Название: Модернизация ТЭС
Вид работы: реферат
Рубрика: Экономика
Размер файла: 134.38 Kb
Скачать файл: referat.me-387399.zip
Краткое описание работы: КРАТКАЯ ХАРАКТЕРИСТИКА ИВАНОВСКОЙ ТЭЦ-3 Ивановская ТЭЦ-3 предназначена для покрытия тепловых нагрузок в паре и горячей воде промышленных предприятий и жилищно-коммунальной застройки юго-восточного района города Иванова и города Кохмы. Мощность I и II очередей ТЭЦ расходуется на покрытие следующих суммарных нагрузок:
Модернизация ТЭС
- КРАТКАЯ ХАРАКТЕРИСТИКА ИВАНОВСКОЙ ТЭЦ-3
Ивановская ТЭЦ-3 предназначена для покрытия тепловых нагрузок в паре и горячей воде промышленных предприятий и жилищно-коммунальной застройки юго-восточного района города Иванова и города Кохмы. Мощность I и II очередей ТЭЦ расходуется на покрытие следующих суммарных нагрузок:
в паре 8-13 ата – 420 т/ч
в горячей воде – 700 Гкал/ч (с параметрами 150-170
).
В качестве основного топлива для Ивановской ТЭЦ-3 используется кузнецкий уголь с возможностью использования сезонных избытков природного газа. Топливом для пиковых водогрейных котлов служит мазут и газ.
Для покрытия указанных тепловых нагрузок предусматривается установка следующего основного оборудования:
Турбоагрегаты:
1
ПТ-100-130;
2
ПТ-80-130;
Котлы паровые
3
ТП-87;
1
ТП-87-1;
Котлы пиковые
водогрейные
- 2
ПТВМ-100.
Параметры
основного
оборудования
– 140 ата, 570
.
Техническое
водоснабжение
ТЭЦ принято
по оборотной
схеме с охлаждением
циркуляционной
воды на градирнях.
В настоящее
время установлены
четыре башенные
железобетонные
гиперболические
градирни с
площадью орошения
по 1520
Циркуляционные
насосы размещаются
внутри машинного
зала станции.
Добавочная
вода поступает
из реки Уводь.
Химводоочистка для подпитки паровых котлов производится по следующей схеме: известкование и коагуляция в осветителях, механическая фильтрация, ступенчато-противоточечное Н-катионирование, декарбонизация, ступенчато-противоточечное анионирование низкоосновным анионитом. Производительность ХВО для подпитки паровых котлов составляет 340 т/час. Химводоочистка для подпитки тепловой сети осуществляется по схеме: Н-катионирование с “голодным” режимом регенерации, буферные саморегенерирующие фильтры, декарбонация. Производительность ХВО для подпитки тепловой сети составляет 1200 т/час.
Тепловая схема Ивановской ТЭЦ-3 выполнена с поперечными связями по острому пару, питательной воде и другим трубопроводам. Деаэрация питательной воды принята в деаэраторах 6 атм.
Питательная установка состоит из:
4-х питательных электронасосов типа ПЭ-500-180,
4-х деаэраторов 6 ата типа ДСА-200 с баками по 70
для химически
обессоленной
воды и конденсата
с производства,4-х вакуумных деаэраторов типа ДСВ-400 производительностью по 400 т/ч для подпитки тепловой сети и 3-х подкачивающих насосов типа 10КСД-5.
Ивановская ТЭЦ-3 входит в состав Ивановской энергосистемы. Выдача мощности с ТЭЦ производится четырьмя линиями по 110кВ.
С каждым паровым котлом установлены:
по 2 шаровые мельницы типа Ш-25 производительностью 46 т/ч;
по 2 дутьевых вентилятора типа ВДН-20-П;
по 2 насоса типа Д-21.
Пар на производство
и на собственные
нужды под давлением
10
16
атм. отбирается
от производственных
отборов турбин
ПТ-60/100/80. Для резервирования
производственного
отбора турбины
установлена
одна РЭУ
производительностью
250 т/ч.
Нагрев сетевой воды производится в вакуумных деаэраторных установках турбин ПТ-60, сетевых подогревателях турбин ПТ-100-130 и далее в пиковых водогрейных котлах.
Склад топлива емкостью 200 тыс.т. рассчитан на 2-х месячный запас. Природный газ подается по газопроводу диаметром 500 мм. от магистрального газопровода.
При аварийном останове одного котла обеспечивается полное покрытие тепловых нагрузок в режиме самого холодного месяца со снижением электрической мощности на 27 %.
Основные технологические помещения главного корпуса располагаются в следующей последовательности:
Машинный зал
Бункерно-деаэраторное отделение
Котельное отделение
Помещение закрытой установки дутьевых вентиляторов, электрофильтров и дымососов.
Отметка зольного пола котельной 0.0 м.
Отметка конденсационного пола меш.зала + 1.6 м.
Отметка пола подвала меш.зала – 1.8 м.
Оперативная отметка + 9.6 м.
На ТЭЦ предусмотрена оборотная система гидрозолоудаления с возвратом осветвленной воды из золоотвала для повторного использования. Зола и шлак транспортируются совместно.
Шлаки из-под котлов и зола от золоуловителей транспортируются по самотечным каналам к багерной насосной станции, оснащенной тремя двухступенчатыми насосами типа 12ГРТ-8, расположенной на площадке ТЭЦ.
От багерной насосной станции по напорному стальному трубопроводу гидрозоловая пульпа транспортируется на золоотвал, расположенный в 3,65 км от ТЭЦ.
Размер санитарно-защитной зоны в соответствии с требованиями
Ивановской ОблСЭС принимается 1000м.
2. Акционерное общество
Акционерным обществом (далее - общество) признается коммерческая организация, уставный капитал которой разделен на определенное число акций, удостоверяющих обязательственные права участников общества (акционеров) по отношению к обществу.
Акционеры не отвечают по обязательствам общества и несут риск убытков, связанных с его деятельностью, в пределах стоимости принадлежащих им акций. Акционеры, не полностью оплатившие акции, несут солидарную ответственность по обязательствам общества в пределах неоплаченной части стоимости принадлежащих им акций.
Общество является юридическим лицом и имеет в собственности обособленное имущество, учитываемое на его самостоятельном балансе, может от своего имени приобретать и осуществлять имущественные и личные неимущественные права, нести обязанности, быть истцом и ответчиком в суде. Общество имеет гражданские права и несет обязанности, необходимые для осуществления любых видов деятельности, не запрещенных федеральными законами.
Общество несет ответственность по своим обязательствам всем принадлежащим ему имуществом.
Общество не отвечает по обязательствам своих акционеров.
Если несостоятельность (банкротство) общества вызвана действиями (бездействием) его акционеров или других лиц, которые имеют право давать обязательные для общества указания либо иным образом имеют возможность определять его действия, то на указанных акционеров или других лиц в случае недостаточности имущества общества может быть возложена субсидиарная ответственность по его обязательствам.
Государство и его органы не несут ответственности по обязательствам общества, равно как и общество не отвечает по обязательствам государства и его органов.
Общество может быть открытым или закрытым, что отражается в его уставе и фирменном наименовании. Акционеры открытого общества могут отчуждать принадлежащие им акции без согласия других акционеров этого общества. Такое общество вправе проводить открытую подписку на выпускаемые им акции и осуществлять их свободную продажу с учетом требований настоящего Федерального закона и иных правовых актов Российской Федерации. Открытое общество вправе проводить закрытую подписку на выпускаемые им акции, за исключением случаев, когда возможность проведения закрытой подписки ограничена уставом общества или требованиями правовых актов Российской Федерации. Открытое акционерное общество обязано ежегодно публиковать для всеобщего сведения годовой отчет, бухгалтерский баланс, счет прибылей и убытков. Число акционеров открытого общества не ограничено.
Общество, акции которого распределяются только среди его учредителей или иного, заранее определенного круга лиц, признается закрытым обществом. Такое общество не вправе проводить открытую подписку на выпускаемые им акции либо иным образом предлагать их для приобретения неограниченному кругу лиц. Число акционеров закрытого общества не должно превышать пятидесяти. В случае, если число акционеров закрытого общества превысит установленный настоящим пунктом предел, указанное общество в течение одного года должно преобразоваться в открытое. Если число его акционеров не уменьшится до установленного настоящим пунктом предела, общество подлежит ликвидации в судебном порядке.
Создание общества
Общество подлежит государственной регистрации в органе, осуществляющем государственную регистрацию юридических лиц, в порядке, предусмотренном федеральным законом о государственной регистрации юридических лиц.
Общество считается созданным как юридическое лицо с момента его государственной регистрации в установленном федеральными законами порядке. Общество создается без ограничения срока, если иное не установлено его уставом.
Общество вправе в установленном порядке открывать банковские счета на территории Российской Федерации и за ее пределами.
Общество должно иметь круглую печать, содержащую его полное фирменное наименование на русском языке и указание на место его нахождения. В печати может быть также указано фирменное наименование общества на любом иностранном языке или языке народов Российской Федерации. Общество вправе иметь штампы и бланки со своим наименованием, собственную эмблему, а также зарегистрированный в установленном порядке товарный знак и другие средства визуальной идентификации. Общество имеет свое фирменное наименование, которое должно содержать указание на его организационно - правовую форму и тип (закрытое или открытое).
Общество может создавать филиалы и открывать представительства на территории Российской Федерации с соблюдением требований настоящего Федерального закона и иных федеральных законов. Филиал и представительство не являются юридическими лицами, действуют на основании утвержденного обществом положения. Филиал и представительство наделяются создавшим их обществом имуществом, которое учитывается как на их отдельных балансах, так и на балансе общества. Филиал и представительство осуществляют деятельность от имени создавшего их общества. Ответственность за деятельность филиала и представительства несет создавшее их общество. Общество может иметь дочерние и зависимые общества с правами юридического лица на территории Российской Федерации, созданные в соответствии с настоящим Федеральным законом и иными федеральными законами, а за пределами территории Российской Федерации - в соответствии с законодательством иностранного государства по месту нахождения дочернего или зависимого обществ, если иное не предусмотрено международным договором Российской Федерации.
Общество может быть создано путем учреждения вновь и путем реорганизации существующего юридического лица (слияния, присоединения, разделения, выделения, преобразования).
Общество считается созданным с момента его государственной. Создание общества путем учреждения осуществляется по решению учредителей (учредителя). Решение об учреждении общества принимается учредительным собранием. В случае учреждения общества одним лицом решение о его учреждении принимается этим лицом единолично.
Решение об учреждении общества, утверждении его устава и утверждении денежной оценки ценных бумаг, других вещей или имущественных прав либо иных прав, имеющих денежную оценку, вносимых учредителем в оплату акций общества, принимается учредителями единогласно. Избрание органов управления общества осуществляется учредителями большинством в три четверти голосов, которые представляют подлежащие размещению среди учредителей общества акции. Учредители общества заключают между собой письменный договор о его создании, определяющий порядок осуществления ими совместной деятельности по учреждению общества, размер уставного капитала общества, категории и типы акций, подлежащих размещению среди учредителей, размер и порядок их платы, права и обязанности учредителей по созданию общества. Договор о создании общества не является учредительным документом общества. Учредителями общества являются граждане и (или) юридические лица, принявшие решение о его учреждении.
Число учредителей открытого общества не ограничено. Число учредителей закрытого общества не может превышать пятидесяти. Учредители общества несут солидарную ответственность по обязательствам, связанным с его созданием и возникающим до государственной регистрации данного общества.
Устав общества
Устав общества является учредительным документом общества. Требования устава общества обязательны для исполнения всеми органами общества и его акционерами.
Устав общества должен содержать следующие сведения:
полное и сокращенное фирменные наименования общества;
место нахождения общества;
тип общества (открытое или закрытое);
количество, номинальную стоимость, категории (обыкновенные, привилегированные) акций и типы привилегированных акций, размещаемых обществом;
права акционеров - владельцев акций каждой категории (типа);
размер уставного капитала общества;
структуру и компетенцию органов управления общества и порядок принятия ими решений;
порядок подготовки и проведения общего собрания акционеров, в том числе перечень вопросов, решение по которым принимается органами управления общества квалифицированным большинством
сведения о филиалах и представительствах общества;
иные положения, предусмотренные настоящим Федеральным законом.
Уставом общества могут быть установлены ограничения количества акций, принадлежащих одному акционеру, и их суммарной номинальной стоимости, а также максимального числа голосов, предоставляемых одному акционеру. Устав общества может содержать другие положения, не противоречащие настоящему Федеральному закону и иным федеральным законам.
Реорганизация общества
Общество может быть добровольно реорганизовано в порядке, предусмотренном настоящим Федеральным законом.
Особенности реорганизации общества - субъекта естественной монополии, более 25 процентов акций которого закреплено в федеральной собственности, определяются федеральным законом, устанавливающим основания и порядок реорганизации такого общества.
Реорганизация общества может быть осуществлена в форме слияния, присоединения, разделения, выделения и преобразования. Общество считается реорганизованным, за исключением случаев реорганизации в форме присоединения, с момента государственной регистрации вновь возникших юридических лиц.
При реорганизации общества путем присоединения к другому обществу первое из них считается реорганизованным с момента внесения органом государственной регистрации в единый государственный реестр юридических лиц записи о прекращении деятельности присоединенного общества.
Слиянием обществ признается возникновение нового общества путем передачи ему всех прав и обязанностей двух или нескольких обществ с прекращением последних. Общества, участвующие в слиянии, заключают договор о слиянии, в котором определяются порядок и условия слияния, а также порядок конвертации акций каждого общества в акции и (или) иные ценные бумаги нового общества. При слиянии обществ все права и обязанности каждого из них переходят к вновь возникшему обществу в соответствии с передаточным актом.
Присоединением общества признается прекращение одного или нескольких обществ с передачей всех их прав и обязанностей другому обществу. При присоединении одного общества к другому к последнему переходят все права и обязанности присоединяемого общества в соответствии с передаточным актом.
Разделением общества признается прекращение общества с передачей всех его прав и обязанностей вновь создаваемым обществам. При разделении общества все его права и обязанности переходят к двум или нескольким вновь создаваемым обществам в соответствии с разделительным балансом.
Выделением общества признается создание одного или нескольких обществ с передачей им части прав и обязанностей реорганизуемого общества без прекращения последнего.
Общество вправе преобразоваться в общество с ограниченной ответственностью или в производственный кооператив с соблюдением требований, установленных федеральными законами. Общество может быть ликвидировано добровольно в порядке, установленном Гражданским кодексом Российской Федерации, с учетом требований настоящего Федерального закона и устава общества. Общество может быть ликвидировано по решению суда по основаниям, предусмотренным Гражданским кодексом Российской Федерации. Ликвидация общества влечет за собой его прекращение без перехода прав и обязанностей в порядке правопреемства к другим лицам.
Юридическое лицо может быть ликвидировано:
по решению его учредителей (участников) либо органа юридического лица, уполномоченного на то учредительными документами, в том числе в связи с истечением срока, на который создано юридическое лицо, с достижением цели, ради которой оно создано, или с признанием судом недействительной регистрации юридического лица в связи с допущенными при его создании нарушениями закона или иных правовых актов, если эти нарушения носят неустранимый характер;
по решению суда в случае осуществления деятельности без надлежащего разрешения (лицензии) либо деятельности, запрещенной законом, либо с иными неоднократными или грубыми нарушениями закона или иных правовых актов, либо при систематическом осуществлении общественной или религиозной организацией (объединением), благотворительным или иным фондом деятельности, противоречащей его уставным целям, а также в иных случаях, предусмотренных настоящим Кодексом.
Оставшееся после завершения расчетов с кредиторами имущество ликвидируемого общества распределяется ликвидационной комиссией между акционерами в следующей очередности:
в первую очередь осуществляются выплаты по акциям, которые должны быть выкуплены в соответствии со статьей 75 настоящего Федерального закона (Акционеры - владельцы голосующих акций вправе требовать выкупа обществом всех или части принадлежащих им акций в случаях: реорганизации общества или совершения крупной сделки, решение о совершении которой принимается общим собранием акционеров в соответствии с пунктом 2 статьи 89 настоящего Федерального закона, если они голосовали против принятия решения о его реорганизации или совершении указанной сделки либо не принимали участия в голосовании по этим вопросам);
во вторую очередь осуществляются выплаты начисленных, но не выплаченных дивидендов по привилегированным акциям и определенной уставом общества ликвидационной стоимости по привилегированным акциям;
в третью очередь осуществляется распределение имущества ликвидируемого общества между акционерами - владельцами обыкновенных акций и всех типов привилегированных акций.
Ликвидация общества считается завершенной, а общество - прекратившим существование с момента внесения органом государственной регистрации соответствующей записи в единый государственный реестр юридических лиц.
Уставный капитал и акции общества
Уставный капитал общества составляется из номинальной стоимости акций общества, приобретенных акционерами. Номинальная стоимость всех обыкновенных акций общества должна быть одинаковой.
Уставный капитал общества определяет минимальный размер имущества общества, гарантирующего интересы его кредиторов. При учреждении общества все его акции должны быть размещены среди учредителей. Все акции общества являются именными.
Минимальный уставный капитал открытого общества должен составлять не менее тысячекратной суммы минимального размера оплаты труда, установленного федеральным законом на дату регистрации общества, а закрытого общества - не менее стократной суммы минимального размера оплаты труда, установленного федеральным законом на дату государственной регистрации общества.
Уставом общества должны быть определены количество и номинальная стоимость акций, приобретенных акционерами (размещенные акции). Уставом общества могут быть определены количество и номинальная стоимость акций, которые общество вправе размешать дополнительно к размешенным акциям (объявленные акции).
Уставный капитал общества может быть увеличен путем увеличения номинальной стоимости акций или размещения дополнительных акций. Уставный капитал общества может быть уменьшен путем уменьшения номинальной стоимости акций или сокращения их общего количества, в том числе путем приобретения части акций, в случаях, предусмотренных настоящим Федеральным законом.
Уменьшение уставного капитала общества путем приобретения и погашения части акций допускается, если такая возможность предусмотрена в уставе общества. Общество не вправе уменьшать уставный капитал, если в результате этого его размер станет меньше минимального уставного капитала общества, определяемого в соответствии с настоящим Федеральным законом на дату регистрации соответствующих изменений в уставе общества.
Каждая обыкновенная акция общества предоставляет акционеру - ее владельцу одинаковый объем прав.
Права акционеров
Акционеры - владельцы обыкновенных акций общества могут в соответствии с настоящим Федеральным законом и уставом общества участвовать в общем собрании акционеров с правом голоса по всем вопросам его компетенции, а также имеют право на получение дивидендов, а в случае ликвидации общества - право на получение части его имущества.
Акционеры - владельцы привилегированных акций общества не имеют права голоса на общем собрании акционеров, если иное не установлено настоящим Федеральным законом или уставом общества для определенного типа привилегированных акций общества.
Привилегированные акции общества одного типа предоставляют акционерам - их владельцам одинаковый объем прав и имеют одинаковую номинальную стоимость. Если уставом общества предусмотрены привилегированные акции двух и более типов, то уставом общества должна быть также установлена очередность выплаты дивидендов и ликвидационной стоимости по каждому типу привилегированных акций.
Акционеры - владельцы кумулятивных привилегированных акции определенного типа имеют право участвовать в общем собрании акционеров с правом голоса по всем вопросам его компетенции, начиная с собрания, следующего за годовым общим собранием акционеров, на котором должно было быть принято решение о выплате по этим акциям в полном размере накопленных дивидендов, если такое решение не было принято или было принято решение о неполной выплате дивидендов. Право акционеров - владельцев кумулятивных привилегированных акций определенного типа участвовать в общем собрании акционеров прекращается с момента выплаты всех накопленных по указанным акциям дивидендов в полном размере.
Общество вправе в соответствии с его уставом размешать облигации и иные ценные бумаги, предусмотренные правовыми актами Российской федерации о ценных бумагах. Общество вправе выпускать облигации. Облигация удостоверяет право ее владельца требовать погашения облигации (выплету номинальной стоимости или номинальной стоимости и процентов) в установленные сроки.
Акции общества при его учреждении должны быть полностью оплачены в течение срока, определенного уставом общества, при этом не менее 50 процентов уставного капитала общества должно быть оплачено к моменту регистрации общества, а оставшаяся часть - в течение года с момента его регистрации, если иное не установлено федеральным законом о государственной регистрации юридических лиц. Дополнительные акции общества должны быть оплачены в течение срока, определенного в соответствии с решением об их размещении, но не позднее одного года с момента их приобретения размещения). Акция не предоставляет права голоса до момента ее полной оплаты, за исключением акций, приобретаемых учредителями при создании общества.
В обществе создается резервный фонд в размере, предусмотренном уставом общества, но не менее 15 процентов от его уставного капитала. Резервный фонд общества формируется путем обязательных ежегодных отчислений до достижения им размера, установленного уставом общества. Размер ежегодных отчислений предусматривается уставом общества, но не может быть менее 5 процентов от чистой прибыли до достижения размера, установленного уставом общества. Резервный фонд общества предназначен для покрытия его убытков, а также для погашения облигаций общества и выкупа акций общества в случае отсутствия иных средств. Резервный фонд не может быть использован для иных целей.
Общество вправе ежеквартально, раз в полгода или раз в год принимать решение (объявлять) о выплате дивидендов по размещенным акциям, если иное не установлено настоящим Федеральным законом и уставом общества. Общество обязано выплатить объявленные по каждой категории (типу) акций дивиденды. Дивиденды выплачиваются деньгами, а в случаях, предусмотренных уставом общества, - иным имуществом.
Реестр акционеров общества
В реестре акционеров общества указываются сведения о каждом зарегистрированном лице (акционере или номинальном держателе акций), количестве и категориях (типах) акций, записанных на имя каждого зарегистрированного лица, иные сведения, предусмотренные правовыми актами Российской Федерации.
Держателем реестра акционеров общества может быть общество, осуществившее размещение акций, или специализированный регистратор.
Общество с числом акционеров – владельцев обыкновенных акций более пятисот обязано поручить ведение и хранение реестра акционеров общества специализированному регистратору.
Внесение записи в реестр акционеров общества осуществляется по требованию акционера или номинального держателя акций не позднее трех дней с момента представления документов, предусмотренных правовыми актами Российской Федерации.
Держатель реестра акционеров общества по требованию акционеров или номинального держателя акций обязан подтвердить его права на акции путем выдачи выписки из реестра акционеров общества, которая не является ценной бумагой.
Органы управления обществом
Высшим органом управления общества является общее собрание акционеров.
Общество обязано ежегодно проводить общее собрание акционеров (годовое общее собрание акционеров). Годовое общее собрание акционеров проводиться в сроки, устанавливаемые уставом общества, но не ранее чем через два месяца и не позднее чем через шесть месяцев после окончания финансового года общества.
На годовом общем собрании акционеров решается вопрос об избрании совета директоров (наблюдательного совета) общества, ревизионной комиссии (ревизора) общества, утверждении аудитора общества, рассматриваются представляемый советом директоров (наблюдательным советом) общества годовой отчет общества и иные документы. Проводимые помимо годового, общие собрания акционеров являются внеочередными.
Список акционеров, имеющих право на участие в общем собрании акционеров, составляется на основании данных реестра акционеров общества на дату, устанавливаемую советом директоров (наблюдательным советом) общества.
Внеочередное общее собрание акционеров проводиться по решению совета директоров (наблюдательного совета) общества на основании его собственной инициативы, требования ревизионной комиссии (ревизора) общества, аудитора общества, а также акционера (акционеров), являющиеся владельцами не менее чем 10 процентов голосующих акций общества на дату предъявления требования.
В обществе с числом акционеров – владельцев голосующих акций общества более ста создается счетная комиссия, количественный и персональный состав который утверждается общим собранием акционеров по предложению совета директоров (наблюдательного совета) общества.
В обществе с числом акционеров – владельцев голосующих акций общества более пятисот выполнение функций счетной комиссии может быть возложено на специализированного регистратора общества.
Счетная комиссия определяет кворум общего собрания акционеров, разъясняет вопросы, возникающие в связи с реализацией акционерами (их представителями) права голоса на общем собрании, разъясняет порядок голосования по вопросам, выносимым на голосование, обеспечивает установленный порядок голосования и права акционеров на участие в голосовании, подсчитывает голоса и подводит итоги голосования, составляет протокол об итогах голосования, передает в архив бюллетени для голосования.
Совет директоров (наблюдательный совет) общества осуществляет общее руководство деятельностью общества, за исключением решения вопросов.
В обществе с числом акционеров – владельцев голосующих акций менее пятидесяти устав общества может предусматривать, что функция совета директоров общества (наблюдательного совета) осуществляет общее собрание акционеров. В этом случае устав общества должен содержать указание об определенном лице или органе общества, к компетенции которого относится решение вопроса о проведении общего собрания акционеров и об утверждении его повестка дня.
Члены совета директоров (наблюдательного совета) общества избираются годовым общим собранием акционеров в порядке, предусмотренном настоящим Федеральным законом и уставом общества, сроком на один год. Лица, избранные в состав совета директоров (наблюдательного совета) общества, могут переизбираться неограниченное число раз.
По решению общего собрания акционеров полномочия любого члена (всех членов) совета директоров (наблюдательного совета) общества могут быть прекращены досрочно.
Председатель совета директоров (наблюдательного совета) общества избирается членами совета директоров (наблюдательного совета) общества из их числа большинством голосов от общего числа членов совета директоров (наблюдательного совета) общества, если иное не предусмотрено уставом общества. Совет директоров (наблюдательный совет) общества вправе в любое время переизбрать своего председателя большинством голосов от общего числа членов совета директоров (наблюдательного совета), если иное не предусмотрено уставом общества.
Руководство текущей деятельностью общества осуществляется единоличным исполнительным органом общества (директором, генеральным директором) или единоличным исполнительным органом общества (директором, генеральным директором) и коллегиальным исполнительным органом общества (правлением, дирекцией). К компетенции исполнительного органа общества относятся все вопросы руководства текущей деятельностью общества, за исключением вопросов, отнесенных к исключительной компетенции общего собрания акционеров или совета директоров (наблюдательного совета) общества.
Исполнительный орган общества организует выполнение решений общего собрания акционеров и совета директоров (наблюдательного совета) общества.
Единоличный исполнительный орган общества (директор, генеральный директор) без доверенности действует от имени общества, в том числе представляет его интересы, совершает сделки от имени общества, утверждает штаты, издает приказы и дает указания, обязательные для исполнения всеми работниками общества.
Коллегиальный исполнительный орган общества (правление, дирекция) действует на основании устава общества, а также утверждаемого советом директоров (наблюдательным советом) общества внутреннего документа общества (положения, регламента или иного документа), в котором устанавливаются сроки и порядок созыва и проведения его заседаний, а также порядок принятия решений.
Контроль за финансово - хозяйственной деятельностью общества
Для осуществления контроля за финансово - хозяйственной деятельностью общества общим собранием акционеров в соответствии с уставом общества избирается ревизионная комиссия (ревизор) общества.
Компетенция ревизионной комиссии (ревизора) общества по вопросам, не предусмотренным настоящим Федеральным законом, определяется уставом общества.
Порядок деятельности ревизионной комиссии (ревизора) общества определяется внутренним документом общества, утверждаемым общим собранием акционеров.
Проверка (ревизия) финансово - хозяйственной деятельности общества осуществляется по итогам деятельности общества за год, а также во всякое время по инициативе ревизионной комиссии (ревизора) общества, решению общего собрания акционеров, совета директоров (наблюдательного совета) общества или по требованию акционера (акционеров) общества, владеющего в совокупности не менее чем 10 процентами голосующих акций общества.
Аудитор (гражданин или аудиторская организация) общества осуществляет проверку финансово - хозяйственной деятельности общества в соответствии с правовыми актами Российской Федерации на основании заключаемого с ним договора. Общее собрание акционеров утверждает аудитора общества. Размер оплаты его услуг определяется советом директоров (наблюдательным советом) общества,
По итогам проверки финансово-хозяйственной деятельности общества ревизионная комиссия (ревизор) общества или аудитор общества составляет заключение, в котором должны содержаться:
подтверждение достоверности данных, содержащихся в отчетах, и иных финансовых документов общества;
информация о фактах нарушения установленных правовыми актами Российской Федерации порядка ведения бухгалтерского учета и представления финансовой отчетности, а также правовых актов Российской Федерации при осуществлении финансово - хозяйственной деятельности.
Общество обязано вести бухгалтерский учет и представлять финансовую отчетность в порядке, установленном настоящим Федеральным законом и иными правовыми актами российской Федерации. Ответственность за организацию, состояние и достоверность бухгалтерского учета в обществе, своевременное представление ежегодного отчета и другой финансовой отчетности в соответствующие органы, а также сведений о деятельности общества, представляемых акционерам, кредиторам и в средства массовой информации, несет исполнительный орган общества в соответствии с настоящим Федеральным законом, иными правовыми актами Российской Федерации, уставом общества.
Перед опубликованием обществом указанных документов общество обязано привлечь для ежегодной проверки и подтверждения годовой финансовой отчетности аудитора, несвязанного имущественными интересами с обществом или его акционерами.
Годовой отчет общества подлежит предварительному утверждению советом директоров (наблюдательным советом) общества не позднее чем за 30 дней до даты проведения годового общего собрания акционеров.
Определение рыночной стоимости имущества
Рыночной стоимостью имущества, включая стоимость акций или иных ценных бумаг общества, является цена, по которой продавец, имеющий полную информацию о стоимости имущества и не обязанный его продавать, согласен был бы продать его, а покупатель, имеющий полную информацию о стоимости имущества и не обязанный его приобрести, согласен был бы приобрести. Рыночная стоимость имущества определяется решением совета директоров (наблюдательного совета) общества, за исключением случаев, когда в соответствии с настоящим Федеральным законом рыночная стоимость определяется судом или иным органом.
Если лицо, заинтересованное в совершении одной или нескольких сделок, при которых требуется определение рыночной стоимости имущества, является членом совета директоров (наблюдательного совета) общества, рыночная стоимость имущества определяется решением членов совета директоров (наблюдательного совета) общества, не заинтересованных в совершении сделки.
В обществе с числом акционеров одна тысяча и более рыночная стоимость имущества определяется независимыми директорами, не заинтересованными в совершении сделки.
Для определения рыночной стоимости имущества может быть привлечен независимый оценщик (аудитор). Привлечение независимого оценщика (аудитора) для определения рыночной стоимости имущества является обязательным в случае выкупа обществом у акционеров принадлежащих им акций.
Хранение документов общества
Общество обязано хранить следующие документы:
устав общества, изменения и дополнения, внесенные в устав общества, зарегистрированные в установленном порядке, решение о создании общества, свидетельство о государственной регистрации общества;
документы, подтверждающие права общества на имущество, находящееся на его балансе;
внутренние документы общества, утверждаемые общим собранием акционеров и иными органами управления общества;
положение о филиале или представительстве общества;
годовой финансовый отчет;
проспект эмиссии акций общества;
документы бухгалтерского учета;
документы финансовой отчетности, представляемые в соответствующие органы;
протоколы общих собраний акционеров общества, заседаний совета директоров (наблюдательного совета) общества, ревизионной комиссии (ревизора) общества и коллегиального исполнительного органа общества (правления, дирекции);
списки аффилированных лиц общества с указанием количества и категории (типа) принадлежащих им акций;
заключения ревизионной комиссии (ревизора) общества, аудитора общества, государственных и муниципальных органов финансового контроля;
иные документы, предусмотренные настоящим Федеральным законом, уставом общества, внутренними документами общества, решениями общего собрания акционеров, совета директоров (наблюдательного совета) общества, органов управления общества, а также документы, предусмотренные правовыми актами Российской Федерации.
3. Структура ТЭЦ
ДИРЕКТОР
ОКС
Старший инспектор по кадрам
Инспектор по курсам
ПЭО
Бухгалтерия
АХО
Главный инженер
ПТО
4. Расчет численности ТЭЦ
Установленная паропроизводительность - 1680 т/ч. Определяем численность котельного цеха по нормативу 1.4.2.2.2.
Нормативы численности рабочих по обслуживанию котельного оборудования ТЭС с поперечными связями определяются по табл. 1.4.2.15-1.4.2.18 в зависимости от вида топлива, кол-ва котлов, установленной паропроизводительности котельной и фактического расхода условного топлива.
Котлы:
3
ТП-87
1
ТП-87-1
Паропроизводительность:
=1680
т/ч
Паропроизводительность: ТП-87=420 т/ч
По таблице 1.4.2.15-1.4.2.18 численность составит: 38 человек
Установленная мощность ТЭЦ-260 МВт. Определим численность турбинного цеха по нормативу 1.4.2.2.3.
Нормативы численности по обслуживанию турбинного оборудования ТЭС с поперечными связями определяют по таблице 1.4.2.19 в зависимости от кол-ва турбин и установочной мощности.
Турбины:
1
ПТ-100-130
2
ПТ-80-130
Установленная
электрическая
мощность:
=260
МВт
Потребляемый пар одной турбины: 485 т/ч
По таблице 1.4.2.19 численность составит: 27 человек
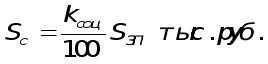
| Определение себестоимости энергии, отпускаемой от ТЭЦ. | |||||||||||
| Себестоимость является важнейшим экономическим показателем работы энергопредприятий и представляет собой совокупность затрат в денежной форме на производство энергии. | |||||||||||
| Задачей планирования себестоимости является определение общей суммы годовых затрат и годовых затрат на единицу отпускаемой энергии. | |||||||||||
| Принятая группировка затрат на производство энергии на ТЭС включает в себя следующие калькуляционные статьи: | |||||||||||
| 1.Топливо на технологические цели. | |||||||||||
| 2.Вода на технологические цели. | |||||||||||
| 3.Основная заработная плата производственного (вахтенного) персонала. | |||||||||||
| 4.Дополнительная заработная плата производственного (вахтенного) персонала. | |||||||||||
| 5.Отчисления на социальное страхование с заработной платы производственного персонала. | |||||||||||
| 6.Расходы по содержанию и эксплуатации оборудования. | |||||||||||
| 7.Расходы по подготовке и освоению производства. | |||||||||||
| 8.Цеховые расходы. | |||||||||||
| 9.Общестанционные расходы. | |||||||||||
| I.Топливо на технологические нужды. | |||||||||||
| По этой статье отражается стоимость топлива расходуемого непосредственно на производство тепловой и электрической энергии. | |||||||||||
|
|||||||||||
| где Вн - годовой расход натурального топлива, т.н.т.(1000н.куб.м); | |||||||||||
| a - коэффициент, учитывающий потери топлива при хранении и внутренних перебросках, 1-2%; | |||||||||||
| Цт - прейскурантная цена топлива, руб/т.н.т. (1000 н.куб.м)(табл.33-36 приложения); | |||||||||||
| Цтр - тариф на перевозку топлива (учитывается только для твердого топлива - табл.6). | |||||||||||
| Вн= | 1855454 | т н.т. | |||||||||
| a= | 1 | % | |||||||||
| Цт= | 800 | руб/т н.т. | |||||||||
| Цтр= | 120 | руб/т н.т. | |||||||||
| Sт= | 1724087.857 | тыс.руб. | |||||||||
| При сжигании на ТЭС различных видов топлива затраты определяются по каждому виду, а затем суммируются. В этом случае определяется средняя цена тонны условного топлива. | |||||||||||
| II.Вода на технологические нужды. | |||||||||||
| По этой статье учитываются затраты на воду, расходуемую на технологические цели: | |||||||||||
| - по котельному цеху - на питание котлов для гидрозолоудаления и золошлакоулавливания - а1 ; | |||||||||||
| - по теплофикационному отделению - для пополнения системы теплофикации и отпуска горячей воды - a2 ; | |||||||||||
| - по машинному цеху - для системы циркуляционного водоснабжения; - по электроцеху - для охлаждения трансформаторов и т.п. - а3 . | |||||||||||
| По этой же статье учитываютсявсе затраты по химводоочистке за исключением амортизационных отчислений. | |||||||||||
| Укрупненно затраты могут быть определены по формуле. | |||||||||||
|
|||||||||||
| где Вн - годовой расход натурального топлива, т н.т.; | Bн= | 1855454 | т н.т. | ||||||||
| S D - суммарная паропроизводительность котельной, т/час; | SD= | 1680 | т/час | ||||||||
| Руст - установленная мощность станции (блока), кВт; | Pуст= | 260000 | кВт | ||||||||
| а1 - 200-250 руб/1000 т н.т. (только для угля) ; | а1= | 250 | руб/1000 т н.т. | ||||||||
| а2 - 600-700 руб/т ; | а2= | 700 | руб/т | ||||||||
| а3 - 20-30 руб/кВт ; | а3= | 30 | руб/кВт | ||||||||
| Sв= | 9439.864 | тыс.руб. | |||||||||
| III.Основная и дополнительная заработная плата производственного (вахтенного) персонала. | |||||||||||
| По этой статье учитывается заработная плата производственных рабочих, непосредственно учавствующих в технологическом процессе производства энергии, а также заработная плата инженерно-технических работников (ИТР), выполняющих функции вахтенного персонала. По этой же статье учитываются премии, выплачиваемые за счет фонда заработной платы, а также районные надбавки. | |||||||||||
| К дополнительной заработной плате относятся выплаты, предусмотренные законодательством о труде или коллективным договором за непроработанное на производстве время (оплата отпусков и т.п.). | |||||||||||
| где Руст - установленная мощность станции (блока), МВт; | |||||||||||
| Кр - районный коэффициент по оплате труда (табл.10); | |||||||||||
| ЗПср - среднегодовая заработная плата с учетом премий, руб. | |||||||||||
| Принимается: для ТЭС с турбоагрегатами до 100 МВт - 36000 руб/год; | |||||||||||
| для ТЭС с блоками 150-200 МВт - 42000 руб/год; | |||||||||||
| для ТЭС с блоками 300 МВт и выше - 40000-45000 руб/год. | |||||||||||
| Кэ - штатный коэффициент эксплуатационного персонала (табл.7-9), чел/МВт; | |||||||||||
| aв - доля вахтенного персонала в численности эксплуатационного. Принимается - 0,65 - 0,7. | |||||||||||
| Руст= | 260 | МВт | |||||||||
| Кр= | 1 | ||||||||||
| ЗПср= | 48000 | руб | Sзп= | 13790.400 | тыс.руб. | ||||||
| Кэ= | 1.7 | чел/МВт | |||||||||
| a = | 0.65 | ||||||||||
| К эксплуатационному персоналу относится: | |||||||||||
| - административно-управленческий персонал (АУП); | |||||||||||
| - производственный персонал при АУП (рабочие МТС и группы хозяйственного обслуживания); | |||||||||||
| - вахтенный персонал; | |||||||||||
| - общецеховой персонал, не занятый ремонтом; | |||||||||||
| - персонал по наладке и испытанию котлотурбинного оборудования; | |||||||||||
| - персонал лабораторий. | |||||||||||
| IV.Отчисления на социальное страхование с заработной платы (единый социальный налог). | |||||||||||
|
|||||||||||
| где kсоц - ставка единого социального налога,% | kсоц= | 35.6 | % | ||||||||
| Sс= | 4909.382 | тыс.руб. | |||||||||
| V.Расходы по содержанию и эксплуатации оборудования. | |||||||||||
| По этой статье учитываются расходы на: | |||||||||||
| - по содержанию оборудования и других рабочих мест (смазочные, обтирочные материалы); | |||||||||||
| - на текущий ремонт производственного оборудования и транспортных средств; | |||||||||||
| - на амортизацию производственного оборудования и транспортных средств; | |||||||||||
| - прочие расходы. | |||||||||||
| где b - коэффициент, учитывающий расходы на текущий ремонт и эксплуатацию оборудования; 2 - 2,5 (меньшие значения для более | |||||||||||
| крупных станций); | |||||||||||
| Иам - годовая величина амортизационных отчислений, тыс.руб. | |||||||||||
| b= | 2.5 | ||||||||||
|
|||||||||||
| где На - норма амортизации (табл.11-13),%; | |||||||||||
| Коб - величина капиталовложений в производственное оборудование, тыс.руб. | |||||||||||
| На= | 3.7 | % | |||||||||
| где Ктэс - капитальные затраты в строительство ТЭС, тыс.руб. Ктэс рассчитывается двумя способами : | |||||||||||
| 1. | |||||||||||
| где kуд - удельные капиталовложения в 1 кВт мощности, руб/кВт; | |||||||||||
| Nуст - установленная мощность, кВт. | |||||||||||
| 2. | |||||||||||
| где Кка1, Кта1 - капиталовложения в первый котло- и турбоагрегат, руб; | |||||||||||
| Кка(посл), Кта(посл) - капиталовложения в последующий котло- и турбоагрегат, руб; | |||||||||||
| m, n - количество котло- и турбоагрегатов. | |||||||||||
| 0,95 - коэффициент, учитывающий возвратные суммы; | |||||||||||
| kоб - коэффициент, учитывающий долю затрат на оборудование и его монтаж : | |||||||||||
| 0,55 - 0,6 - большие значения для ТЭЦ с турбоагрегатами Т-125, Т-175, Т-250. | |||||||||||
| Ктэс= | 780000 | тыс.руб. | |||||||||
| Коб= | 741000 | тыс.руб. | |||||||||
| Sам= | 27417 | тыс.руб. | |||||||||
| Sэкс= | 68542.5 | тыс.руб. | |||||||||
| VI.Расходы по подготовке и освоению производства (пусковые расходы). | |||||||||||
| По этой статье учитываются расходы: | |||||||||||
| - по оплате монтажного персонала за участие в комплексном опробовании; | |||||||||||
| - на оплату работ пусконаладочных организаций; | |||||||||||
| - затраты на топливо, энергоресурсы, полученные со стороны, прочие эксплуатационные и вспомогательные материалы; | |||||||||||
| - на заработную плату эксплуатационного персонала. | |||||||||||
| Пусковые расходы относятся на себестоимость продукции в нормализованном порядке в течении двух календарных лет с момента пуска : | |||||||||||
| - в первый год - одну треть; | |||||||||||
| - во второй год - две трети пусковых затрат. | |||||||||||
| В курсовом проекте эти затраты принять равными нулю и не считать. | |||||||||||
| Укрупненно пусковые расходы могут быть определены следующим образом : | |||||||||||
| где Ипт - пусковые расходы на топливо, тыс.руб.; | |||||||||||
| Ипо - пусковые расходы на обслуживание, тыс.руб. | |||||||||||
| Расходы на топливо | |||||||||||
| где a - коэффициент загрузки : 0,3 - при комплексном опробовании, | |||||||||||
| 0,4 - при наладочной эксплуатации; | |||||||||||
| b - коэффициент, учитывающий увеличение удельных расходов топлива : | |||||||||||
| 1,15 - при комплексном опробовании, | |||||||||||
| 1,1 - при наладочной эксплуатации; | |||||||||||
| j - коэффициент, учитывающий использование оборудования во времени, 0,8 - 0,9; | |||||||||||
| Рном - номинальная мощность, кВт; | |||||||||||
| tп - продолжительность пускового периода : для комплексного опробования для ТЭС на газе и мазуте - 15 дней, | |||||||||||
| для ТЭС на твердом топливе - 30 дней. | |||||||||||
| Продолжительность стадии наладочной эксплуатации принмается до 6 месяцев. | |||||||||||
| b - удельный расход условного топлива, кг/кВтч; | |||||||||||
| Цт - цена условного топлива, руб/ т у.т. | |||||||||||
| a= | 0 | ||||||||||
| b= | 0 | ||||||||||
| j= | 0 | ||||||||||
| Рном= | 0 | кВт | |||||||||
| tп= | 0 | дней | => | Sп= | 0.00 | тыс.руб. | |||||
| b= | 0 | кг/кВтч | |||||||||
| Цт= | 0 | руб/ т у.т. | |||||||||
| kсн= | 0 | % | |||||||||
| Расходы по обслуживанию | |||||||||||
| где Рн - номинальная мощность, МВт; | |||||||||||
| ЗП - среднемесячная заработная плата с учетом премий, руб; | |||||||||||
| t - продолжительность пускового периода, мес; | |||||||||||
| б - коэффициент, учитывающий долю затрат, относимых на пусковые расходы, 0,75. | |||||||||||
| ЗП= | 0 | руб. | |||||||||
| t= | 0 | мес. | Sпо= | 0.00 | тыс.руб. | ||||||
| б= | 0 | ||||||||||
| Sп= | 0.00 | тыс.руб. | |||||||||
| Пусковые расходы следует определять отдельно на период комплексного опробования и на период наладочной эксплуатации, а затем суммировать. | |||||||||||
| Расходы по вводу агрегатов на действующих электростанциях к пусковым не относятся. В расчете принять равными нулю. | |||||||||||
| VII.Цеховые расходы. | |||||||||||
| По этой статье учитываются расходы по обслуживанию цехов и управлению ими : | |||||||||||
| - заработная плата аппарата управления цехом; | |||||||||||
| - амортизация и затраты по содержанию и текущему ремонту зданий и инвентаря общецехового назначения идр. | |||||||||||
| Укрупненно цеховые расходы могут быть приняты в доле от расходов по содержанию и эксплуатации оборудования | |||||||||||
| Величина b может быть принята в следующих размерах | |||||||||||
| Руст, МВт | 10 - 50 | 50 - 100 | 100 | ||||||||
| b | 0,3 - 0,35 | 0,2 - 0,25 | 0,12 - 0,19 | ||||||||
| b= | 0.12 | ||||||||||
| Sцех= | 8225.100 | тыс.руб. | |||||||||
| IV.Общестанционные затраты. | |||||||||||
| По данной статье учитываются расходы по управлению энергопредприятием : | |||||||||||
| - содержание аппарата управления; | |||||||||||
| - общепроизводственные затраты (содержание, текущий ремонт, амортизация зданий общестанционного назначения, рационализация и охрана труда); | |||||||||||
| - прочие отчисления (вышестоящим организациям и т.п.). | |||||||||||
| Приближенно определяются по формуле | |||||||||||
| где ЗПср - среднегодовая заработная плата административно-управленческого персонала, 40000 - 60000 руб. | |||||||||||
| Кр - районный коэффициент по заработной плате (табл.10); | |||||||||||
| nауп - численность АУП (табл.7-9, для ТЭЦ - 5% от общей численности персонала). | |||||||||||
| Величина j может быть принята в следующих размерах | |||||||||||
| Руст, МВт | 10 - 50 | 50 - 100 | 100 | ||||||||
| j | 0.2 | 0.16 | 0.1 | ||||||||
| j= | 0.1 | ||||||||||
| ЗПср= | 60.84 | тыс.руб. | |||||||||
| nауп= | 20 | чел. | |||||||||
| Кр= | 1 | ||||||||||
| Sобщ= | 8893.560 | тыс.руб. | |||||||||
| После расчета затрат по статьям калькуляции определяется обшая сумма затрат по ТЭС в период нормальной эксплуатации | |||||||||||
| Sтэс= | 1837888.66 | тыс.руб. | |||||||||
| и затраты во второй год эксплуатации |
|
||||||||||
| Считаются, если пусковые расходы не равны нулю. | |||||||||||
| S2= | 0.00 | тыс.руб. | |||||||||
| IX.Калькуляция себестоимости. | |||||||||||
| Целью составления калькуляции себестоимости является определение затрат на единицу отпускаемой энергии и определение удельного веса отдельных составляюзих затрат. | |||||||||||
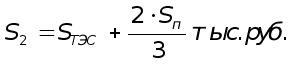
| В случае отпуска тепла на теплофикацию от КЭС распределение затрат между тепловой и электрической энергией осуществляется пропорционально расходу топлива. Для АЭС - пропорционально расходу тепла из реактора на выработку электроэнергии и расходу тепла, связанному с отпуском тепловой энергии на теплофикацию. | |||||||||||
|
|||||||||||
| Расчет ведется по форме таблицы 1 | |||||||||||
| Для ТЭЦ предварительно необходимо распределить затраты между тепловой и электрической энергией по физическому методу в зависимости от участия того или иного цеха в производстве этих видов энергии. | |||||||||||
| В укрупненных расчетах затрат на ТЭЦ выделяются три группы цехов : | |||||||||||
| 1. ТТЦ, КЦ, ХЦ и цех ТАиК; | |||||||||||
| 2. ТЦ и ЭЦ; | |||||||||||
| 3. общестанционные расходы. | |||||||||||
| Распределение затрат по группам цехов производится в пропорциях, приведенных в таблице. Синим цветом показаны пределы, в которых находятся данные величины. | |||||||||||
| Группы | Статьи затрат | ||||||||||
| цехов | Ит | Ив | Изп | Ис | Иэкс | Ицех | Иобщ | ||||
| 1 | 100 | 70 - 80 | 60 - 70 | 60 - 70 | 55 - 60 | 65 - 70 | - | ||||
| 100 | 70 | 70 | 60 | 55 | 65 | - | |||||
| 2 | - | 20 - 30 | 30 - 40 | 30 - 40 | 40 - 45 | 30 - 35 | - | ||||
| - | 30 | 30 | 40 | 45 | 35 | - | |||||
| 3 | - | - | - | - | - | - | 100 | ||||
| Всего | 100 | 100 | 100 | 100 | 100 | 100 | 100 | ||||
| После распределения затрат по группам цехов производится распределение затрат между тепловой и электрической энергией. При этом затраты 1 группы цехов распределяются пропорционально расходу топлива на отпуск тепловой и электрической энергии | |||||||||||
|
|
||||||||||
| и т.д. | |||||||||||
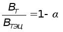
| Вэ= | 407632 | ||||||||||
| Втэ= | 1447822 | a= | 0.21969 | ||||||||
| Ву= | 1855454 | 1-a= | 0.78031 | ||||||||
| Количество отпущенной тепловой энергии | Wотп т= | 7641287.00 | Гкал | ||||||||
| Количество отпущенной электрической энергии | Wотп э= | 1600000 | кВтч | ||||||||
| Табл.1 | |||||||||||
| Распределение затрат по группам цехов | |||||||||||
| Статьи калькуляции | Группа | Распределение затрат | |||||||||
| цехов | На электроэнергию | На тепловую энергию | |||||||||
| 1 группы цехов | 2 группы цехов | Всего | 1 группы цехов | Всего | |||||||
| Топливо на техноло- гические нужды | 1 | 378771.654 | - | 378771.654 | 1345316.202 | 1345316.202 | |||||
| Вода на технологичес- кие нужды | 1 и 2 | 1451.717 | 622.164 | 2073.881 | 7365.983 | 7365.983 | |||||
| Зарплата вахтенного персонала | 1 и 2 | 2120.767 | 908.900 | 3029.667 | 10760.733 | 10760.733 | |||||
| Отчисления на социаль- ные нужды | 1 и 2 | 647.137 | 431.425 | 1078.562 | 3830.821 | 3830.821 | |||||
| Расходы по содержанию и эксплуатации | 1 и 2 | 8282.105 | 6776.267 | 15058.372 | 53484.128 | 53484.128 | |||||
| Цеховые расходы | 1 и 2 | 1174.553 | 632.452 | 1807.005 | 6418.095 | 6418.095 | |||||
| Общестанционные рас- ходы | 3 | - | - | 1953.861 | 6939.699 | 6939.699 | |||||
| Итого затрат | - | 392447.933 | 9371.208 | 403773.002 | 1434115.661 | 1434115.661 | |||||
| Табл.2 | |||||||||||
| Калькуляция себестоимости тепловой и электрической энергии | |||||||||||
| Статья затрат | Всего затрат | В том числе | |||||||||
| На тепловую энергию | На электрическую энергию | ||||||||||
| тыс.руб. | % | Всего тыс.руб. | На 1 Гкал, руб/Гкал | % | Всего | На 1 кВтч | % | ||||
| тыс.руб. | руб/кВтч | ||||||||||
| Топливо на техноло- гические нужды | 1724087.86 | 93.81 | 1345316.20 | 176.06 | 93.81 | 378771.65 | 0.24 | 93.81 | |||
| Вода на технологичес- кие нужды | 9439.86 | 0.51 | 7365.98 | 0.96 | 0.51 | 2073.88 | 0 | 0.51 | |||
| Зарплата вахтенного персонала | 13790.40 | 0.75 | 10760.73 | 1.41 | 0.75 | 3029.67 | 0 | 0.75 | |||
| Отчисления на социаль- ные нужды | 4909.38 | 0.27 | 3830.82 | 0.5 | 0.27 | 1078.56 | 0 | 0.27 | |||
| Расходы по содержанию и эксплуатации | 68542.50 | 3.73 | 53484.13 | 7 | 3.73 | 15058.37 | 0.01 | 3.73 | |||
| Цеховые расходы | 8225.10 | 0.45 | 6418.10 | 0.84 | 0.45 | 1807.00 | 0 | 0.45 | |||
| Общестанционные рас- ходы | 8893.56 | 0.48 | 6939.70 | 0.91 | 0.48 | 1953.86 | 0 | 0.48 | |||
| Итого | 1837888.66 | 100 | 1434115.66 | 187.68 | 100.00 | 403773.00 | 0.2524 | 100.00 | |||
6. Расчет эффективности от модернизации автоматики котла
Проводится модернизация системы автоматического регулирования парового котла с целью повышения надежности работы оборудования, то есть уменьшения времени простоя оборудования в течение возможных ремонтов. Экономический эффект ожидается от увеличения времени наработки между отказами оборудования.
Затраты на новое оборудование.
-
№ п/п
Наименование затрат
Сумма, руб.
1 Контроллер Tikon (Коб)
108000 2 Запасные части (0.02* Коб)
2170 3 Коммутирующая аппаратура (0.01* Коб)
1080 4 Тара и упаковка (0.02* Коб)
2170 5 Транспорт (0.03* Коб)
3240 6 Монтаж (0.15* Коб)
16275
Итого:132935 руб.
Так как нам понадобится 1 комплект, следовательно общие затраты составляют:
К = 132935 руб.
Определение суммарной годовой эффективности от усовершенствования аппаратуры.
-
времяпростоя
котла в ремонте
со старой схемой
атоматизации
(из опыта эксплуатации).
Внедрение новой системы регулирования позволяет сократить время простоя на 4 % (из опыта эксплуатации):
ч
7320-720
= 6600 ч
7320-691
= 6629 ч
Внедрение средств автоматизации приводит к увеличению коэффициента ипользования на 1-2 %.

Число часов использования номинальной нагрузки котла:
hБ.В = 6600*0,82 = 5412, ч/год
hН.В = 6629*0,8364 = 5544,5, ч/год
Отпущенное кол-во электроэнергии за год:
Wo=h*Nуст, Nуст=260000 кВт

Ожидаемая прибыль от внедрения новой аппаратуры:

Тэ = 0,8 руб/кВт*ч;
Sэ = 0,25 руб/кВт*ч;
ΔW = 4,226*106 кВт*ч/год;
Нам = 14,3 %;
К = 132935 руб
Цт = 800 руб/т;
Крем = 3%;
Вн = 463863,5 т.н.т
Sрем.ф = (kрем.ф/100)*kуд.к*Nуст
Sрем.ф=23,4*106 руб/год
ΔSрем.ф = (720-691)/6600* Sрем.ф = 102818 руб/год
Расход топлива: Gт = Вн/6600 = 70,28 т/ч
Дополнительный расход топлива на время увеличения работы оборудования:
ΔВ = 70,28*40 = 2811.2 т/ч
ΔПр = 112448 руб/год
Простой срок окупаемости:
Токуп = К/ΔПр, лет, где
К-капитальные затраты, руб.;
ΔПр-поступления денежных средств без учета поступлений от амортизационных отчислений, руб./год.
Если Токуп<Тн = 2-3 года, то проект является выгодным.
Метод является наиболее простым, но этот метод не учитывает изменение покупательской способности поступающих денежных средств во времени.
Токуп = К/ΔПр = 132935/112448 = 1.3 год = 15.6 мес.
Расчет чистого дисконтированного дохода (NPV):
руб (5.1)
ДПt = ΔПр - Hпр+Sам, руб/год:
ДПt = 112448-26987.5+20480,16 = 105940.6 руб/год
Hпр = ΔПр*
/100,
где
-ставка
налога на прибыль,
%
Нпр = 112448*24/100 = 26987.5 руб/год
Sам = К*Нам/100 = 132935*14,3/100 = 20480,16 руб/год
Так как капитальные вложения предусматриваются в первый год (год непосредственно установки нового оборудования), то формула (5.1) преобретает вид:
руб (5.2) где
где
i-коэффициент инфляции (I=14 %)
-ставка
центробанка
(
=21
%)
Пусть d = 0.38
NPV = 105940.6/(1+0.38)+105940.6/(1+0.38)2-132935 = -10822.1 руб.
Пусть d = 0.1
NPV=105940.6/(1+0.1)+105940.6/(1+0.1)2-143220 = 40643.85 руб.
В результате расчета получили, что проект по модернизации котла является не рентабельным в нынешней экономической ситуации в стране, поскольку достаточно высоки темпы инфляции вследствиии чего и проценты по кредиту.
7. Расчет фонда заработной платы
Численность цеха ТАИ – 25 человек.
Начальник ЦТАИ: 1 человек (12 тарифный разряд);
Начальник смены: 4 человека (10 тарифный разряд);
Оператор по автоматизации: 4 человека (9 тарифный разряд) и 4 человека (8 тарифный разряд);
Электрослесарь: 8 человек (5 тарифный разряд) и 4 человека (3 тарифный разряд);
7.1 Расчет заработной платы инженерно-технических работников (дневная смена)
7.1.1 Начальник КЦ
К12=5.10
Тарифный фонда заработной платы:
Фтар=Омес*12*Ки.р.в.;
Омес=1200 (руб./мес.);
Ки.р.в.=Тэф/Тном – коэффициент используемого рабочего времени.
Номинальный фонд рабочего времени:
Тном=241*8+10*7=1998 (час/год).
Эффективный фонд рабочего времени:
,
где
-
планируемые
потери рабочего
времени на
основные и дополнительные отпуска, болезни и т.д.
Продолжительность основного отпуска 24 дня.
Продолжительность дополнительного отпуска для руководящих работников 12 дней.
Потери времени по болезни 4 дня в году.
=(24+12+9+1)*8=368
ч/год
Тэф=1998-368=1630 (ч/год);
Ки.р.в.=1630/1998=0.81;
О12=О1*К12=1200*5,1=6120 (руб./мес.);
Фтар=3120*12*0.81=59486,4 (руб./год);
=Фтар+Премия
Пр=0,5*Фтар=0,5*59486,4=29743,2 (руб./год);
=59486,4+29743,2=89229,6
(руб./год);
=0,1*
=8922,96
(руб./год);
=89229,+8922,96=98152,56
(руб./год);
7.2 Расчет заработной платы работников работающих посменно (3 смены, 4 бригады).
7.2.1 Начальник смены
К10=3.99

О10мес=4788
(руб./мес.);
Т ’ном=8*3*365/4=2190 час/год>Tном.
При непрерывном режиме работы (3 смены) и 8-часового дня число часов в праздник:
Тпразд.=8*3*10=240 (час/год);
На одного рабочего: Тпразд1.=240/4=60 (час/год);
Из них на праздники приходится 60 часов.
Переработка сверх годовой нормы часов:
T пер =Т ’ном- Т ном ==2190-1998=192 (час/год);
T ’пер=192-60=132 (час/год);
Считаем, что 132 час в год переработки компенсируется предоставлением рабочим дополнительных выходных дней.
Т*ном=2190-132=2058 (час/год);
=(24+12+9+1)*8*3/4=276
(час/год);
Тэф=
Т*ном -
=2058-276=1782
(час/год);
=Oмес*12/Тэф=4788*12/1782=32,24 (руб./час);
Фтар=Тэф=57451,68(руб./год);
Пр=28725,84 (руб./год);
Доплата за работу в праздники:
Тпр=60 (час/год);
Кпр=100%
Дпр=*Тпр*Кпр/100%=1934,4 (руб./год);
Доплата за работу в ночь:
Дн=*Тн*Кн/100%;
Кн=40%;
Дн=32,24*730*40/100%=9414,08 (руб./год);
Тн=730 (час/год);
Доплата за работу в вечер:
Дв=*Тв*Кв/100%;
Кв=20%;
Дв=32,24*730*20/100%=4707,04 (руб./год);
Тв=730 (час/год);
=Фтар+Премия+Дв+Дн+Дпр=102233,04
(руб./год);
=0,1*
=10223,304
(руб./год);
=
+
=112456,344
(руб./год);
7.2.2 Электрослесарь по обслуживанию автоматики и средств измерения
К5=2,16
О5мес=2592 (руб./мес.);
=(24+6+9+1)*8*3/4=240
(час/год);
Тэф=
Т*ном -
=2058-240=1818
(час/год);
=Oмес*12/Тэф=2592*12/1818=17,1 (руб./час);
Фтар=Тэф=31087,8 (руб./год);
Пр=15543,9(руб./год);
Доплата за работу в праздники:
Дпр=*Тпр*Кпр/100%=17,1*60=1026 (руб./год);
Доплата за работу в ночь:
Дн=17,1*730*40/100%=4993,2 (руб./год);
Доплата за работу в вечер:
Дв=17,1*730*20/100%=2496,6 (руб./год);
=Фтар+Премия+Дв+Дн+Дпр=55147,5
(руб./год);
=0,1*
=5514,75
(руб./год);
=
+
=60662,25
(руб./год);
7.2.2 Электрослесарь по обслуживанию автоматики и средств измерения
К3=1,69
О3мес=2028 (руб./мес.);
=(24+6+9+1)*8*3/4=240
(час/год);
Тэф=
Т*ном -
=2058-240=1818
(час/год);
=Oмес*12/Тэф=2028*12/1818=13,4 (руб./час);
Фтар=Тэф=24361,2 (руб./год);
Пр=12180,6(руб./год);
Доплата за работу в праздники:
Дпр=*Тпр*Кпр/100%=13,4*60=804 (руб./год);
Доплата за работу в ночь:
Дн=13,4*730*40/100%=3912,8 (руб./год);
Доплата за работу в вечер:
Дв=13,4*730*20/100%=1956,4 (руб./год);
=Фтар+Премия+Дв+Дн+Дпр=43215
(руб./год);
=0,1*
=4321,5
(руб./год);
=
+
=47536,5
(руб./год);
7.2.2 Операторы по атоматизации
К9=3,53
О9мес=4236 (руб./мес.);
=(24+6+9+1)*8*3/4=240
(час/год);
Тэф=
Т*ном -
=2058-240=1818
(час/год);
=Oмес*12/Тэф=4236*12/1818=27,9 (руб./час);
Фтар=Тэф=50722,2 (руб./год);
Пр=25361,1(руб./год);
Доплата за работу в праздники:
Дпр=*Тпр*Кпр/100%=27,9*60=1674 (руб./год);
Доплата за работу в ночь:
Дн=27,9*730*40/100%=8146,8 (руб./год);
Доплата за работу в вечер:
Дв=27,9*730*20/100%=4073,4 (руб./год);
=Фтар+Премия+Дв+Дн+Дпр=89977,5
(руб./год);
=0,1*
=8997,75
(руб./год);
=
+
=98975,25
(руб./год);
7.2.2 Операторы по атоматизации
К8=3,12
О8мес=3744 (руб./мес.);
=(24+6+9+1)*8*3/4=240
(час/год);
Тэф=
Т*ном -
=2058-240=1818
(час/год);
=Oмес*12/Тэф=3744*12/1818=24,7 (руб./час);
Фтар=Тэф=44904,6 (руб./год);
Пр=22452,3(руб./год);
Доплата за работу в праздники:
Дпр=*Тпр*Кпр/100%=24,7*60=1482 (руб./год);
Доплата за работу в ночь:
Дн=24,7*730*40/100%=7212,4 (руб./год);
Доплата за работу в вечер:
Дв=27,9*730*20/100%=3606,2 (руб./год);
=Фтар+Премия+Дв+Дн+Дпр=79657,5
(руб./год);
=0,1*
=7965,75(руб./год);
=
+
=87623,25
(руб./год);
Содержание
Краткая характеристика ТЭЦ
Акционерное общество
Структура ТЭЦ
Расчет численности ТЭЦ
Определение себестоимости энергии, отпускаемой от ТЭЦ
Расчет экономической эффективности от модернизации автоматики котла
Расчет фонда заработной платы
Вывод
|
Персонал |
Кол-во чел. |
Разряд |
О руб./мес |
Тэф ч./год |
Фтар руб./год |
Пр руб./год |
Дпр руб./год |
Дн руб./год |
Дв руб./год |
Socн руб./год |
Sдоп |
S руб./год |
S*кол-во человек руб./год |
Начальник ЦТАИ |
1 | 12 | 6120 | 1630 | 59486,4 | 29743,2 | - | - | - | 89229,6 | 8922,96 | 98152,56 | 98152,56 |
|
Начальник смены |
4 | 10 | 4788 | 1782 | 57451,68 | 28725,84 | 1934,4 | 9414,08 | 4707,04 | 102233,04 | 10223,304 | 112456,3 | 449825,38 |
|
Оператор по автоматизации |
4 | 9 | 4236 | 1818 | 50722,2 | 25361,1 | 1674 | 8146,8 | 4073,4 | 89977,5 | 8997,75 | 98975,25 | 395901 |
|
Электрослесарь по обс.атоматики |
8 | 5 | 2592 | 1818 | 31087,8 | 15543,9 | 1026 | 4993,2 | 2496,6 | 55147,5 | 5514,75 | 60662,25 | 484978 |
|
Оператор по автоматизации |
4 | 8 | 3744 | 1818 | 44904.6 | 22452.3 | 1482 | 7212.4 | 3606.2 | 79657.5 | 7965,75 | 87623,25 | 350493 |
|
Электрослесарь по обс.атоматики |
4 | 3 | 2028 | 1818 | 24361,2 | 12180,6 | 804 | 3912,8 | 1956,4 | 43215 | 4321,5 | 47536,5 | 190146 |
Похожие работы
-
Определение показателей конкурентоспособности автозаправочных станции Кировского района города К
расноярска Для того чтоб определить показатель конкурентоспособности необходимо для начала определиться с факторами по которым будем оценивать АЗС. Их количество возьмем равным 10 чтоб данных для оценки было необходимое и достаточное количество:
-
Центральный федеральный округ 4
Содержание: Введение 3 Природно-ресурсный потенциал ЦЭР 4 Население и трудовые ресурсы8 Промышленный потенциал ЦЭР 10 Заключение 13 Список использованной литературы 15
-
Жилищно-коммунальное хозяйство и его проблемы
Содержание Введение…………………………………………………….……………………….3 1. Система ЖКХ 1.1. Понятие и элементы……………………………………….………………...5 1.2. Опыт представления услуг ЖКХ в странах Центральной и Восточной Европы……………………..........…………………8
-
Пути экономии топливно-энергетических ресурсов
Министерство Образования Республики Беларусь Белорусский Государственный Экономический Университет РЕФЕРАТ на тему “Пути экономии топливно-энергетических ресурсов в жилищно-коммунальном хозяйстве и бытовом обслуживании ”
-
Билеты Экономика и социология труда за осенний семестр 2000 года
Экзаменационный билет по предмету ЭКОНОМИКА И СОЦИОЛОГИЯ ТРУДА Билет № Предмет экономики труда: сущность и практическое значение. Сущность внутрицеховой кооперации и совмещения профессий.
-
Организационно-экономическое обоснование схемы энергоснабжения потребителя
МИНИСТЕРСТВО ОБРАЗОВАНИЯ И НАУКИ РОССИЙСКОЙ ФЕДЕРАЦИИ КАЗАНСКИЙ ГОСУДАРСТВЕННЫЙ ЭНЕРГЕТИЧЕСКИЙ УНИВЕРСИТЕТ Кафедра ЭОП Курсовая работа по курсу «Организация производства
-
Планирование развития систем теплоснабжения
Проблемы разработки и исполнения "Программ комплексного развития систем теплоснабжения". Моделирование условий, при которых существующие системы работали бы на уровне "идеальной организации". Разработка инвестиционных программ местными органами власти.
-
Бизнес-план по организации фирмы по производству и переработке драгметаллов
Цели и задачи предпринимательской сделки. Обобщенное резюме. Рентабельность. Баланс. Утилизация отходов. Риски. Анализ и оценка конъюнктуры рынка сбыта, спроса и объема продаж. Эффективность.
-
Расчет экономической эффективности внедрения новой техники в сфере ее эксплуатации на руднике 1РУ в 2007 г.
Особенности экономического эффекта от внедрения щеленарезной машины на руднике. Принцип интегрального экономического эффекта у потребителя новой техники. Расчет электроэнергии и экономии от повышения долговечности роликовых опор и конвейерной ленты.
-
Информационные технологии управления жилищно-коммунальной сферой
Структура жилищно-коммунального хозяйства, дистанционное управление его объектами, бухгалтерский учет и расчет оплаты за коммунальные услуги. Создание и организация работы единых информационно-расчетных центров на примере районов города Москва.