Федотова М.А. Оценка бизнеса. - М.: Финансы и статистика, 2004.

13.Дубовицкий С.К. Недвижимость и эволюция. - Красноярск: Союз, 2004.

14.Еженедельный специализированный журнал: Недвижимость – Новосибирск №15 2007

15.Ермолаева Е., Фролов А. Затишье перед ростом. Тенденции развитии регионального рынка недвижимости. // Континент Сибирь. - 2005. - №15. - С. 10.

16.Кто есть кто на рынке недвижимости: Справочник. – М.: Триада ЛТД, 2002.

17.Купчина Л.А. Оценка недвижимости. // Бухгалтерский учёт. - 2005. - №2. - С.72 - 75.

18.Лаврухин О. Рынок недвижимости: этап становления закончен, но что дальше? // Ведомости. - № 21. - 2005.

19.Логинов МП. К вопросу об оценке недвижимости в России. // ЭКО. - 2004. - №9. - С. 103 -108.

20.Нагаев Р.Т. Недвижимость: энциклопедический словарь. М.: Идеал – Пресс, 2003.

21.Орлов С.В., Цыпкин Ю.А. Рыночная оценка имущества города. – М.: Юнити, 2003.

22.Прорвович Ю.А. Оценка земли в Москве. - М.: Экономика, 2003.

23.Рынок оценки в 2004 году. Аналитический обзор // Эксперт. - 2005. - №5. - С. 64 - 72.

24.Сивец С.А., Баширова Л.А. Как оценить имущество (пособие для заказчиков оценки). – М.: Зазеркалье, 2002.

25.Сивец С.А., Левыкина И.А. Эконометрическое моделирование в оценке недвижимости. – М.: Зазеркалье, 2002.

26.Сивец С.А. Статистические методы в оценке недвижимости и бизнеса. – М.: Зазеркалье, 2003.

27.Статистическая информация агентств недвижимости города Новосибирска. // Недвижимость. - № 48 - 51. – 2005.

28.Стратегия развития строительной индустрии до 2010 года. // http://www.gosstroy.ru

29.Тарасевич Е.И. Оценка недвижимости - СПб.: СПб ГТУ, 2003.

30.Тенденции развития новосибирского рынка недвижимости. Аналитический обзор // http://www.nsk.realty.ru

31.Федотова М.А., Уткин Э.А. Оценка недвижимости и бизнеса. -М.:ЭКМОС, 2004.

32.Фридман Д. Анализ и оценка приносящей доход недвижимости. - М.: Дело, 2005.

33.Учебно – практическое пособие / Под ред. д.э.н, проф. В. З. Черника – М.: Издательство РДЛ, 2002. – 272 с.

34. Хачатрян С.Р. Эконометрическая модель прогнозирования цен реализации жилья на первичном (вторичном) рынке. // Аудит и финансовый анализ. - №4. – 2004. - С. 130 - 134.

35.ЩербаковаН.А., Экономика недвижимости, Новосибирск 2002.;


Приложение 1

ПЛАНИРОВКА КВАРТИРЫ


РАСПОЛОЖЕНИЕ В ПОДЪЕЗДЕ



Приложение 2

Сведения о реализации квартир, аналогичных оцениваемому объекту, в январе 2006 года

№ п/п Улица Тип дома Этаж / этажность Общая / жилая площадь Кухня Балкон / лоджия Телефон Изолированные / смежные комнаты Стоимость, тыс. руб. Стоимость 1 кв. м., тыс. руб.
1 Красный проспект Π 2/5 39/26 5,5 Б + см 2450 62,8
2 Дачная Π 2/5 40/28 6 Б + из 2200 55
3 Дм. Донского Π 3/5 42/28 6,5 Б + см 2100 50
4 Дачная Π 4/5 40/26 6 Б + см 2150 53,8
5 Красный проспект Π 2/5 41/28 5,5 Б + из 2650 64,6
6 Жуковского П 4/5 44/28 6 Б + см 2350 53,4
7 Весенняя П 3/5 43/29 6,5 Б + см 2400 55,9
8 Дачная П 2/5 42/28 6 Б + см 2300 54,8
9 Дачная П 2/5 40/26 5,5 Б + из 2150 53,8
10 Дм. Донского П 3/5 44/29 6 Б + см 2100 47,7
11 Оцениваемый объект П 2/5 42/28 6 Б + см - -
Определение стоимости объектов недвижимости с учетом корректирующих коэффициентов
Ксож Кбл Кэт Киз Клиф Квыс Кмус Кк Стоимость 1 кв. м Эквив. стоим.
1 1,00 1,00 1,00 0,96 1,00 0,98 1,00 0,95 62,8 55,9
2 0,95 1,00 1,00 1,04 1,00 0,98 1,00 1,00 55 55,7
3 1,00 1,00 1,00 0,96 1,00 0,98 1,00 1,00 50 54,6
4 1,0 1,00 1,00 0,96 1,00 0,98 1,00 1,00 53,8 55
5 1,0 1,00 1,00 1,04 1,00 0,98 1,00 0,95 64,6 53,6
6 0,95 1,00 1,00 0,96 1,00 0,98 1,00 1,00 53,4 53,2
7 1,00 1,00 1,00 0,96 1,00 0,98 1,00 1,00 55,9 53,7
8 1,00 1,00 1,00 0,96 1,00 0,98 1,00 1,00 54,8 53,3
9 1,00 1,00 1,00 1,04 1,00 0,98 1,00 0,95 53,8 54,1
10 1,00 1,00 1,00 0,96 1,00 0,98 1,00 1,00 47,7 50,5
Средняя арифметическая 55,9 54

Похожие работы

  • Подходы к оценке недвижимости

    Условия применения сравнительного подхода к оценке недвижимости. Этапы сравнительного подхода, его преимущества и недостатки. Информация, необходимая для применения затратного подхода. Виды капитализации дохода. Ставка капитализации и дисконтирования.

  • Принципы оценки недвижимости 3

    Теоретический вопрос: Принципы оценки недвижимости, 4 группы. Рассмотреть подробно принципы, основанные на представлениях пользователя Принципы оценки недвижимости можно сгруппировать по следующим 4 категориям:

  • Оценка недвижимости затратным методом

    Оглавление Оглавление 2 Задача № 1 3 Задача № 2 7 Задача № 3 10 Список использованной литературы 12 Вариант № 10 Задача № 1 Оценка недвижимости затратным методом.

  • Ценообразование на рынке недвижимости 2

    Весь рынок недвижимости можно условно разделить на рынок земельных участков, рынок жилых помещений, а также рынок коммерческой недвижимости. Рынку недвижимости присущ целый ряд особенностей и, прежде всего это индивидуальность ценообразования.

  • Оценка эффективности использования объекта недвижимости

    Анализ самого эффективного использования объекта недвижимости. Выбор из нескольких вариантов нежилого помещения под офис с учетом спроса, полезности, дефицитности, степени отчуждаемости объектов. Применение сравнительного, затратного, итогового подходов.

  • Определение рыночной стоимости квартиры

    Характеристика объекта недвижимости. Определение его рыночной стоимости методом прямой капитализации и дисконтированного денежного потока. Корректировки для сопоставимых продаж квартир. Согласование результатов и заключение о рыночной стоимости объекта.

  • К вопросу об оценке недвижимости в России

    Проблемы оценки недвижимости, существующие в России, - это издержки становления рынка оценки. Так как рынок еще только складывается, то и оценка в ее классическом понимании не всегда применима.

  • Контрольная рабоат по Экономике недвижимости

    Контрольная работа по экономике недвижимости Задание первое. На основе функций денег решите 2 задачи. Рассчитайте текущую стоимость коммерческой недвижимости при заданных потоках доходов от сдачи её в аренду и перепродажи в конце прогнозного периода. Выберите соответствующие решению задачи функции денег и постройте потоки доходов по заданным годам.

  • Анализ рынка недвижимости в 2008 году

    Рынок недвижимости: итоги 2008 года, прогнозы на 2009 год 04.06.2009 Ушедший 2008 год стал годом серьезных перемен для рынка недвижимости, и теперь пришла пора подвести его итоги и построить планы на 2009 год. Сейчас многие участники этого рынка испытывают недостаток достоверной информации о рынке недвижимости, поскольку находящиеся в открытом доступе индикаторы его развития, такие как средняя цена и объем предложения, уже не отражают реальных тенденций его развития.

  • Оценка инвестиций в недвижимости

    Приобретение объекта недвижимости организацией с целью недоходного использования и с последующей перепродажей через определенный период времени. Определение текущей стоимости арендных платежей за весь период аренды. Аннуитетный метод выплат по кредиту.