Название: Планирование на предприятии
Вид работы: реферат
Рубрика: Экономика
Размер файла: 121.26 Kb
Скачать файл: referat.me-387584.zip
Краткое описание работы: МИНИСТЕРСТВО ОБРАЗОВАНИЯ УКРАИНЫ В.И. ЗАХАРЧЕНКО ПЛАНИРОВАНИЕ НА ПРЕДПРИЯТИИ Одесса – 1999 г. УДК 338.98(075):658.012.2 ББК 65.9(2)304.15 Составил: Захарченко В.И.
Планирование на предприятии
МИНИСТЕРСТВО ОБРАЗОВАНИЯ УКРАИНЫ
В.И. ЗАХАРЧЕНКО
«ПЛАНИРОВАНИЕ НА ПРЕДПРИЯТИИ»
Одесса – 1999 г.
УДК 338.98(075):658.012.2
ББК 65.9(2)304.15
Составил: Захарченко В.И.
Планирование на предприятии. Учебное пособие. - Одесса: , 1999г., с.
Рецензенты:
Д.Э.Н., профессор, заслуженный деятель науки и техники Украины Продиус И.П. (Одесский политехнический университет);
Д.Э.Н., профессор Зайцев А.П. (Институт проблем рынка и экономико - экологических исследований НАН Украины).
В учебном пособии рассмотрены вопросы организации и планирования производственных процессов, поточного и цехового производства, подготовки производства, управления персоналом и инвестициями. Предназначено для выпускников ВУЗов и молодых предпринимателей.
Существующая организация народного
хозяйства, и прежде всего господс-
тво свободной конкуренции, чрезвы-
чайно затрудняет процесс расширения
производства и накопления нацио-
нального богатства и капитала.
(Туган-Барановский М.И. "Промышлен-
ные кризисы современной Англии, их
причины и влияния на народную
жизнь", 1894г., СПб, С.438)
Введение.
В сложнейшей системе общественного производства важно честное, слаженное функционирование всей системы в целом, а не только безупречная работа отдельных ее звеньев. Именно такую задачу целенаправленного воздействия на все элементы производства в условиях перехода экономики на рыночные отношения и достижения высокой экономической эффективности решает наука о планировании.
Разработка и обоснование теоретических положений в области планирования основывается на изучении, анализе, систематизации и обобщения опыта передовых отечественных и зарубежных предприятий. Вопросы планирования производства рассматриваются в непосредственной взаимосвязи с техническими в аспекте НТП и организации производства.
Историю планирования и организации производства можно прослеживать с момента масштабного становления промышленности - начиная с XVIIIв., когда английский механик Аркрайт создал "фабричный кодекс", предусматривающий систему штрафов при отклонении от запланированного хода производства. Говоря об этом фабричном кодексе К.Маркс назвал его карикатурой "того общественного регулирования процесса труда, которое становится необходимым при кооперации в крупной масштабе и при совместной применении средств труда, особенно машин" (Маркс К., Капитал. Т.1, 1978г., с.435).
Ф.Тейлор и его соратники Гильберт, Гант и др. выработали основные "принципы научного управления", сформулировали многие правила, нормы и технические приемы, относящиеся к нормированию труда, системам заработной платы и др.
В годы первой мировой войны американский предприниматель Г. Форд (старший) на принадлежащих ему автомобильных заводах внедрил систему непрерывно-поточной организации процессов в машинном производстве (конвейеризацию). Эту систему характеризуют следующие основные положения: максимальное разделение труда, в результате чего почти все операции могут выполнять рабочие любой квалификации при исключительно напряженном темпе работы, соблюдаемом с помощью конвейеров и других механических регуляторов ритмов труда; механизация и автоматизация многих процессов производства на основе разделение их на простейшие операции; последовательная стандартизация всех факторов производства: сырья, оборудования, инструмента, технологических режимов, трудовых приемов и форм организации.
К числу последователей Тейлора, внесших наибольший вклад в организацию труда, относится Эмерсон (автор монографии "Двенадцать принципов производительности труда" ,характеризующей общие принципы обеспечения роста производительности труда в любой сфере общественной деятельности) и в управлении А.Файоль.
Критически рассматривая американские и другие теории, Д.М.Гвишиани группирует их по следующим пяти направлениям.
Первое направление - научный менеджеризм, в котором ведущая роль отводится высшей администрации компании.
Второе направление сделало предметом своего исследования "индустриальную социологию" и выдвинуло доктрину "человеческих отношений".
Третье направление представлено эмпирической школой. Эта школа разработала проблему управления на основе обобщения и анализа опыта компаний.
Четвертое направление представлено школой социальных систем, базирующейся на теории системного подхода к вопросам организации управления.
Пятое направление, разрабатываемое представителями "новой школы", отражает последнюю тенденцию в теории и практике управления США. Эта школа ставит задачей разработку систем управления, основанных на использовании точных наук и технических средств, особенно электронно-вычислительной техники.
Новое время - новые задачи. В основном они связаны жесткой конкуренцией и капризами (в хорошем смысле) потребителей. Задачей предприятия при планировании состоит в том, чтобы воспринять "на входе" факторы производства.*)
Переработать их и "на выходе" выдать продукцию (затрат). Такого рода трансформационный процесс обозначается как производство. Его цель - в конечном ____________________________________________________________________
*) Используемая сегодня система производственных факторов восходит к Э.Гуттенбергу (1897 - 1984). Она различает две группы производственных факторов: элементарные производственные факторы и диспозитивные трудовые ресурсы. К первым относятся все материально-вещественные составляющие затраты предприятия: средства производства, сырье и материалы. Трудовые ресурсы подразделяются по виду труда на исполнительные и диспозитивные (управленческие) трудовые ресурсы (Guttenberg E. GrundLagen der Betriebswirtschaftslehre. Band II: Der Absatz,17. Auft.,Berlin ,u.a., 1984).
итоге улучшить уже имеющееся, чтобы увеличить таким образом запас средств, пригодных для удовлетворения потребностей.
Для предприятия в условиях рыночной экономики существуют определенные обстоятельства, нарушение которых означает большую опасность для его существования.
А. Принцип экономичности требует, чтобы достигался или:
а) определенный результат при наименьших затратах – принцип минимизации
или
б) при заданном объеме затрат наибольший результат - принцип максимизации.
Б. Финансовая устойчивость (равновесие) на предприятии сохраняется, если в каждый момент времени оно может произвести на этот момент времени обязательные платежи. При этом не существенно, удается ли ему поддержания
ликвидности собственными силами, путем отсрочки части его обязательных платежей или благодаря представляемым ему кредитам.
В. Высшей целью предпринимательской деятельности является превышение результатов над затратами. Производство по номенклатуре и по количеству организуется таким образом, чтобы достигалась или возможно большая прибыль, или возможно высокая рентабельность *).
Изучение этого пособия имеет цель: вооружить оканчивающих ВУЗы знаниями организации и планирования производства, достаточного для квалифицированного решения задач, возникающих на практике в этой области; повысить уровень знаний организации и планирования производства молодых предпринимателей, способствуя их активному участию в достижении высокой эффективности производства.
Данное пособие есть отражение одноименного курса, преподаваемого в Одесском политехническом университете. При его изучении также следует обращаться к сборнику задач: "Экономика производства", Одесса: Астропринт, 1998г.
_________________________________________________________________________
*) Под прибылью понимается разница между оборотами и затратами. Рентабельность предприятия позволяет судить о том, какого размера проценты приносит вложенный в него капитал.
1. Принятие решений на предприятии.
1.1. Характер ситуации принятия решения.
Важнейшей задачей руководства ПР является то, чтобы принимать решения по центральным вопросам политики ПР ("руководящие решения").
Возникновение ситуации принятия решения, т.е. ситуации, которая делает решение необходимым, объясняется тем, что постоянно возникают новые, существенно касающиеся ПР "обстоятельства". Само решение состоит тогда в определении дальнейшей политики, принимающей во внимание новые обстоятельства. Это может означать продолжение старой и начало новой политики ПР.
Примером является вступление на рынок новых товаров (новые обстоятельства), что требует, например, новой политики в области рекламы цен, номенклатуры (рис.1).
Товар
-
Существующий товар
Новый товар
Существую-щий рынок
1.Более глубокое проник-
новение на рынок
3. Разработка нового товара
Новый рынок
2. Расширение границ рынка
4. Диверсификация (новый
товар на новый рынок)
Рис.1. Матрица Ансоффа.
1.2. Параметры решения.
Параметры решения - это рамочные условия, которые при нахождении (поиске) решения, безусловно должны приниматься во внимание. Они делятся с одной стороны: экзогенные параметры решения - данные, которые характеризуют не изменяемые ПР свойства окружающей предпринимательской среды (правовой и социальный порядок, технические знания, структура потребностей населения, цены на факторы производства, цены и качество конкурентной продукции);
эндогенные параметры решения - данные, которые характеризуют краткосрочно не изменяющиеся свойства состояния самого предприятия (производственная мощность, оборудование, квалификация рабочих);
с другой стороны:
детерминированные параметры имеют всегда определенное выражение, которое может меняться с течением времени (налоговые ставки, сроки поставки);
при стохастических параметрах принятия решения, напротив, имеются только оценочные показатели (например, возможный обьем сбыта следующего года возможен в пределах 250 станков 20%).
В таблице 1 во взаимосвязи показаны обе типизации параметров принятия решений.
Таблица 1.
Примеры параметров принятия решений
|
Параметры принятия решения |
Детерминированные |
Стохастические |
|
Экзогенные |
Налоговые ставки |
Объем сбыта |
|
Эндогенные |
Производственная мощность |
Количество брака |
1.3. Альтернатива принятия решений.
Альтернативы решений означают возможности дальнейшего проведения политики ПР, из которых может выбирать предпринимающий решение в условиях данной ситуации.
При вхождении на рынок новых конкурентов альтернативами решения могут быть, например, снижение цен, увеличение бюджета на рекламу, расширение номенклатуры. Это удобно рассматривать в схеме М.Портера (рис.2).
Фирмы-конкуренты
Потребители
Поставщики
![]()
![]()
![]()
Товары –
заменители
Рис.2. Пять сил конкуренции.
Следует помнить, что параметры решений сокращают количество возможных альтернатив решений до количества реализуемых.
1.4. Целевая установка.
После того как альтернативы решений проверяются в том смысле, совместимы ли они с параметрами решений, остается, как правило, еще много других, возможных для реализации альтернатив (включая альтернативу "ничего не делать"). Тогда целевая установка определяет, какие из общего числа всех реализуемых альтернатив решения должны быть выбраны и осуществлены.
Часто предприниматели ставят цели, которые являются лишь подцелями и промежуточными целями на пути к основной цели ПР: подцель - достижение качества продукции, промежуточная цель - завоевание большей доли на рынке, основная (главная) цель - максимизация прибыли.
Типичным является "окольный" путь достижения цели. Например, если потребители хотят иметь "мир товаров", щадящий окружающую среду, то они могут принудить к этому производителей, поставивших цель максимизации прибыли, так как потребители с их банкнотами имеют последнее слово.
Многие предприятия стремятся к тому же иногда к связке целей (например, высокий доход при незначительном риске и гарантированных рабочих местах). Если вместо одной цели преследуется "связка целей", то между отдельными целевыми компонентами может существовать конкуренция, дополнение или дифференциация целей.
А. Конкуренция целей имеет место, если реализация одной цели возможна только за счет реализации другой (рис.3). Примером здесь являются две цели: "максимально возможная прибыль" и "максимально возможная гарантия" вложений денег, так как высокие шансы прибыли всегда связаны с высокими шансами риска убытков.
Цель 1
100%
А
![]()
![]()
В
![]()
С
![]()
Цель 2
100%
Рис.3. А,В и С как возможная комбинация целей при конкуренции целей.
Б. При дополнении целей реализация одной цели способствует реализации другой (рис.4). Примером здесь являются две цели: "возможно высокая экономичность" и "максимизация прибыли".
Цель 1
100%

С
В
А
Цель 2
100%
Рис.4. А,В и С как возможная комбинация
целей при дополнении целей.
В. Дифференциация целей существует тогда, если реализация одной цели не влияет на реализацию другой, следовательно, обе цели могут осуществляться в желаемом обьеме независимо друг от друга. Примером здесь являются две цели: "снижение загрязнения воздуха" и "улучшение питания в столовой для сотрудников" (рис.5).
Цель 1
А
100%
В
![]()
![]()
![]()
С
Цель 2
100%
Рис.5. А,В и С как возможная комбинация
целей при разногласии целей.
1.5. Процесс принятия решений.
Процесс принятия решений предполагает выбор одного из двух или нескольких альтернативных вариантов. Для принятия обоснованного решения руководителям необходимо следовать рациональной модели принятия решений (рис.6).
Определение проблем
Сбор информации
![]()
Определение альтернатив
![]()
Определение оптимальных
альтернатив
![]()
Реализация решения
![]()
Определение правильности
решения
Обратная связь
![]()
![]()
Рис.6. Рациональная модель принятия решений.
1.6. Выбор альтернатив в случае "связки целей".
Если предприятие преследует целую "связку целей", то выбор альтернативы принятия решения существенно осложняется. Альтернатива только тогда однозначно превосходит другие, если она при улучшении как минимум одного целевого компонента приводит к результатам, не ухудшая другие целевые компоненты. Если же имеется альтернатива, которая относительно цели превосходит другую альтернативу, в свою очередь, обеспечивающую другую цель, тогда для окончательного выбора альтернатив выставляется определенная цель
из "связки целей" как особо значимая.
Для иллюстрации рассмотрим случай, когда руководство предприятия стремится достичь две цели: "сохранение положения на рынке" и "максимальный рост" (табл.2). Для достижения этой "связки целей" можно выбирать между альтернативами действий типа: "снижение цен", "увеличение расходов на рекламу" и "расширение номенклатуры", а кроме того, можно оценить как реальны доли в достижении целей различных альтернатив, приведенных на рис.
Таблица 2.
|
цели к от |
Сохранение положенияна рынке |
Максимальный рост |
|
Снижение цен |
Хорошо |
Плохо |
|
Увеличение расходов на рекламу |
Средне |
Средне |
|
Расширение номенклатуры |
Средне |
Плохо |
Альтернатива "расширение номенклатуры" далее не просматривается, потому что она в сравнении с увеличением расходов на рекламу однозначно проигрывает. Решение между альтернативами "снижение цен" и "увеличение расходов на рекламу" невозможно. Относительно цели "сохранение положения на рынке" снижение цен, ссылаясь на максимальный рост, превосходит увеличение бюджета рекламы. Если же руководство предприятия в качестве важнейшего целевого компонента выставит "сохранение положения на рынке", тогда окончательно победит альтернатива "снижение цен".
1.7. Теория приспособления притязаний.
Часто принимающий решение не имеет полного обзора всех возможных для реализации альтернатив, так как он имеет набор альтернатив, ограниченных и определенных временем. При этом он неосознанно следует "теории приспособления притязаний". Поиск оканчивается, если открыта альтернатива, предполагаемый целевой вклад которой удовлетворяет уровню притязаний поиска. Конечно, если, несмотря на интенсивный поиск, не находят удовлетворительной альтернативы решения, тогда снижают свой уровень притязаний, поиск прекращают и реализуют лучшую из найденных. Если же, напротив, неожиданно быстро возникает альтернатива принятия решения, то поднимают свой уровень притязаний и продолжают искать дальше (рис.7).
При поиске соответствующим целям альтернатив решений склоняются к тому, чтобы уровень притязаний приспосабливался к успешному поиску.
С Т А Р Т
Выбрать альтернативу решения
![]()
![]()
![]()
Нет
Должны ли приниматься во внимание
параметры решения
![]()
![]()
Да
Нет
Реализуема ли альтернатива решения
![]()
Да
Приемлема ли альтернатива решения
![]()
![]()
Нет
Продолжается ли процесс поиска дальше
Продолжается ли процесс поиска дальше
Нет
Да
![]()
![]()
![]()
![]()
![]()
![]()
Да
Уровень притязаний снизить
Уровень притязаний повысить
Процесс поиска закончить. Альтернативу принять
![]()
![]()
С Т О П
Рис.7. Процесс принятия решений согласно
теории соответствия притязаний.
Вопросы.
Что такое принятие управленческих решений? Назовите примеры и охарактеризуйте их.
2. Какие составные части ситуации, требующие принятия решений?
3. Обьясните, пользуясь примерами, что Вы понимаете под параметрами решения.
4. Дайте основные характеристики.
5. Обьясните понятия: различие целей, конкуренция целей, дополнение целей.
6. Что такое "окольный" (обходной) путь достижение цели? Приведите примеры.
7. В чем состоит особая проблема "связки целей" и как она должна решаться?
8. В какой степени решения, принимаемые коллегиально, таят в себе проблемы? Из чего они складываются?
9. Каковы основные принципы деятельности предприятий, какие задачи они имеют и каковы предпосылки их успешной реализации?
2. Принятие решений в сфере планирования.
Решения в сфере планирования связаны с набором правил и последовательностей, в соответствии с которыми должен протекать производственный процесс.
2.1. Гибкость планов.
Оптимальный стабильный план устанавливается в пределах горизонта планирования. Базисом такого определения могут быть, например, сценарии с различными вероятностями и оценками альтернативных возможностей поведения. Базис устанавливается по итогам года и может быть определен, например, с помощью критерия ожидаемых оценок. В результате такого "оптимального" принятия решения все же не исключены ошибочные решения, так как, особенно в последние годы, окружающая ПР среда, именно в Украине, развивалась совершенно неоднозначно.
Пример гибкого планирования на основе анализа "дерева решений" (рис.8). Производитель планирует выйти с продуктом на рынок, где конкуренты уже продают равнозначный товар. Еще не ясно, какая должна быть выбрана ценовая стратегия на время фазы продвижения товара на рынок (на плановый период).
А. Ценовая стратегия.
а) При цене конкурентов 20 в качестве собственных вариантов рассматривается цена в 15 и 20.
Прибыль при продвижении товара в конце планового пер.
120
130
80
60
40
100
80
50
![]()
![]()
![]()
![]()
![]()
![]()
![]()
![]()
![]()
![]()
![]()
![]()
![]()
![]()
17
15
15
Цена предложения
15
13
20
20
18
![]()
![]()
![]()
![]()


0.2
0.8
0.4
20
15
20
15
Цена конкурентов с вероятно-
стью вхождения на рынок
0.6
![]()

15
20
Цена предложения
![]()
20
Цена конкурентов при вхождении на рынок
Рис.8 Гибкое планирование на основе анализа "дерева решений".
б) Если выйти на рынок с ценой 15, то ожидается с вероятностью 20% (80%), что конкурент сохранит свою цену (при цене 15 снизит).
в) Если конкурент сохранит свою цену, то даже при цене 15 (17, 20) при продвижении товара на рынок может быть получена прибыль 120 (130, 80).
г) Если конкурент снижает свою цену до 15, то даже при цене 15 и в дальнейшем можно получить прибыль 60.
д) Если производитель появляется на рынке с ценой 20, тогда с вероятностью 40% (60%) ожидается, что конкурент сохранит свою цену (снизит до 15).
е) Если конкурент сохраняет свою цену, тогда даже при цене 20 (18) можно получить прибыль при продвижении товара 40 (100).
ж) Если конкурент снижает свою цену до 15, то даже при цене 15 (13) можно получить прибыль при продвижении товара 80 (50).
Б. Какая ценовая стратегия должна быть выбрана?
Для выяснения этого вопроса можно воспользоваться методом "обратного хода".
а) Прежде всего отсекаются неподходящие ("неблагоприятные") ветви. Если при цене вхождения на рынок, равной 15, конкуренты сохраняют свою цену в 20, нужно установить цену в 17, следовательно, ни держать ее равной 15, ни повышать до 20, так как тогда прибыль была бы вместо 130 лишь 120 или соответственно 80. Аналогичным образом "прореживаются" и другие альтернативы.
б) Тогда промежуточный результат выглядит следующим образом.
в) Если выбирается цена вхождения на рынок в 15, то надо повысить ее до 17 (сохранить) при условии, что конкурент сохраняет свою цену (снижает до 15).
г) Если напротив, выбирается цена вхождения на рынок в 20, тогда она должна быть снижена до 18 (15) при условии, что конкуренты свою цену сохраняют (снижают до 15).
В. Еще необходимо обьяснить, какая цена вхождения на рынок должна быть выбрана. Этот вопрос решается на основе оценки ожидаемой прибыли.
а) При цене вхождения на рынок в 15 оценка ожидаемой прибыли равна:
130 * 0.2 + 60 * 0.8 = 74
б) При цене вхождения на рынок в 20 оценка ожидаемой прибыли равна:
100 * 0.4 + 80 * 0.6 = 88
в) Следовательно, нужно выбрать цену вхождения на рынок в 20 (предпосылка - нейтральное отношение к риску принимаемого решения).
Г. В итоге получается. Цена вхождения на рынок составляет 20. Если в ответ на это конкуренты сохраняют свою цену в 20, необходимо ее снизить до 18.
Но если вместо этого конкуренты уменьшают свою цену до 15, тогда необходимо также снизить свою цену до 15.
Пример показывает, что оптимально гибкое планирование состоит в том, чтобы выждать фактическое развитие (в данном случае реакцию конкурентов).
2.2. Координация планов.
2.2.1. Разделы плана.
Вследствие неунифицированного (нестандартизированного) обьема информации, которую необходимо получить и обработать, невозможно сразу сделать общий проект плана ПР как типовой. Напротив, он строится из ряда специфических разделов общего плана:
а) план материально-технического обеспечения (снабжения);
б) план производства;
в) план капитальных вложений (инвестиций);
г) план реализации (сбыта, маркетинга);
д) финансовый план;
е) итоговый план.
Эти главные разделы общего плана подразделяются на подпланы. Так, план маркетинга состоит, например, из плана цен, номенклатуры, рекламы и др.
2.2.2. Методы координации.
Оптимальный общий план может быть обеспечен только путем так называемого синхронного множественного планирования. Однако необходимые для этого метода расчеты в настоящее время еще не разработаны. Наиболее оправданным могут показаться "методы декомпозиции", при которых проблема общего плана "раскладывается" на проблемы, включаемые в частные планы, и через расчетные цены производится итеративное согласование оптимумов подразделений, имея в виду целевую функцию ПР.
Пример графического решения скоординированного планирования с помощью задачи линейного программирования.
Принятия решений, производящие товары 1 и 2, состоит из подразделений А и Б. Производство А может изготовлять оба товара в количестве, рассчитываемом в соответствии с ограничениями, заданными как
Х1 + 2Х2 < 1000,
а маркетинг Б может продавать их в количестве, определяемом в соответствии с ограничениями, заданными как:
25Х1 + 10Х2 < 10 000,
где Х1 - количество товара 1;
Х2 - количество товара 2.
Если бы производство было бы, например, в состоянии изготавливать 500 шт. товара 1 и 200 шт. товара 2, то имелось бы:
500 + 2*200 < 1000.
Если бы пришлось сбывать такое количество продукции, сбытовое подразделение не справилось бы с этим, потому что
25 * 500 + 10 * 200 > 10 000
Единичная прибыль составляет 300 грн. - для товара 1 и 200 грн. - для товара 2, из чего следует, что общая прибыль определяется как
S T A R T
![]()
План продаж
(прогнозы заказов по каждому виду продукции на три года вперед)
План мощностей
(разложение плана продаж по спецификациям)

План инвестиций
(включая мероприятия по замене оборудования)
План развития персонала
(включая замену и переподготовку)


План результатов
с Cash-flow анализом
![]()
План финансирования
(возврат кредитов)
![]()
План финансов
(определение необходимых, а также избыточных средств)
![]()
План развития
(проблема: план развития и план продаж взаимосвязаны)
![]()
S
T O P
Рис.9. Последовательное и скоординированное планирование.
П = 300Х1 + 200Х2.
Обьем производства обоих товаров должен определяться таким образом, чтобы прибыль принятия решения была максимальной; следовательно ее целевая функция выглядит как
П = 300Х1 + 200Х2 --- max.
X1
(A)
400

![]()
![]()
![]()
Z
X2
(Б)
500
П
Рис.10. Графическое решение задачи линейного программирования.
Заштрихованный четырехугольник означает комбинацию количества обоих продуктов, которые обоими подразделениями равным образом могут быть произведены и реализованы и, следовательно, которые ведут к согласованному, если не к, безусловно, оптимальному плану. Прямая А есть "граница изготовления", а прямая Б - "граница сбыта" в соответствии с вышеупомянутыми ограничениями.
Указания к решению. Даны три функции:
(А) х1 = 1000 – 2х2
(Б) х1 = 400 – 0.4х2
(П) х1 = П / 300 – 2/3*х2
Они представляют простые преобразования приведенных выше функций (описывающих производство и сбыт товаров), а также целевой функции.
Точка Z - Х1=250; Х2=375 - максимальная прибыль (рис.10).
2.3. Срочность планов.
2.3.1. Обзор.
Планирование на предприятии происходит на трех уровнях:
а) Стратегическое планирование - долгосрочная стратегия развития предприятия в целом без подробностей. Например: в станкостроении к 2005г. номенклатуру расширить так, чтобы 30% оборота иметь в "нестаночных" областях.
б) Рамочное планирование - стратегическое планирование конкретизируется в среднесрочной перспективе. Например: в ближайшие два года осуществить ускоренный выпуск гидропрессов.
в) Тактическое планирование - планы на ближайшие 1-2 года.
б) и в) на Западе именуют оперативным планированием. У нас оперативное планирование - это 1-3 месяца.
2.3.2. Стратегическое планирование.
- относится к сфере оригинальных решений в области управления, это высший менеджмент. Пример (неудачный): Европа, Северная Америка и мы сделали в свое время ставку на большие обрабатывающие центры и проиграли японцам, идущим по пути малых универсальных станков с высокими потребительскими свойствами (аналогично с автомобилями и телевизорами).
Исходные данные для стратегического планирования:
а) структура конкурентов;
б) структура рынков сбыта;
в) тренд технического развития;
г) структура рынков снабжения;
д) правовая, социальная, экономическая и политическая окружающая среда;
е) сильные и слабые стороны.
2.3.3. Инструменты стратегического планирования.
А1. Анализ "разрывов".
В этом случае сравнивают два экстремальных сценария развития оборота стоимости товаров и услуг, реализованных потребителям:
Сценарий 1 - какого оборота можно достичь, если в будущем в существовавшем ранее процессе продажи ничего не изменится. Какого оборота можно достичь, если попытаться при максимальном напряжении проникнуть более интенсивно с существующим продуктом на существующие рынки (сценарий 2) и дополнительно развивать новые продукты и/или новые рынки (сценарий 3)?
Разницу между 2 и 1 называют оперативным, а между 2 и 3 - стратегическим разрывом. Кроме того, можно сопоставлять сильные и слабые стороны предприятия в сравнении с конкурентами, шансы и риски, возможные на рынке (рис.11).
Рост спроса
Трудный Звезда
ребенок
Собака Дойная корова
![]()
Рыночная доля
![]()
Рис.11. Матрица портфеля Бостонской консалтинговой группы.
Рис.11 - это анализ портфеля предприятия. Здесь имеется в виду стратегическое планирование не для принятия решения в целом, а для его стратегических подразделений.
Здесь для фактически занимаемых позиций должны быть запланированы стратегии, которые ведут к целевым позициям. Возможные стратегии это:
а) Build ("строить"): снижая существующие пока убытки, "трудные дети" должны стать "звездами";
б) Hold ("держать"): "дойные коровы" должны удерживать свои доли рынка и стремиться к росту, прежде всего для поддержки "звезд" и "трудных детей" (но часто создаются лишь лучшие "коровники");
в) Harvest ("собирать урожай"): не принимая во внимание долгосрочные последствия, снимаются сиюминутные "сливки" (речь идет о слабых - "дойных коровах", "собаках", "трудных детях").
г) Divest ("выселять"): товары (особенно "собаки" и "трудные дети") забираются с рынка, потому что они ничего не приносят и не ожидается их рост.
А2. Другой вариант "портфельной модели" (анализ проводится самостоятельно) (рис.12):
Рыночная привлекательность
Преимущество конкуренции
Рис.12
Б. Метод контрольного списка.
Здесь предлагаются оценки "высокая", "средняя", "низкая" ("хорошо", "средне", "плохо"). Далее должно быть возможно подразделить факторы на "обязательные", "необходимые" и "желательные".
Таблица 3.
Контрольный список
|
Факторы |
X |
Y |
Z |
|
|
|||
|
|
|||
|
|
|||
|
|
|||
|
|
Вопросы.
1. Что понимается под планированием: делает ли неопределенность будущего планирование бессмысленным; как при различных интересах участников принимается скоординированный, а также оптимальный план; что понимается под стратегическим планированием и какие инструменты имеются в распоряжении для его осуществления?
2. Почему жесткое планирование представляется проблематичным, как это можно преодолеть?
3. Что гласит "закон сбалансированного планирования"?
4. Что понимают под:
- стратегическим планированием;
- рамочном планированием;
- детальном планированием.
5. Что понимают под последовательным планированием? Насколько ограничен его потенциал?
3. Организационные решения
Организационные решения обеспечивают реализацию на ПР решений, предусмотренных планами.
Организационные решения

Решение об организационном строении
Решения об организации производственного процеса
![]()
Структура коммуникаций
Структура полномочий

![]()
Структура рабочих мест
Структура управления
![]()
![]()
![]()
![]()
Централизация
Линейная
Децентрализация
Линейно-штатная
![]()
![]()
Функциональная
Дивизионная
Матричная
![]()
Управленческий холдинг
ПФГ
![]()
Рис.13.
3.1. Решение об организационном строении.
3.1.1. Структура полномочий.
Структура полномочий определяет, кто в чем должен быть компетентен. Структура рабочих мест - при определении задач необходимо выяснить, в каком обьеме делегируются полномочия принятия решений. Если задачи при условии (заметной) свободы принятия решений концентрируются на немногих рабочих местах (должностных позициях), то говорят о "централизации". Если на рабочих местах среднего и низшего менеджмента имеются многочисленные должности
со значительной свободой для принятия решений, то имеет место "децентрализация" полномочий принятия решений. "За" централизацию говорит то, что она обеспечивает жесткое руководство и что некоторые решения могут быть приняты только на основе "общего обзора" ПР. При децентрализации, напротив, верхушка руководства разгружается, сотрудники привносят в процесс принятия решений свои знания и творчество.
Последние исследования показывают, что успешные ПР используют "плоские" организационные структуры. Ответственность перемещена на "базис" ПР, например, путем создания "частично автономных рабочих групп" в производстве (науке). В последнее время на Западе такой менеджмент получил название Lean Development, что значит - уменьшать риск, пользоваться шансами и включать в план поддержки силы "извне".
Как проблему децентрализации можно рассматривать то, что руководством ПР теряется управление информацией и решения принимаемые на местах не координируются.
3.1.2. Структура управления.
Структура управления должна связать отдельные рабочие места ПР в соответствии с предписаниями полномочий.
Рекомендуются различные системы построения структуры управления.
а) Линейная схема (рис.14) отличается тем, что каждое рабочее место имеет непосредственно только одну руководящую должность. Преимущество - однозначная структура указаний. Недостаток – в длинном "служебном пути" (например, между 5 и 8), а также большой загрузке "верхних" рабочих мест.
1


2
4
3



![]()

![]()

6
7
5
8
9
11
10
12
Рис.14. Линейная система.
б) Линейно-штабная система (рис.15) отличается от линейной лишь тем, что отдельные рабочие места (1 и 3) превращаются в штабы рабочих мест (А и В). Задача штаба - поддерживать соответствующие линейные рабочие места. Сам штаб располагает полномочиями не предписаний (указаний), а только консультаций. Все больше ПР приходит к тому, чтобы отказаться от штабов и передать их функции внешним организациям, выполняющим консультативный сервис.
1

![]()
![]()
![]()
2
3

![]()
![]()
![]()
![]()
4
6
7
5
8
Рис.15. Линейно-штабная система.
в) При функциональной системе (рис.16) каждое рабочее место может иметь непосредственно много руководящих должностей. При этом каждая из должностей имеет право давать указания только в отношении определенных задач (функций). Преимущество – устраняем длинный "служебный путь". Недостаток - подчиненный должен следовать иногда несогласованным указаниям многих начальников (это можно скомпенсировать вводом координатора).
1
![]()
![]()
2
3
![]()
![]()
![]()
![]()
![]()
![]()
![]()
![]()
![]()
4
6
7
5
8
Рис.16. Функциональная система.
г) Организация подразделений (дивизионов предприятия) (рис.17) особенно рекомендуется при сильно дифференцированной производственной программе.
Общее руководство
![]()
![]()
![]()
![]()
Руководство дивизионом 1
Руководство дивизионом 2
![]()
![]()
Производство 1
Производство 2
Рис.17. Дивизионная организация.
Для каждой группы продукции, ограниченной рыночным или техническим "родством", образуется подразделение (дивизион), которое решает оперативные задачи. Преимущество - крупные предприятия могут быть "разложены" на "частные" обозримые и легко управляемые ПР. Однако при этом возникает проблема: как разграничивать средства, находящиеся в распоряжении всего ПР (например, инвестиционные). Поэтому, важно постоянно взвешивать целесообразность стимулирования отдельной продукции или проектов, затем распределять средства таким образом, чтобы был достигнут оптимум для ПР в целом.
д) При матричной организации реализация проектного развития проводится самостоятельными функциональными отделами. Тем самым удается избежать того, что каждое подразделение располагает своей собственной частью функциональных отделов. Руководитель подразделения догружает функциональные службы и координирует работу своих проектов. Руководитель функциональной службы стремится, чтобы все проекты были более эффективны. Недостаток – возможны конфликты в местах пересечения.
Руководство
предприятия
![]()
![]()
![]()
![]()
Сфера
финансов
Сфера
производства
Сфера
логистики
![]()
![]()
![]()
Подразделение 1
![]()
![]()
Подразделение 2
![]()
Рис.18. Матричная организация.
е) Дальнейшее развитие дивизионной организации заключается в управленческом холдинге. Дивизионы становятся юридически самостоятельными и координируются "управляющим" холдингом аналогично обществу-матери в концерне. Оперативная ответственность и руководство собственной производственной деятельностью возлагаются на правления "дочерних предприятий", в то время как "материнская фирма" среди прочего имеет следующие полномочия:
- общественная работа;
- инвестиционная и исследовательская стратегия;
- стратегия "продукт-рынок";
- финансовая стратегия;
- стратегия диверсификации;
- координирующие действия.
Для влияния и дальнейшего внедрения холдинговой стратегии часто используется двойное правление: председатель правления дочернего предприятия одновременно является членом правления материнской фирмы. Однако это может быть связано с недостатками "прямого" вмешательства в дочерние ПР, поэтому в качестве альтернативы предлагается "принцип наблюдательных советов"; члены наблюдательного советы материнской фирмы участвуют в наблюдательных советах дочерних предприятий и наоборот.
Материнская фирма в определенном смысле исполняет обязанности "платяного шкафа", в который дочерние ПР могут быть быстро "повешены" и "выброшены" из него: ПР - носители новых технологий "вешаются" в этот шкаф, а те, что больше не соответствуют стратегической концепции, "выбрасываются" из него.
ж) Промышленно-финансовые группы в последнее время создаются в рамках государственной промышленной политики (3, с.65-68).
Основные принципы создания:
1) создание ПФГ на базе технологически и кооперационно связанных промышленных ПР с целью выпуска конкурентоспособной продукции;
2) социально-экономический эффект (занятость, экологическая безопасность, рынок продукции и др.);
3) предотвращение негативных монопольных тенденций;
4) добровольность вхождения ПР в ПФГ;
5) включение представителей органов государственного управления в структуру управления ПФГ.
Промышленные
предприятия
Банки
Торгущие и сбы
товые орг-ции
НИИ и КБ
![]()
![]()
![]()
![]()
![]()
![]()
Договор
Рост
платежей
Орган государственого
управления
ПФГ
Бюджет
Лучшая
управляемость
Стабильность
поставок
Государственый
заказ
![]()
Законо-дательство
Рынок
Отчетность
Удовлетворение
В товарах
![]()
![]()
Инвестиции
Ответственность
Инвесторы
Рис.19. Схема самоуправления промышленного производства и инвестиций в ПФГ.
3.1.3. Структура коммуникаций.
Структура коммуникаций определяет, в какой форме информация, не имеющая директивного характера, распространяется среди подразделений ПР. При жесткой структуре коммуникаций определяется, какого вида информация, каким путем, к какому времени и какими носителями должна быть передана. Если нет такого жесткого определения, то говорят о свободной структуре коммуникаций.
В настоящее время интегрированная компьютерная система коммуникаций собирает всю информацию в нейтральном банке данных, благодаря чему создается единая и независимая от специального применения база данных, которая (по желанию) обеспечивает руководящий состав всех уровней оптимально обработанной актуальной информацией. Благодаря дополнительной интеграции с процессом планирования и прогнозирования возникает вспомогательный инструмент для поддержания процесса принятия решений (рис.20).
Центральный банк данных
Отчетная и контрольная системы
Экономико–математическая
модель
![]()
![]()
Системы планирования и принятия
решений
Рис.20. Информационная система менеджмента.
3.2. Решения об организации производственного процесса.
Эти организационные решения связаны непосредственной с формированием процесса работы на ПР. Так, например, перед тем как решится на крупный проект, необходимо выяснить следующие организационные вопросы, связанные с течением производственного процесса на ПР:
а) на какие частные задачи (исполнителей) должен быть "разложен" проект;
б) какие исполнители должны действовать одновременно, а какие
последовательно и в какой последовательности;
в) когда и с какими исполнителями надо начинать работать;
г) в каких помещениях должны работать исполнители;
д) какие должностные лица и какими исполнителями должны руководить.
3.3. Решения в связи с контролем.
Охватывают проблемы, когда, какие должностные лица, какие сферы производственного процесса должны контролировать.
3.3.1. На практике часто различают контроль и ревизию.
Особенностью контроля является то, что он проводится постоянно (текущий); он осуществляется должностными лицами внутри соответствующих подразделений. Ревизия, напротив, проверяет производственный процесс единично и является "неприятной" для него. Например, инвентаризация, которая на промышленных ПР проводится два раза в год - 01.04. и 01.10. Компетентными для участия в ней являются должностные лица извне.
Контроллинг - заблаговременно определяет противодействующие факторы, доводит их до сведения менеджмента и заставляет его действовать с учетом этих факторов.
Цель
Планирование
Реализация
Контроль
![]()
![]()
![]()
![]()
![]()
Анализ
отклонений
«план - факт»
![]()
Обратная связь
(Feed back)
![]()
Рис.20. Процесс контроллинга.
Он связывает результаты анализа отклонений со всеми уровнями процесса принятия решений. Также он является синтезом контроля и планирования. Контроллинг является "сопроводителем" руководства ПР, которому он дает побуждения и подстраховку. Следовательно, он имеет наряду с функцией обратной связи (Feed back) функцию обеспечения продвижения вперед (Feed forward).
Пример. Построение системы заблаговременного предупреждения.
1. Обнаружение внутренних и внешних относительно ПР сфер, в которых возможно кризисное развитие.
2. Определение показателей раннего предупреждения в этих сферах, например:
а) рынок сбыта - размер спроса важных клиентов; ценовая политика и рыночная стратегия конкурентов; поступление заказов;
б) рынок снабжения - цены и условия поставщиков;
в) рынок труда - требования профсоюзов;
г) исследования и развитие - отчеты из исследовательских институтов о развитии в области методов и технологий производства.
3. Определение плановых величин и допустимых границ показателей.
4. Установление правил дополнительных проверок и дальнейшего руководства при существенных отклонениях показателей.
Вопросы:
1. Что такое задача организации производства:
в чем заключаются преимущества и недостатки организаций, построенных
по горизонтальному и вертикальному принципам;
какие проблемы должны приниматься во внимание при организации
производственного процесса.
2. Опишите и сравните две системы организации: "линейная система" и "функциональная система". Исходите при этом из их преимуществ и недостатков.
3. Чем занимается "организация производственного процесса"?
4. Что такое жесткая (связанная) структура коммуникаций?
5. "Матричная организация - это запрограммированные конфликты с бесконечными дискуссиями." Ваше мнение по поводу этого высказывания.
6. Каковы преимущества и недостатки организации центров прибыли?
7. "Контроллинг должен в краткосрочной перспективе повысить способность ПР к быстрой реакции, а в долгосрочной - обеспечить ему умение приспосабливаться". Поясните это высказывание.
8. Покажите, что функции контроля могут быть представлены в виде кругооборота правил.
9. Объясните (обсудите) различные инструменты стратегического планирования.
10. Опишите преимущества и недостатки плоской организации.
11. Обьясните концепцию менеджмент-холдинга.
12. Применимо ли к планированию высказывание: "Слабейшее звено определяет силу (всей) цепи"? Обоснуйте свой ответ.
4. Руководство персоналом на предприятии.
4.1. теория Симона о стимулах и вкладах.
Каждый индивидум имеет большое количество потребностей, которые он стремится удовлетворить. При ограниченности средств он вынужден большую или меньшую часть их считать неудовлетворенными. Степень удовлетворения индивидума зависит от того, насколько высоко оценивает он стимулы по сравнению со своим трудовым вкладом.
В результате привыкания к определенному уровню удовлетворенности трудом устанавливается индивидуальное равновесие между стимулами и вкладом. Если оно нарушается вследствие ухудшения стимулов, индивидум пытается его снова восстановить. Здесь возможны два варианта:
во-первых, нарушение оценивается как неизбежное, поэтому реакция на него осуществляется либо в виде уменьшения трудового вклада, либо увольнения с предприятия. Возможно также соответствующее снижение запросов.
во-вторых, индивидум пытается повлиять на окружение, например, путем переговоров, чтобы устранить причины нарушения равновесия между стимулами и его вкладом и восстановить прежнее состояние. Все зависит от места индивида на предприятии.
Отсюда вывод: приспособление и манипуляция - две стратегии по стабилизации нарушенного равновесия. Приспосабливаясь, индивидум не влияет на происходящие на предприятии процессы, при манипуляции он пытается это сделать.
4.2. Теория трудовой мотивации.
Дальнейшее развитие теория "стимул - вклад" получила в трудах Аткинсона и Рейнора: каждая личность стремится к успеху (мотив стремления к успеху - Му) и пытается избежать неудачи (мотив предотвращения неудачи - Мн). В зависимости от преобладания мотива каждый является индивидумом, стремящимся избежать неудачи (Му > Мн), либо желающим избежать неудачи
(Му < Мн).
Центральная идея теории мотивации к труду - наибольшая "тенденция к результативности" достигается у:
стремящегося к успеху, если ему поручается решение задач среднего уровня сложности;
желающего избежать неудачи, если ему поручается решение задач низкой или высокой степени сложности.
Стремящийся к успеху получает среднюю нагрузку, а желающий избежать неудачи - минимальную или максимальную нагрузку.
Тенденция к результативности Тр определяется по формуле:
Тр = (Му * Ру * Эу) - (Мн * Ру * Эн),
где Му - мотив стремления к успеху;
Мн - мотив предотвращения неудачи;
Ру - вероятность успеха;
Рн - вероятность неудачи;
Эу - эффект успеха;
Эн - последствия неудачи.
Рассмотрим три возможные ситуации степени сложности:
Таблица 4.
|
I (высокая) |
II (средняя) |
III (низкая) |
|
|
Ру |
0.1 | 0.5 | 0.9 |
|
Рн |
0.9 | 0.5 | 0.1 |
|
Эу |
9 | 5 | 1 |
|
Эн |
1 | 5 | 9 |
Высокая (низкая) вероятность неудачи приводит в случае фиаско к незначительным (высоким) негативным воздействиям на индивидума. К нему будут относится с большим (малым) пониманием.
Так как сумма вероятностей успеха и неудачи постоянно стремится к 100% (=1), высокая вероятность неудачи означает низкую вероятность успеха и наоборот.
При незначительной (высокой) вероятности успеха достижения цели означает большое (незначительное) позитивное воздействие на индивидума. Он заслужит у окружения большое (незначительное) восхищение.
Для стремящихся к успеху (Му = 10, Мн = 8) получим:
Тр = (10 * 0.1 * 9) - (8 * 0.9 * 1) = 1.8,
Тр = (10 * 0.5 * 5) - (8 * 0.5 * 5) = 5.0,
Тр = (10 * 0.9 * 1) - (8 * 0.1 * 9) = 1.8.
Его тенденция к результативному труду максимальна в "средней" ситуации.
Для желающего избежать неудачи (Му = 8, Мн = 10) получим:
Тр = (8 * 0.1 * 9) - (10 * 0.9 * 1) = -1.8,
Тр = (8 * 0.5 * 5) - (10 * 0.5 * 5) = -5.0,
Тр = (8 * 0.9 * 1) - (10 * 0.1 * 9) = -1.8.
Тенденция к результативному труду максимальна в экстремальных ситуациях.
4.3. Пирамида потребностей Маслоу.
Потребности людей имеют определенную иерархию. Удовлетворение (гарантировано хотя бы в принципе) "низших" потребностей является предпосылкой удовлетворения потребностей более высокого ранга (см. рис.22 снизу вверх).
Самоутверждение: мудрость, целевая ориентация, стремление к одиночеству, замкнутость, склонность к мистике; чувство общности; демократичность; способность различать причинно-следственные связи; юмор; гибкость; индивидуальность
5
Самоуважение: уважение со стороны окружающих; желание быть сильным; успех, деловитость, власть и знания; статус, ощущение господства, значимости.
4
Социальные потребности: симпатии; антипатия к одиночеству, отверженности, отсутствию жизненных «корней».
3
Безопасность: стабильность, надежность, защита; отсутствие страха, угрозы и хаоса; потребность в правилах ,порядке, законах и границах; желание иметь сильного покровителя.
2
Физиологические потребности: жажда, голод, сексуальность, потребность в сне, движении, волнении и возбуждении, а также в покое и комфорте.
1
Рис.22. Пирамида потребностей Маслоу.
К пирамиде потребностей Маслоу можно предъявить ряд претензий:
- неоднозначно разграничение между отдельными уровнями (например, чувство общности (5) и антипатии к одиночеству (3));
- ряд потребностей на низших уровнях не попадают в разряд гарантированных, растут по мере их удовлетворения (например, потребность в безопасности);
- у разных индивидумов неодинаковые оценки значимости отдельных потребностей, а потому данная пирамида не может быть всеохватывающей.
4.4. Мотивация Герцберга.
Герцберг разделил иерархию потребностей на двухфакторную модель: мотиваторы и гигиенические факторы. Эта теория основана на предпосылке, что человек на ПР может быть доволен или не доволен различными обстоятельствами. Наличие мотиваторов повышает удовлетворенность трудом, но их отсутствие не делает работника недовольным. Совсем иначе с гигиеническими факторами - их отсутствие порождает у работника недовольство, а их наличие не повышает степень удовлетворенности (рис.23).
Факторы событий во время труда, которые привели к недовольству (гигиеничес кие факторы)
Факторы событий во время труда, которые привели к крайней удовлетворенности (мотиваторы)
50% 0% 50%
![]()
впечатление от успеха .
признание .
сам труд .
чувство ответственности
прогресс .
рост .
политика фирмы и руководства .
техническая компетентность .
личные связи с руководством .
условия труда .
доходы .
связи с коллегами .
влияние на личную жизнь .
отношения с подчиненными .
статус .
безопасность .
Рис.23. Двухфакторная модель Герцберга.
Отсюда можно сделать вывод, что отсрочка в повышении работника по службе не порождает у него недовольство и особенно хорошее вознаграждение не делает его недовольным. Повышение в должности ведет к росту степени удовлетворенности трудом, в то время как низкая заработная плата ее существенно снижает.
Короче говоря, согласно теории Герцберга удовлетворенность сотрудника является результатом его труда, его неудовлетворенность порождается условиями труда.
4.5. Теория инструментальности Фроома - Портера - Лавлера.
Удовлетворенность работника в этой теории поставлена в зависимости от проделанной им работы, в частности анализируются следующие взаимосвязи (рис.24):
Работоспособность
Ожидания
Оценка
![]()
![]()
![]()
![]()
![]()
![]()
Выполненная работа
Мотивация к труду
![]()
![]()
![]()
![]()
![]()
Оплата труда
Удовлетворенность
![]()
![]()
![]()
Рис.24. Теория инструментальности.
- индивидуум мотивируется к труду, если с этим связаны ожидания, позитивно оцениваемые с точки зрения поставленных им целей;
- мотивация к труду должна обязательно сочетаться с работоспособностью при условии, что действительно проделана работа;
- удовлетворение может быть непосредственным результатом труда.
Вывод: проделанная работа определяет удовлетворенность, а удовлетворенность - производственный результат.
4.6. Группа на предприятии.
4.6.1. Коммуникации в группе.
Группа является самой маленькой ячейкой в организации ("рабочая группа"). Сначала отношения между членами группы, а также между членами различных групп имеют чисто формальный характер. Через структуры рабочих мест и управления им заданы определенные связи, которые должны обеспечить их взаимодействие.
Наряду с формальными связями существуют также многочисленные неформальные отношения, возникающие вследствие личных привязанностей, желаний, ожиданий и симпатий. Отправным толчком в исследованиях неформальных групповых отношений стал опрос, проведенный Э.Мэйо среди чикагских рабочих в 1927г. На этой основе возникла "теория человеческих отношений".
Неформальные отношения играют важную роль прежде всего в группах, все члены которых являются исполнителями, так как в них часто отсутствуют формальные нормы поведения и все члены группы равноправны. В результате исследований были определены следующие характерные признаки неформального поведения:
а) взаимный контроль сотрудников ведет к социальной уравниловке (члену группы важнее считаться хорошим сотрудником среди коллег, чем для начальника);
б) ориентиром для группы является "средний" работник (вывод: не следует задавать членам группы усредненные требования, группа сама гораздо эффективнее это сделает);
в) отдача всех членов группы неодинакова (чем выше статус, тем меньший от него ожидается результат);
г) внутренняя активность в неформальной группе служит нормированию поведения (особенно проявляется в сопротивлении групп изменениям).
Характерным для неформальной группы является то, что ее члены контролируют друг друга, существует обязательное для всех групповое мнение, экстремальные результаты нивелируются, каждый член получает в группе определенное социальное положение, члены защищены извне.
4.6.2. Конфликты в группе.
- типичные формы проявления социальных процессов. Изучение деятельности малых групп позволяет сделать следующие выводы:
а) наиболее высока интенсивность конфликтов между соседними позициями, субъектами, группами;
б) дружелюбность, исходящая от формального руководителя, зачастую встречает у непосредственно ему подчиненных максимальное неприятие;
в) между работниками одного ранга чаще возникают конфликты из-за мелочей, за которыми скрыты более серьезные причины.
4.6.3. Стили руководства.
Деятельность ПР немыслима без руководства персоналом. Для достижения определенных целей оказывается воздействие на поведение других. В рамках формального руководства это осуществляется авторитарными личностями. наряду с этим существует неформальное руководство, осуществляемое иными членами группы.
А. М.Вебер различает три варианта:
бюрократический стиль руководства, ориентированный на установленные "сверху" предписания, регулирующие отношения с подчиненными;
патриархальный стиль руководства, ориентированный на унаследованный порядок, который определяет отношения с подданными;
харизматический стиль руководства, исходящий от признанной в качестве "вождя" личности, окруженной ее приверженцами.
Б. Сотрудники - средство для достижения цели. Наиболее ярко это было показано в трудах Ф.Тейлора (1856-1915). Он пытался использовать возможности повышения эффективности труда на каждом рабочем месте на основе анализа трудового процесса и использования основанной на результате оплаты труда. Современный подход, учитывающий влияние теории человеческих отношений, ориентирован на личность. все задачи решаются людьми, чьи представления и же-
лания должны быть учтены в той же мере, что и их социальные роли.
Таким образом, недопустим стиль руководства, строго ориентированный как на личность, так и на ее задачи. В первом случае деятельность ПР была бы подчинена лишь желаниям сотрудников получить удовлетворение, радость и самореализоваться в рамках "большой счастливой семьи". Во втором случае, напротив, остались бы без внимания интересы сотрудников. Естественным является смешение ориентации на личность и задачи, достижение компромисса.
Надо помнить, что жизнеспособны только рентабельные на перспективу ПР (и удачливый лидер).
Исследования показывают, что кооперативный стиль (право подчиненных на участие в подготовке решения) руководства с удовлетворением воспринимается на среднем уровне управления, что не обязательно ведет к достижению высоких результатов. На низшем и высшем уровнях управления более эффективен авторитарный стиль.
В. Следующий вывод: нет идеального стиля, выбор зависит от конкретной ситуации, это будет скорее всего сочетание стилей*).
а) авторитарный - принятие решений без консультаций с окружающими (мотивация - угрозы, применим в критических ситуациях);
б) бюрократический - основан на жестком порядке согласно норм и правил (пример - госучреждения, недостаток - нет гибкости, нестандартная ситуация приводит к панике);
в) демократический - сотрудничество руководства с подчиненными в принятии решений;
г) свобода действий - руководители несут ответственность за постановку задачи, а подчиненные располагают относительной свободой действий (применим в среде высококвалифицированных сотрудников);
д) контроль коллектива - ставит задачу коллектив, а менеджеры несут только административные функции (кафедра и преподаватели, высокая степень независимости).
______________________________________________________________________
*) Классификация дается по книге Никелс, Макхью Д. и С. Постижение бизнеса. - Тольятти: Изд.дом "Довгань", 1996г.
Практическое приложение №1. Модель Брауна.
О

сознание
самого себя
![]()
Осознание других
![]()
П
ризнание
достоинств
и различий
![]()
Контакт

Д
а
…………………………………Нет
![]()
________________________________

Д
оверие
У
важение
Чувство команды
Да …………………………………Нет
Рис.25 Модель Дж. Брауна для создания команды.
Практическое приложение №2.
Центры сопротивления переменам.
Начиная от создания и в процессе своего жизненного цикла любая фирма проходит несколько фаз своего роста. Например, как в модели Грейнера (16). каждая последующая фаза отделена от предыдущей своим характерным для данного периода кризисом (автономии, жесткого контроля и др.). В процессе преодоления кризиса и выхода на новый виток развития руководство фирмы сталкивается внутри своей организации с определенным непониманием и даже сопротивлением. Это требует анализа. Попробуем его осуществить с помощью популярной в менеджменте формы - матричной (рис.26).
Завуалированный
Иванушка
Штирлиц
Обломов
Консерватор
Отмороженный ВменяемыйОткрытый
Рис.26 Центры сопротивления.
Штирлиц. Сотрудники этого типа внешне претендуют на поддержку перемен, хотя скрыто оказывают им сопротивление. Такой тактикой они минимизируют дискомфорт от перемен. Считают, что надо поддержать перемены на фирме словесно и они уйдут со временем вообще прочь. Может быть даже у них более коварные планы. Они могут даже иметь индивидуальные цели саботажа в фирме или индивидуальные планы получения определенных выгод. В целом это выражено в игнорировании ответственности.
Иванушка. Эти люди не осознают, что ведут подкоп под перемены. Они не видят цели, не понимают смысла своего поведения. Их деятельность не поддается объяснению, т.к. высокий смысл проектов скрыт и замаскирован от них. Это простые солдаты. Когда открывается уровень их приспособленности к переменам - они удивлены. Они части верят, что они хорошо делают хорошую работу.
Обломов. Эти сотрудники более экстремальны. Они привыкли действовать в уверенности, что они не приспособлены для перемен. Они готовы делать то, о чем их попросят. Но сами ничего не способны сделать для перемен. Будучи открытыми, они постоянно стараются принять образец добродетели. Они стараются "объехать" перемены.
Консерватор. Эти любители протестов верят, что их отказ от перемен принесет много положительного фирме. Им никогда не кажется невозможным указать на слабость перемен. В положительном плане они сохраняют традиции фирмы. Они имеют интерес к управлению. Они не только открыты, но и склонны к дискуссии о рациональности положения фирмы.
Четыре рассмотренных квадрата сопротивления могут быть использованы для организации информации об оппозиции переменам на фирме. Примером трансформации поведения центров сопротивления переменам может быть анализ позиций в матрице. Заодно возможно представить саму природу осуществляемых перемен.
4.7. Принципы и системы менеджмента
- показывают, какие организационные мероприятия должны быть осуществлены для создания предпосылок для внедрения стиля руководства, ориентированного на выполнение задачи или учитывающего личность сотрудника.
4.7.1. Принципы менеджмента.
А. Management by Exception (руководство посредством корректировок).
Этот принцип предполагает, что:
руководитель слишком перегружен и не остается времени на собственно руководство подчиненными сотрудниками (результат отсутствия готовности делегировать свои полномочия);
подчиненные работают эффективнее, если им представлено больше самостоятельности в сфере их компетенции.
Сложной проблемой является разграничение в сфере компетенции, установленной для подчиненных. Критерием такого разграничения могут быть: превышение определенного объема инвестиций или величины заданной себестоимости.
Другая проблема - вмешательство руководителя, порожденное необходимостью исправить ошибочные действия подчиненных. Успехи же остаются незамеченными.
Вывод: должна быть создана информационная система, которая бы сигнализировала руководителю и о промахах, и об удачных действиях подчиненных.
Б. Management by Objectives (руководство посредством постановки задач).
Это более успешный метод. При этом надо учитывать:
цели ПР не являются навсегда заданными (окружающая среда слишком изменчива, внутри ПР всегда что-то меняется);
Руководство посредством постановки задач предъявляет ряд требований:
цели предприятия должны регулярно уточняться или ставиться заново (иначе наступает бюрократический паралич);
формирование и уточнение целей должно осуществляться совместно руководителями и подчиненными (это повышает чувство ответственности и реальности целей);
цели должны быть количественно оценены в интересах их более эффективного контроля;
цели различных подразделений ПР должны быть согласованы друг с другом.
Сверху должна ставиться общая задача, а пути ее решения выбирает сам сотрудник под собственную ответственность. Цель может остаться не достигнутой по обьективным или субьективным причинам. В первом случае она должна быть скорректирована, во втором - приняты меры по отношению к исполнителям.
4.7.2. Системы менеджмента -
отличаются от принципов менеджмента прежде всего тем, что содержат детальную информацию о форме организации.
Гарцбургская модель (Академия руководящих кадров в г.Бад-Гарцбург) дает цели: замена авторитарного стиля руководства кооперативным; разгрузка руководителя; стимулирование у сотрудников собственной инициативы и готовности брать на себя ответственность.
Для достижения этих целей рекомендуются следующие инструменты:
делегировать ответственность (решения принимаются на тех уровнях ПР, где имеются соответствующие проблемы, вышестоящий уровень не правомерен вмешиваться в компетенцию нижестоящего, начальник отвечает только за общее руководство, - повышает приспособляемость к новым тенденциям);
общие руководящие инструкции (регламентация взаимоотношений);
специальные руководящие инструкции (они уточняют и дополняют об-
щие);
должностные инструкции (сфера деятельности и компетенции определены в письменном виде);
беседы с работниками (но последнее слово остается за начальником);
определение целей (до рабочих мест доводится общая задача, а количественные и временные аспекты ее решения определяются самими сотрудниками).
Вывод: Гарцбургская модель сходна с бюрократической моделью руководства. В сложной организации часто невозможны детальные описания каждого рабочего места. Происходит организационное закоснение. Не учитываются личностные качества. Руководящие указания порождают формализм.
4.8. Ситуационный подход к организации руководства.
Реальная ситуация на ПР задает обычно два вопроса:
какие требования предъявляются сотрудникам?
какие у них есть предпосылки решить постепенные задачи?
Характер выполнения задач определяются инерционным потенциалом (высокий и.п. - это задачи с простой структурой, неизменные строки, результат однозначен). Характер сущности сотрудников заключается в их потенциале (знаниях, профессиональном опыте, коммуникативности, адаптивности и др.).
В связи с этим различают два типа организаций:
1. А - организации характеризуются высокой инерционностью задач и низким потенциалом сотрудников решать задачи.
А - организация требует:
высокой степени централизации решений, ясной структуры управления (линейной организации);
низкого уровня делегирования задач;
авторитарного стиля руководства;
высокой степени стандартизации осуществляющих процессов;
большой степени разделения труда.
2. Б - организация требует:
высокой степени децентрализации решений;
специализированной структуры управления (функциональной системы);
высокого уровня делегирования задач;
высокой степени автономности;
низкой степени стандартизации осуществляющихся процессов;
низкой степени разделения труда;
В будущем, очевидно, все большое распространение получит организация второго типа. Мир становится все более трудно предсказуем. Но между организациями А и Б существуют широкая гамма промежуточных организаций, для которых трудно подобрать соответствующие инструменты.
Вывод: Тип организации руководства зависит от конкретной ситуации, но при этом следует учитывать -
а) позиции руководителя:
компетентность его распоряжений; компетентность его оценки ситуаций;
компетентность в вопросах поощрения и наказания;
б) уровень структурируемости задач; возможность проверки задач; ясность
целей выполнения задач; многообразие путей достижения целей;
в) отношения между начальником и сотрудником.
Вопросы.
1. Дайте краткий анализ термина "стимул - вклад".
2. Каковы возможности восстановления нарушенного равновесия между
стимулом и вкладом работника?
3. Что представляет собой "пирамида потребностей" Маслоу?
4. В чем различие индивидуумов, стремящихся к успеху и пытающихся
избежать неудачи? Какие задачи им можно поручить решать?
5. Проделанная работа порождает удовлетворенность, а последняя
стимулирует труд. Прокомментируйте этот тезис.
6. В чем отличие формальных и неформальных отношений?
7. Каким образом разрешаются конфликты внутри группы?
8. Чем различаются стили руководства, ориентированные на личность и задачи?
9. Сравните А - организацию и Б - организацию. Какая из них имеет
наибольшее распространение?
10. Проанализируйте Гарцбурскую модель.
11. Отсутствие денег делает несчастным, однако не в деньгах счастье. Ваш
комментарий.
5. Планирование подготовки производства.
5.1. Наем сотрудников.
Важнейшей задачей отдела кадров является привлечение работников как со стороны, так и за счет внутренних резервов самого предприятия. В условиях современного социально - экономического кризиса последнее особенно актуально для Украины. В первом случае используются объявления, в которых указываются число необходимых сотрудников и требуемая квалификация, устанавливаются контакты с биржей труда.
При поиске на стороне руководящих кадров зачастую прибегают к услугам фирм, консультирующих по вопросам персонала.
5.2. Заготовка потенциальных факторов.
Приобретение дорогостоящих потенциальных факторов (оборудование, здания и сооружения, земельный участок) относится к компетенции высшего руководства ПР. Закупки дешевых потенциальных факторов находится в ведении соответствующих отделов и служб, сотрудники которых имеют лучшее представление по конкретным вопросам. Как правило, для каждого отдела утверждается определенный бюджет, в пределах которого планируется закупки. При закупках потенциальных факторов впрок необходимо учитывать неопределенность будущего (см. раздел "планирование инвестиций").
5.3. Планирование материально - технического обеспечения.
5.3.1. Организация МТО.
1-ый руководитель
Коммерческий директор
![]()
![]()
![]()
![]()
![]()
Отдел
МТО
Отдел
комплектации
Отдел внешней
кооперации
Транспортный
цех
Участок
упаковки
![]()
![]()
![]()
![]()
![]()
Складское хозяйство
Рис. 27 Организация МТО.
Имеются три стадии планирования заготовок сырья, материалов и комплектующих: планирование потребности, запасов и объем заказов.
5.3.2. Планирование потребности.
В процессе планирования потребностей определяются потребности отдельных подразделений ПР в воспроизводимых факторов (сырье и материалы, комплектующие). Оно основано на программном планировании (определяются, что и в каких количествах должно быть произведено) и спецификациях (определяются детали, необходимые для изготовления каждого изделия).
Пример. Разработка плана потребностей на основе программного плана.
ПР изготавливает два изделия П1 и П2. Они состоят из промежуточных узлов У1, У2 и У3, а также отдельных деталей m, n и k (спецификация): Например, П1 состоит из 1У3, 2У1 и 3m; У1 состоит из 1m и 7n. Программный план предусматривает следующие объемы производства: П1 - 100д., П2 - 50д., У2 - 20д. (запасные части).
Отсюда план потребностей :




1
1
У1
= 200 шт.,
3 2 У2 = 170 шт.,


У3
= 100 шт.,
m = 200
шт.,


1 n = 2350 шт.,
![]()
![]()
7
k = 300 шт.
1 5 1 3



Рис.28. Планирование потребности.
5.3.3. Планирование запасов.
Было бы излишним, если бы была уверенность в том, что:
а) определенный при планировании потребностей спрос на воспроизводимые
факторы (сырье, материалы комплектующие) соответствует действительности;
б) поставщики доставят заказную продукцию в согласованные сроки.
Такое положение показано на рис.29. Если ничего не предпринимать, то к концу 10-го дня запасы иссякнут и производство будет остановлено. Этого можно избежать, организовав своевременно новые поставки. При сроке поставки 4 дня и заказанном ежедневном потреблении достаточно,
Складские * - Наличные запасы
запасы

![]()
![]()
![]()
![]()
![]()
*
Дни
6 10 16
Рис.29. Наличные запасы
Складские * - Наличные запасы
запасы
**
- Неприкосновенные
запасы
![]()

![]()
![]()
![]()
![]()
*
![]()
![]()
![]()
![]()
![]()
** Дни
6 10
14 16
Рис.30. Неприкосновенный запас.
если новые поставки будут осуществлены в конце 6-го дня. До этого момента как раз хватит наличных запасов.
Однако поставщики могут подвести, могут возникнуть непредвиденные трудности (и др.). Тогда может произойти остановка производства, которую можно избежать за счет наличия неприкосновенного запаса (рис.30).
При наличии значительного неприкосновенного запаса гораздо больше возможности маневра при отсрочке поставок или увеличении ежедневного потребления.
Но. Дополнительная безопасность связана с дополнительными расходами (проценты за кредиты и складские расходы), так как неприкосновенный запас требует пространства и соответствующих финансовых затрат (О планировании запасов см. также: Захарченко В. П. Основы менеджмента. -С.20-21).
5.3.4. Планирование размера заказа.
Величина поставки не должна превышать максимальной емкости вклада. Надо обязательно учитывать, что с уменьшением величины поставки сокращается временной промежуток между отдельными актами поставок.
Задачей планирования размера заказа является определение его оптимальной величины.
При определении оптимального размера заказа следует учитывать следующие моменты:
закупочные расходы на единицу заказного товара снижаются при увеличении размера поставки (кривая А, рис.31.);
издержки хранения на единицу заказа растут вместе с увеличением объема закупки (прямая В).
Удельные затраты

А+В В
![]()
А
Размер заказа
Оптимальный
Оптимальная
размер заказа величина заказа
Рис.31. Оптимальная величина заказа.
При оптимальной величине заказа минимальна сумма удельных затрат на закупку и хранение. На рис.31 она будет расположена в том месте, где общая функция удельных затрат (А+В) - результат сложения функции удельных закупочных затрат (А) и функции удельных издержек хранения (В) достигнет своего минимума.
Определенная таким образом оптимальная величина заказа должна быть все же скорректирована с учетом возможного повышения цен (тогда размер заказываемой партии увеличится) или ожидаемых трудностей в сбыте готовой продукции (заказ будет уменьшен).
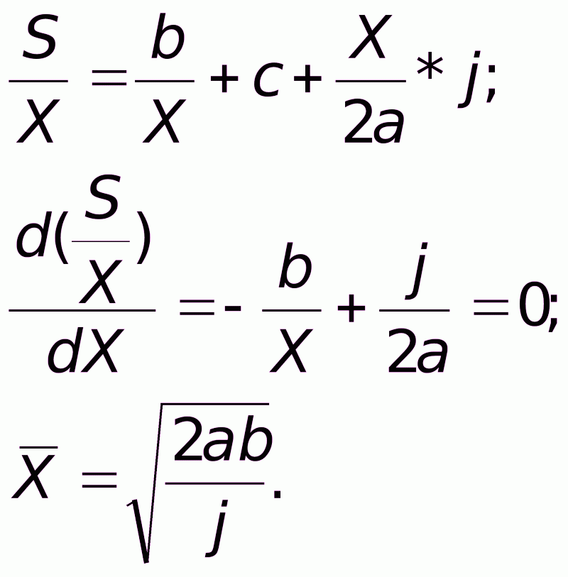
Пример. Оптимальная величина заказа.
Предположим.
1. Происходит постепенное сокращение складских запасов, что означает, что на складе в среднем находится половина заказываемой парии:
Размер заказа (Х)

Х а
![]()
![]()

Дни
(t)
1

Рис.32.
2. Установлена норма складских расходов для единицы заказной партии (j).
3. С каждым заказом связаны фиксированные затраты (b);закупочная цена (с) постоянна (нет скидки на объем сделки).
Получаем:
Закупочные затраты P = b+cx
Затраты хранения P =
Общие
затраты РА
+ РВ
= S = b + cx +

Оптимальная
величина заказа
будет там,
где общие удельные
затраты
достигают
минимальной
величины.

Реализуется данная формула в схеме логической цепи:
![]()
![]()
![]()
![]()
Сырье мате-риалы, комп-
лекту-
ющие
Полу-
фаб-
рика-
ты
Изго-
товле-
ние
дета-
лей
Сбор-
ка
Испы-
тания
и
отгруз
Пот-
реби-
тель
![]()
![]()
![]()
![]()
![]()

![]()
![]()
![]()
![]()
![]()
Поставщик
Производитель
Потр-ль
![]()
![]()
![]()
- материальный
поток
- информационный
поток
![]()
- склад
Рис.33. Логистическая цепь.
Вопросы.
1. ПР с интервалами в 30 дней закупает сырье. Его ежедневное потребление составляет 200 кг. Нормальный срок поставки - 5 дней. Запланирована возможность задержки поставок до 3 дней. Каковы в этом случае : а) размер заказа; б) неприкосновенный запас; в) наличные запасы?
2. Что такое оптимальный заказ и что определяет его величину?
3. Ваше отношение к тезису: "Самый маленький склад снабжения - самый лучший".
4. Обсудите высказывание:" Неприкосновенный запас обозначает "проматывание" денег".
5. Как влияют колебания конъюнктуры на складирование сырья?
6. Что такое спецификация?
7. От чего зависит величина наличного и неприкосновенного запаса?
8. Почему с ростом размера закупки увеличиваются удельные затраты на хранение сырья и материалов?
9. Что такое логистическая цепь?
6. Планирование производства.
6.1. Предмет.
Предметом производственного планирования является вопрос, какую продукцию с использованием каких производственных факторов должны быть изготовлены? Оно состоит из планирования производственной программы и планирования ее выполнения (рис.34).
Планирование производства
![]()
![]()
Планирование производственной
программы
Планирование выполнения
производственной программы
Планирование дизайна
![]()
![]()
![]()
Планирование номенклатуры
Планирование технологии производства
Планирование типа изготовления
![]()
Планирование объема выпуска
![]()
Поточное производство
Единичное
![]()
![]()
При выпуске одного
вида продукции
Массовое
Цеховой принцип изготовления
При выпуске неско-
льких видов проду-кции
Серийное
![]()
Рис.34. Планирование производства.
6.2. Планирование производственной программы.
Отвечает на вопросы: какие изделия и в каком количестве должны быть произведены? При этом следует исходить из заключенных с потребителями договоров, а также прогноза будущих потребностей: процессы планирования производства и сбыта должны быть обязательно согласованы. Первичная потребность поэтапно разделяется на блоки и части (вторичные потребности), а также на потребности в сырье, основных и вспомогательных производственных
материалах (третичной потребности). Для такого планирования используются спецификации или на базе накопленного производственного опыта составляются прогнозы.
6.2.1. Планирование дизайна продукции.
Должно осуществляться в мельчайших деталях, чтобы выяснить, позволяет ли имеющиеся производственные факторы обеспечить изготовление определенной продукции с требуемым качеством. Если это невозможно, то необходимо закупить недостающие производственные факторы, либо изменить свойства изделия.
6.2.2. Планирование номенклатуры.
Для планирования номенклатуры характерно следующее противоречие: планирование сбыта ориентировано на изготовление по возможности широкой номенклатуры, так как это улучшает возможности сбыта; широкая номенклатура не в интересах планирования выполнения производственной программы, так как она требует специального оборудования, часто его переналадки, что ведет к росту затрат.
Компромиссом является: 1) упрощение номенклатуры с помощью агрегирования - унификация многочисленных (внутренних) компонентов продукции; 2) уменьшение собственной доли в стоимости конечной продукции.
6.2.3. Планирование объема производства.
В значительной степени зависит от того, идет речь о ПР, выпускающем один вид продукции или несколько.
А. Один вид продукции.
Здесь главной проблемой является согласование объема производства и сбыта. При этом возможны следующие варианты:
1) объем сбыта неизменен на протяжении длительного времени. В этом случае производственные мощности, а также объем выпускаемой продукции должны приспосабливаться к сбыту. Необходим лишь неприкосновенный запас готовой продукции на случай непредвиденной остановки производства;
2) объем сбыта подвержен сезонным колебаниям. Здесь возможны варианты:
а) производственные мощности приспособлены к максимальному спросу. Это означает, что из сезонные колебания сопровождаются изменениями числа занятых. При высоких расходах на оборудование минимальны затраты на хранение готовой продукции (принцип синхронизации).
б) производство осуществляется при некоторой средней численности занятых. Это позволяет в период максимального сезонного спада спроса создавать запасы готовой продукции, достаточной для удовлетворения "пикового" спроса. При незначительных производственных запасах увеличиваются складские расходы (принцип эмансипации).
ПР заинтересовано в промежуточном решении, при котором общие затраты для одного сезонного цикла минимальны. Содержание мощностей на среднем уровне в период сезонного спада невозможно для предприятий сферы услуг. Например, общественный транспорт должен ориентировать свои мощности на максимальную нагрузку, что частично объясняет его хронические финансовые проблемы.
Часто в качестве средства выравнивания сезонных колебаний используется диверсификация: зимой изготавливаем снегоочистители, летом - газонокосилки.
Вывод: сезонные колебания компенсируются посредством регулирования занятости, складских запасов или диверсификации.
Б. Планирование на ПР, выпускающем несколько видов продукции.
Особо сложная проблема, если:
1) отдельные изделия выпускаются различными партиями;
2) почти все производственное оборудование используется для изготовления всех видов продукции;
3) велики различия во времени изготовления разных видов продукции на различном оборудовании;
Если ПР в такой ситуации стремиться получить максимальную прибыль, оно должно выпускать больше таких видов продукции, которые:
а) загружают меньшее количество оборудования;
б) требует меньшего времени обработки; в) приносит большую прибыль на одно изделие (зачастую такие изделия требуют более интенсивного использования оборудования).
Пример: разработка производственной программы с помощью задач
линейного программирования.
Для производства изделий А и В используются станки X, Y, Z в следующей последовательности
| X | Y | Z | |
А |
4 | 8 | 6 |
| В | 8 | 4 | -- |
Каждую неделю станки используются, час:
X - 96,
Y - 120,
Z - 72.
Прибыль от одного изделия А - 12000 грн.; одного изделия В - 8000 грн. Каковы должны быть обьемы производства изделий А и В в неделю, чтобы была получена максимальная прибыль?
Решение может быть найдено с помощью линейного программирования. Имеются три ограничения:
4mA + 8nB 96 (станок Х)
8mA + 4nB 120 (станок Y)
6mA 72 (станок Z)
mA - объем производства изделия А;
nB - объем производства изделия В;
Целевая функция: П (прибыль) = 12mA + 8nB max
На практике для решения этой задачи используется симплекс - метод (как пакет программного обеспечения).
Оптимальной будет следующая производственная программа:
А – 12 ед., В – 6 ед.
Несмотря на более низкую прибыльность продукт В также будет изготовлен.
6.3. Планирование выполнения производственной программы.
Решает вопрос: как, при каком производственном размещении производственных факторов будут произведены включенные в производственную программу изделия.
6.3.1. Планирование способа изготовления .
Определяет как организован производственный процесс в пространстве: как должны быть размещены потенциальные факторы и рабочие места, а тем самым путь продвижения изделия в процессе его изготовления. Различают: поточный и цеховой способы изготовления продукции.
А. Поточное производство.
При этом потенциальные факторы и рабочие места размещены в таком порядке, который отвечает требованиям последовательного, поточного производственного процесса (рис.35).
I
II
III
IV
V
A А![]()
![]()
![]()
![]()
![]()
![]()
II
IV
III
Рис.35. Поточное производство.
Преимущества поточного производства:
время прохождения детали незначительно. Это означает, что запасы на хранение п/фабрикатов практически отсутствует;
выполняя одни и те же операции, рабочие достигают высокой производительности труда;
при заданной скорости конвейера можно точно определить потребление
воспроизводимых факторов, сырья и материалов (это облегчает планирование
их закупок).
4) производственный процесс обозрим, а поэтому может точно контролироваться.
Недостатки:
1) изделие должно быть полностью подготовлено к производству, так как любая его "доводка" требует остановки всего конвейера;
2) монотонность работы на конвейере может отрицательно сказаться на психике и настроении рабочего;
3) вся поточная линия может остановиться из-за поломки одного станка или выбытия одного рабочего (поэтому должны быть наготове запасные части и дублеры);
4) при сокращении числа работников невозможно уменьшить затраты на амортизацию и проценты, связанные с необходимостью привлечения значительного капитала, так как при сокращении скорости конвейера или рабочего дня конвейерная линия не изменяется.
Б. Цеховой способ - это когда изделия проходит последовательную обработку в цехах, в которых сосредоточены однородные производственные операции.
Преимущества:
если спрос на одно изделие сокращается, то его изготовление можно сразу ограничить в пользу других видов продукции;
по сравнению с конвейером работу в цеху более разнообразна, нет психических перегрузок, так как выпускают различные изделия.
Недостатки:
1) между отдельными цехами могут быть значительные расстояния, что повышает расходы на транспортировку изделий, поэтому надо стремиться к оптимизации размещения цехов и более рациональной организации внутренних перевозок;
2) усложняется планирование последовательности обработки деталей в разных цехах.
Для решения проблемы планирования и управления производства существуют компьютерные программы, например, фирмы IBM, Siemens. В конце концов производственное планирование "выливается" в управление производством, в процессе которого происходит размещение заказов и осуществляется контроль за их выполнением:
а) при выдаче заказов проверяются сроки их выполнения и наличность мощностей;
б) контроль за выполнением заказов предусматривает слежение за всеми производственными операциями и реакцию на соответствующую информацию, которая позволит вносить коррективы в управление.
Приложения: приоритетные правила в планировании производства.
1. Заказ с кратчайшим сроком выполнения имеет наивысший приоритет.
2.Преимущественное правило имеет заказ с наименьшим числом технологических
операций.
3. Заказы, ориентированные на загрузку оборудования, выполняются в
зависимости от их срочности.
4. Планирование "узких мест": заказы размещаются таким образом, чтобы в производственном процессе было меньше "узких мест"(следует предусмотреть "обходные" варианты).
6.3.2. Новые тенденции в сфере способ изготовления продукции.
а) Автоматические системы управления производством (АСУП) = "Computer Aided Manufacturings" (САМ) находит все более широкое применение и при поточном, и при цеховом способах производства.
б) Гибкие производственные системы (ГПС) - это управляемая компьютером минимастерская, способная осуществлять широкий круг задач.
6.4. Планирование типа производства.
Определяет, какими "контингентами" будут изготовлены определенные в плане количества изделия.
Бывает: единое, массовое и серийное.
6.4.1. Единичное производство.
Характерны следующие особенности:
1) они организованы по цеховому принципу, оснащены универсальным оборудованием, рабочие имеют разнообразную квалификацию;
2) у них нет твердой производственной программы, они работают на заказ, учитывают специфические пожелания потребителя, могут производить все, что позволяет имеющееся оборудование.
Они часто сталкиваются, особенно при осуществлении комплексных проектов, с проблемой календарного планирования. Она разрешима с помощью сетевого планирования.
6.4.2. Массовое производство.
Для него рекомендуется применение поточных линий (производство бутылок и др.).
6.4.3. Серийное производство.
В настоящее время зачастую массовое производство однородной продукции не имеет смысла: потребители требуют изготовления специальных вариантов определенного базового продукта, что делает "мир товаров" все более разнообразным; различные изделия производятся ограниченными партиями и производственное оборудование приходиться переналаживать в соответствии с новым вариантом, что ведет к росту издержек.
А. Определение оптимального размера серий (рис.36)
Удельные затраты

![]()
Размер серии
Оптимальная
серия
Рис.36.Оптимальная серия.
В рамках планирования величины серии должно быть согласовано во времени изготовление оптимальной серии различных вариантов.
Б. Определение оптимальной очередности вариантов.
Величина расходов на переналадку оборудования зависит от последовательности изготовления различных вариантов продукции. При оптимальной последовательности вариантов затрат на переоснастку оборудования одного варианта должны быть самые низкие.
|
От На |
А |
В |
С |
А |
--- | 5 | 9 |
| В | 10 | --- | 12 |
| С | 20 | 7 | --- |
Рис.37.Оптимальная последовательность вариантов.
На рис.37 показаны изменения затрат на переналадку оборудования при всех переходах от .... к .... для ПР с тремя вариантами продукции. Возможны два типа последовательности вариантов:
1. А В С А,
2. А С В А.
Затраты на переналадку оборудования для каждого цикла варианта:
1. 10 + 7 + 9 = 26,
2. 20 + 12 + 5 = 37.
Это означает, что оптимальной последовательностью будет:
А В С А.
С. Вариантное производство и новые технологии.
а) если продукт изготавливается в многочисленных, различающихся по дизайну вариантах, а также небольшими партиями, рекомендуется организация производства по цеховому принципу.
б) если различные варианты изделия содержат многочисленные одни и те же компоненты, их можно выпускать вместе на поточной линии. При использовании новых технологий, например, ГПС или автоматических поточных линий в значительной мере решается проблема переналадки оборудования.
Пример. Первая модель автомобиля "Пассат" была создана в 1973г. на базе "Ауди 80", она была новинкой для "Фольксвагена". Но его конструкция не соответствовала возможностям сборочной линии, адаптированной к модели "Гольф". После реконструкции (НИОКР - 640 млн.марок, 1,9 млрд.марок - производственные инвестиции, реконструкция автозавода - 1,2 млрд.марок) рабочие смогли одновременно изготавливать на одной автоматической сборочной линии в г.Эмдене автомобили "Гольф", "Джетта", "Пассат" любыми
партиями и любой очередности. "Заслугой" модернизации стало сокращение расходов на заработную плату примерно на 15%.
Пример. Самоуправляемые группы в автомобильной промышленности.
Под руководством японских менеджеров на старом автозаводе за несколько лет брак сократился на 60%, производительность труда почти удвоилась. На ПР были созданы малые самоуправляемые группы, осуществляющие взаимный контроль качества. Каждый рабочий считает себя поставщиком его продукции для коллег. Отменено чрезмерно детальное тейлоровское разделение труда, разделенные друг от друга прежде операции сконцентрированы на одном рабочем месте. Кроме того труд гибко организован, внутри группы каждый работник может заменить коллегу. Каждые две недели после окончания смены группы собираются на получасовое собрание для обсуждения производственных проблем. Это время оплачивается как рабочее.
Приложение I. Понятие из "фабрик будущего".
СIМ - Computer Integreted Manufacturing. Собирательное понятие для всех новых технологий в разработке и производстве продукции.
II. Проектирование и конструирование.
а) CAD - Computer Aided Design.Составление геометрических моделей и чертежей с помощью графической компьютерной системы в процессе конструирования;
б) САЕ - Computer Aided Engineering. Программно-математическое обеспечение для анализа и оптимального решения технических проблем.
в) САР - Computer Aided Planning. Разработка с использованием компьютеров планов производства и последовательности осуществления работ, спецификаций, планов загрузки оборудования.
III. Производство.
а) САМ - Computer Aided Manufacturing. Компьютеризированное управление производственными операциями, а также складским хозяйством и внутризаводскими перевозками, их координация.
б) CAQ - Computer Aided Quality Assurance. Выявление и устранение брака благодаря непрерывной обработке на компьютере информации о состоянии качества и принятию оперативных решений в случае отклонений от заданных параметров.
Вопросы.
1. Дайте характеристику поточного принципа производства и назовите его преимущества и недостатки.
2. Объемы продаж предприятия - изготовителя подвержены сезонным колебаниям. Сравните возможные адаптации.
3. Производитель подсолнечного масла жалуется Вам, что летом его фабрика работает с перегрузкой, а зимой мощности совсем не загружены. Что Вы ему посоветуете?
4. В чем отличие цехового и поточного способов производства?
5. Каковы задачи планирования последовательности производственных операций при цеховой организации производства?
6. Для чего разрабатываются сетевые планы?
7. В чем заключается "дилемма выполнения производственной программы"?
8. Каковы особенности гибких производственных систем и гибких поточных линий?
9. Что такое "гибкое производство"?
10. Каким задачам отдается приоритет в производственном планировании?
11. Что такое автоматическая система управления производством?
12. Сформулируйте основной принцип системы планирования и управления производством. Ваше мнение о преимуществах и недостатках централизованных и децентрализованных систем планирования и управления производством с точки зрения современных условий.
13. В настоящее время сокращение подготовительно-заключительных работ является одной из важнейших успешных предпосылок на рынке. Ваш комментарий к этому высказыванию.
7.Планирование инвестиций.
7.1. Понятие инвестиций.
Под инвестициями понимается совокупность затрат, реализуемых в форме долгосрочных вложений собственного или заемного капитала с целью получения прибыли.
В зависимости от направления вложений капитала различают следующие виды инвестиций:
материальные инвестиции характеризуются вложениями в вещественные элементы (в земельные участки, здания и сооружения, в оборудование, антиквариат и др.);
финансовые инвестиции - вложения в ценные бумаги (акции, облигации и т.п.), банковские депозиты и др.;
нематериальные инвестиции - вложения в развитие духовных, социальных, интеллектуальных производительных сил.
В индустриальной сфере материальные инвестиции различаются также в зависимости от того, куда направляются данные вложения: на возмещение потребленного основного капитала (инвестиции на обновление) или на расширение парка оборудования (инвестиции на расширение). Оба вида относятся к валовым (брутто) инвестициям.
Важнейшая задача планирования инвестиций заключается в том, чтобы проверить:
является ли данная инвестиция выгодной;
какая из рассматриваемых возможных инвестиций является наиболее оптимальной.
Исходным пунктом большинства методов планирования инвестиций является предположение о том, что денежные вложения, которые выплачиваются "сегодня", имеют другую реальную ценность, чем равные вложения, но которые выплачиваются "завтра".
В общем виде это выражается в следующем :
имеющаяся сегодня начальная сумма Со по прошествии n лет приобретает новую стоимость (наращивается):
Cn = Co * (1 + r)n;
чтобы получить через n лет новую будущую стоимость Cn, мы должны сегодня располагать начальной суммой Со, которая рассчитывается по формуле (скидка):

при этом r - уровень процента за год.
Пример. Заемщик предлагает своему кредитору произвести платеж (вернуть долг) в сумме 100грн. не через год, а сегодня, но при этом просить предоставить с этой сумме скидку в размере 4грн. Кредитор соглашается на это предложение, проведя следующие вычисления. Предположим, он открывает в своем банке сберегательный счет на год, внеся 96грн. под 6% годовых (r=0,06). Если банк начисляет проценты на сумму вклада каждый год, то на счете через год будет сумма:
96(1+0.06)1 = 101.76 грн.
С точки зрения кредитора, следовательно, 96грн. сегодня означают большую стоимость, чем 100грн., но уже через год. Кредитор мог бы свои размышления построить и другим образом: будущую стоимость в 100грн. он мог бы получить при банковской ставке в 6% годовых, если бы поместил на сберегательном счете сумму сегодня в размере:

(проверка: 94.34(1+0.06)1 =100). Так как должник дает 96грн., т.е. больше, то кредитор соглашается.
7.2. Прибыльность объектов инвестирования.
7.2.1. Метод дисконтированной стоимости.
Метод предполагает, что инвестор заранее задает минимально допустимую ставку процента окупаемости ("прибыльный процент"), при которой объект инвестирования считается доходным. Такая минимально допустимая ставка процента обусловлена стоимостью кредитных ресурсов на рынке ссудных капиталов и определяется на базе процента на заемный капитал, а также зависит от степени риска предполагаемых инвестиций и называется расчетной ставкой процента (r).Метод расчета дисконтированной стоимости капитала позволяет прежде всего установить, покрывает ли расчетная ставка процента ставку процента на заемный капитал, и в случае покрытия констатировать, что это выходной объект инвестирования.
Пример. Существуют следующие возможности инвестирования, которые показаны на рис.38. Вначале инвестор должен понести
+700 +900
![]()
![]()
![]()
![]()
![]()
t
0 1 2
Рис.38. Последовательность платежей по объекту инвестирования.
расходы на приобретение объекта инвестирования в размере 1000грн.,а затем он получит в последующие два года от инвестиций поступления соответственно 700грн. и 900грн. Определите, является ли данная инвестиция прибыльной, если инвестор задает расчетную ставку процента в размере 8%(r=8%). Вычисляем:

Таким образом, сумма продисконтированных на базе расчетной ставки процента поступлений, полученных после приобретения объекта инвестирования, образует выручку от инвестиций (PV). Если мы вычитаем из выручки от инвестиций расходы на приобретение объекта инвестирования, то получим дисконтированную стоимость капитала (чистую стоимость капитала) (С). В случае, если , как в нашем примере, С больше нуля, инвестиция является прибыльной. В результате хозяйственной деятельности проинвестированного объекта инвестор получает норму прибыли, которая больше, чем использованная при расчете процентная ставка.
Таким образом, метод дисконтированной стоимости капитала при оценке прибыльности состоит из ряда последовательных операций:
а) определение инвестором (субъективно) расчетной ставки процента;
б) дисконтирование на базе расчетной ставки процента всех текущих платежей на определенный момент времени, которые производятся после приобретения объекта инвестирования (определение выручки от инвестиций (PV));
в) расчет дисконтированной стоимости капитала (С) путем вычитания расходов на приобретение объекта инвестирования из величины выручки от инвестиций;
г) оценка прибыльности объекта инвестирования – положительная величина дисконтированной стоимости капитала означает прибыльную инвестицию;
д) отрицательная величина дисконтированной стоимости капитала означает убыточную инвестицию.
В общем виде для метода дисконтированной стоимости капитала действуют следующие формулы:

где Со - расходы на приобретение объекта инвестирования;
а - текущие годовые поступления;
b - текущие годовые выплаты;
Сл - ликвидная стоимость.
Если частные поступления в конце каждого года являются неизменными: (постоянная величина), то действительны упрощения:

Выражение
называется
"фактическая
стоимость
ограниченной
сроком дополнительной
ренты".
Пример. Существует следующая возможность для инвестирования. Инвестор задает расчетную ставку процента в размере 10%. Является ли данная инвестиция прибыльной?
+200
![]()
![]()
![]()
![]()
![]()
-1000 +300 +300
+300 +300 +300 t
![]()
![]()
![]()
![]()
![]()
0 1 2 3 4 5
Приводим следующие расчеты:

Если бы в условиях задачи речь шла о ежегодных чистых поступлениях в размере 300грн. и вечной ренте, но без учета остаточной стоимости объекта инвестирования (Сл = 0), тогда было бы верно следующее:

7.2.2. Метод расчета внутренней процентной ставки.
Предполагает, что инвестору заранее известна расчетная ставка процента. Путем проб находят на базе различных ставок процента ту из них, которая действительно приемлема для данного объекта инвестирования. Найденное путем проб эффективное начисление процента (внутренняя процентная ставка) сравнивается с расчетной процентной ставкой, и делается вывод о прибыльности объекта инвестирования:
если внутренняя процентная ставка будет больше, чем заданная инвестором расчетная ставка процента, то данная инвестиция является прибыльной;
если внутренняя процентная ставка окупаемости инвестиций будет меньше заданной инвестором расчетной ставки процента, то данная инвестиция является убыточной.
Внутренняя процентная ставка объекта инвестирования определяется при этом как процентная ставка, при которой выручка от инвестиций покрывает затраты на приобретение объекта инвестирования, т.е. обеспечивает нулевую чистую дисконтную стоимость инвестиции.
Пример. Имеется следующая возможность инвестирования, которая изображена на рис.39. Вначале инвестор затрачивает на приобретение инвестиционного объекта 442 грн., а в последующие два года он получит поступления в размере 200 грн. и 300 грн. соответственно. Как высока норма эффективного начисления процента на данный объект (внутренняя процентная ставка)?
- 442
+200 +300
![]()
![]()
![]()
![]()
![]()
t
0 1 2
Рис.39.Последовательность платежей по объекту инвестирования.
Если на поступления начисляется скидка в размере 8% (дисконтирование производится на базе r = 8%), то величина выручки от инвестиции составит:

При начислении 8% расходы на приобретение объекта инвестирования в размере 442 грн. полностью покрываются выручкой от инвестиции. Таким образом, можно считать эту величину - 8% в качестве эффективного начисления процента. Если инвестор задает расчетную ставку процента, например, в размере 10% (6%), то инвестиция будет убыточной (прибыльной).
Достаточно сложный расчет внутренней процентной ставки значительно упрощается при использовании вечной ренты (от 30 лет и более). Соответственно вышеуказанной формуле дисконтированная стоимость капитала может быть рассчитана (без учета остаточной стоимости инвестиции):

где r - расчетная ставка процента.
Если дисконтированная стоимость капитала получится равной
нулю (С = 0), то из этого следует:
i = k / Co
Величина i обозначает внутреннюю процентную ставку или рендит (доходность объекта инвестирования).
Пример. В рекламном проспекте фонда вкладчикам "долгосрочного" вложения в размере 10 000 грн. обещают "рендит" (доходность) в размере 10%. Это должно обозначать "вечную" ренту в размере 1000 грн. ежегодно.
7.2.3. Метод расчета аннуитетов.
Предположим, что об объекте инвестирования известны следующие данные: расходы на приобретение объекта, срок его эксплуатации и введено допущение, что в конце срока эксплуатации объект не имеет остаточной стоимости. Исходя из предложенных данных хотелось бы знать, как велики должны быть среднегодовые чистые поступления (нетто - поступления), чтобы инвестиция с определенной расчетной ставкой процента была охарактеризована как прибыльная. В соответствии с ранее приведенной формулой для определения дисконтированной стоимости капитала при условии, что остаточная стоимость равна нулю (Сл = 0), а ежегодные чистые поступления неизменны, имеем:

В случае, если дисконтированная стоимость капитала равна нулю (С = 0), то следует:

Величина k характеризует чистое среднегодовое поступление (аннуитет), сумма их за n лет эксплуатации объекта инвестирования покрывает расходы на приобретение объекта Со и начисление процентов r. Следовательно, аннуитет рассчитывается как годовое чистое поступление, при котором дисконтированная стоимость капитала на базе расчетной ставки процента равна нулю.
Пример. Затраты на приобретение сдаваемого внаем дома составляют 1,5млн.грн. Какова должна быть величина среднегодовых поступлений за аренду, чтобы при расчетной ставке процента r=5%, возвратить через 30 лет затраты на приобретение дома?
Решение:

Чистые поступления за аренду (аннуитет) должны составлять 97575грн. Аннуитет распределяется в соответствии со следующим "планом погашения", а именно на возмещение затрат по приобретению объекта инвестиции как таковых и на погашение процентов (табл.5).
Порядок вычислений: прежде всего рассчитывается начисленный процент на остаточную стоимость предыдущего года; разница между аннуитетом и начисляемым процентом составляет возмещение затрат; новая остаточная стоимость определяется путем вычисления из остаточной стоимости предыдущего года величины возмещаемых затрат.
Таблица 5.
Конец года |
Проценты (5%) |
Возвращение затрат |
Аннуитет |
Остаточная стоимость |
| 0 | --- | --- | --- | 1500000 |
| 1 | 75000 | 22575 | 97575 | 1477425 |
| 2 | 73871 | 23704 | 97575 | 1453721 |
| 3 | 72686 | 24889 | 97575 | 1428832 |
| 4 | 71442 | 26133 | 97575 | 1402699 |
| 5 | 70134 | 27441 | 97575 | 1375258 |
Важно отметить, что год от года величина начисляемого процента уменьшается, в то же время, доля возмещения затрат в аннуитет возрастает.
Критерием доходности при использовании метода расчета аннуитета является следующее:
Если у объекта инвестирования аннуитет меньше ожидаемого годового чистого поступления, то данный объект инвестирования является прибыльным.
Если к объекта инвестирования аннуитет больше ожидаемого годового чистого поступления, то данный объект инвестирования является убыточным.
Величина аннуитета в существенной мере определяется заданной инвестором величиной расчетной ставки процента; повышение ставки процента увеличивает аннуитет.
7.2.4. Расчет сроков амортизации.
Используется довольно часто тогда, когда не представляется возможным из-за длительности периода эксплуатации объекта инвестирования достоверно оценить предстоящие поступления от инвестируемого объекта. В основе лежит условие, что объект считается достойным для инвестирования, если в течение определенного периода времени (планируемый амортизационный срок) покрываются расходы на его приобретение без учета начисления процентов.
В представленной схеме (рис.40.)фактический срок амортизации составляет
![]()
![]()
![]()
![]()
![]()
-1000 +200 +200 +200
+200 +200 +200 ….?
![]()
![]()
![]()
![]()
![]()
![]()
0 1 2 3 4 5 6
Рис.40. Последовательность платежей по объекту инвестирования.
5 лет. Если планируемый срок амортизации:
а) меньше, то инвестирование объекта не производится;
б) больше, то инвестирование объекта осуществляется.
Вывод: Если фактический срок амортизации является короче планируемого срока, то инвестиция считается прибыльной (доходной).
Пример. Как можно точно рассчитать срок амортизации.
Для метода расчета дисконтированной стоимости капитала действительно выражение:

и для С=0

Из примера, проиллюстрированного на рис.40, следует:

Следовательно, при r=0,06(6%) срок амортизации в соответствии с таблицей "Аннуитет для капитала" составляет приблизительно n=6 лет.
7.3. Сравнение объектов инвестирования.
Сравнение прибыльности нескольких объектов инвестирования проводится на основе разнообразных методов, которые базируются на различных предпосылках.
7.3.1. Метод оценки горизонта.
Из нескольких возможных вложений капитала самыми прибыльными является то, которое обнаруживает наибольшую величину горизонта. Если определено самое прибыльное вложение из нескольких возможных объектов инвестирования, то, может быть, с точки зрения масштабов инвестора данное вложение не является для него доходным; тогда из всех зол выбирается наименьшее. Следовательно, метод оценки горизонта должен всегда дополняться применением других методов оценки прибыльности инвестиций: методами расчета дисконтированной стоимости капитала и расчета внутренней процентной ставки с целью выбора соответственно наилучшей альтернативы.
Пример. Инвестор имеет возможность выбора между двумя следующими обьектами инвестирования:
Р1:50 +80
Р2:100 +70 +60
![]()
![]()
![]()
![]()
![]()
![]()
![]()
t
0 1 2 3
Банк, в котором инвестор может занять или вложить деньги, берет кредит 8% и соответственно выплачивает за вклад 6%. Инвестор располагает собственным капиталом в размере 50 и хотел бы инвестировать капитал на срок 2 года; его расчетная ставка процента составляет 10%.
Какой обьект инвестирования он должен выбрать?
Вспомогательный капитал банка может дополнить капитал, использованный на обьекты инвестирования следующим образом (при этом введены обозначения: Б - платежи банку, Б – поступления из банка):
Р1: -50 +80
-80 (Б) + Х2 (Б)
Р2:-100 +70 +60
+50 (Б) - 70 (Б) +Х2 (Б)
![]()
![]()
![]()
![]()
![]()
t
0 1 2
Действительно:
Х1 = 80 (1 + 0.06)1 = 84.80
Х2 = [70 – 50 (1 + 0.08)1] (1 + 0.06)1 = 16.96
Сумма кредита и плата за кредит (проценты), взятые у банка в момент времени t=0, вычитаются из поступлений банка в момент времени t=1.
С учетом дополнительных инвестиций это выглядит следующим образом:
Р1: -50 +80.80
Р2: -50 +76.96 (= 60+16.96)
![]()
![]()
![]()
![]()
![]()
t
0 1 2
Обьект инвестирования Р1 более прибыльным.
Является ли этот обьект инвестирования более прибыльным для инвестора, можно проверить с помощью расчета дисконтированной стоимости капитала:

Следовательно, для инвестора при заданной r=0,1 обьект Р1 является также более прибыльным из двух рассматриваемых обьектов инвестирования.
7.3.2. Проблематичность сравнения стоимости капитала.
Из нескольких обьектов инвестирования при заданной расчетной ставке процента можно выявить наиболее прибыльный обьект путем сравнения исходных альтернативных величин дисконтированной стоимости капиталов. При сравнении самым прибыльным был бы тогда тот обьект инвестирования, у которого оказывается самая высокая стоимость капитала.
7.3.3. Метод сравнения издержек.
Базируется не на анализе последовательности выплат и поступлений от обьекта инвестирования, а не том, какие издержки порождает обьект для каждого заданного периода.
7.3.4. Расчет рентабельности.
Применяется как метод определения годовой рентабельности (Р) анализируемых обьектов инвестирования по формуле:

и в последующем выбирается тот обьект, который имеет самую высокую рентабельность.
7.4. Неопределенность при инвестированном планировании.
При рассмотрении сроков амортизации уже затрагивалась проблема невозможности достаточно точной оценки платежей на достаточно длительные будущие периоды.
В основном все "входящие параметры" инвестированного расчета (калькуляции) могут быть исправлены путем использования надбавок и скидки на риск, а при большой неопределенности поведения инвестированного обьекта применяются следующие методы корректировок:
а) принимается более высокая расчетная ставка процента;
б) планируются более низкие чистые годовые поступления от инвестиций;
в) планируется меньшей срок эксплуатации обьекта.
Эти корректировки используются в том случае, когда имеют дело с "чувственным анализом инвестиций", т.е. инвестиции нельзя отнести к сравнимым и надежным.
Неопределенность в оценке успешности инвестирования не всегда вытекает из самого обьекта инвестирования (например, разведка золота в г. Желтые Воды),она скорее основывается на незнании изменений внешней экономической среды, в которой находится обьект инвестирования (конъюнктуры).
Вопросы.
1. Что Вы понимаете под:
а) реальной инвестиций;
б) финансовой инвестиций;
в) нематириальной инвестиций?
2. Что Вы понимаете под расчетной ставкой процента и под внутренней процентной ставкой?
3. Почему инвестиционные расчеты должны дополняется анализом экологического эффекта?
4. Что понимается под сроком амортизации?
5. Как можно определить наиболее выгодные направления инвестирования:
какое значение имеют расчетный уровень процента и банковская учетная
процентная ставка при оценке выгодности инвестиций;
какую роль играет аннуитет и срок амортизации при планировании
инвестиций?
6. Каким образом из ряда возможных обьектов инвестирования выбрать оптимальную величину инвестиции:
почему прямое сравнение различных обьектов инвестирования, как правильно, невозможно;
как можно различные обьекты инвестирования сделать сравнимыми;
почему сравнение обьектов инвестирования на основе затрат является проблематичным?
7. Как можно разрешить проблему неопределенности при планировании инвестиций?
Литература:
1. Бровкова Е.Г., Поповенко Н.С., Продиус И.П., Приступа Н.Ф. Экономика машиностроительной промышленности: методические указания для самостоятельной работы студентов. - Одесса: ОГПУ,1994г.
2. Емцов Р.Г., Лукин М.Ю. Микроэкономикая. - М.:МГУ,1997г.
3.Захарченко В.П. Переходная экономика и оценка инвестированных проектов. - Одесса: ИРЭНТиТ,1998г.
4. Придиус И.П., Бровкова Е.Г., Приступа Н.Ф. Экономика машиностроительной промышленности: конспект лекций для самостоятельной работы студентов. - Одесса: ОГПУ, 1994.
5. Разумов И.М. и др. Организация, планирования и управления предприятиями машиностроения. - М.: Машиностроение,1982г.
6. Сачко Н.С. Теоретические основы организации производства. - Минск: Дизайн ПРО, 1997г.
7. Сулье Д., Ру Д. Управлiння. - Киiв: Основи,1995г.
8. Форд Г. Моя жизнь, мои достижения. - Киев: Грайлык,1993г.
9. Шмален Г. Основы и проблемы экологии предприятия. Под ред. А.Г.Поршнева. - М:Финансы и статистика,1996г.
10. Универсальный учебный экономический словарь. Под ред. О.Мамедова.-Ростов-на-Дону:Феникс,1996г.
11. Управление -это наука или искусство. А.Файоль, Г. Эмерсон, Ф. Тейлор,Г.Форд.-М:Республика,1992г.
12. Экономика. Под ред. доц. А.С.Булатова.-М:БЕК,1996г.
13. Экономика предприятия. Под ред. О.И.Волкова, - М:ИНФРА - М-1997г.
14. Экономика производства. - Одесса: Астропринт,1998г.
15. Якокка Л. Карьера менеджера. - М.: Прогресс,1990г.
Содержание.
Введение
1. Принятие решений на предприятии....................…………………………
1.1. Характер ситуации принятия решения...............………………………..
1.2. Параметры решения................................………………………………...
1.3. Альтернатива принятия решения....................…………………………..
1.4. Целевая установка................................…………………………………..
1.5. Процесс принятия решений.........................…………………………….
1.6. Выбор альтернатив в случае "связки целей"........……………………...
1.7. Теория приспособления притязаний.................…………………………
Вопросы
2. Принятие решений в сфере планирования..............………………………
2.1. Гибкость планов..................................……………………………………
2.2. Координация планов...............................…………………………………
2.3. Срочность планов.................................…………………………………..
Вопросы
3. Организационные решения............................……………………………..
3.1. Решение об организационном строении..............………………………
3.2. Решение об организации организационного процесса.……………….
3.3. Решение в связи с контролем......................…………………………….
Вопросы
4. Руководство персоналом на предприятиях.............………………………
4.1. Теория Симона с стимулах и вкладах...............…………………………
4.2. Теория трудовой мотивации........................…………………………….
4.3. Пирамида потребления Маслоу…………………………………………
4.4. Мотиваторы Герцберга…………………………………………………..
4.5. Теория инструментальности Фроома - Портера – Лавлера……………
4.6. Группа на предприятии………………………………………………….
4.7. Принципы и системы менеджмента…………………………………….
4.8. Ситуационный подход к организации руководства……………………
Вопросы
5. Планирование подготовки производства…………………………………
5.1. Наем сотрудников………………………………………………………..
5.2. Заготовка потенциальных факторов……………………………………
5.3. Планирование материально-технического обеспечения………………
Вопросы
6. Планирование производства………………………………………………
6.1. Предмет…………………………………………………………………..
6.2. Планирование производственной программы…………………………
6.3. Планирование выполнения производственной программы…………..
6.4. Планирование типа производства………………………………………
Вопросы
7. Планирование инвестиций…………………………………………………
7.1. Понятие инвестиций……………………………………………………..
7.2. Прибыльность обьектов инвестирования……………………………….
7.3. Сравнивание обьектов инвестирования…………………………………
7.4. Неопределенность при инвестированном планировании……………..
Вопросы
Литература
Содержание
70
Похожие работы
-
Задачи и основные направления прогнозирования научно технического прогресса
Министерство образования и науки Украины Харьковский национальный университет им. В.Н. Каразина Факультет: экономический Контрольная работа по предмету:
-
Расч т годового баланса рабочего времени
Министерство образования и науки Украины Севастопольский национальный технический университет Факультет Экономики и менеджмента Кафедра Экономики и маркетинга
-
Разработка плана производства продукции и услуг на предприятии
Виды и анализ выполнения планов. Определение потребностей и распределение ресурсов. Планирование как организация процесса. Оценка планов и ее критерии. Движение денежных средств и эффективность инвестиций. Анализ чувствительности и безубыточности.
-
Стратегическое планирование – основные штрихи
Практика показывает, что используя преимущества стратегического планирования, организации в целом и отдельные люди получают в свои руки эффективный способа оценки цели и направления развития предприятия.
-
Сертификация люков телефонной канализации
Министерство образования Украины Донецкий институт предпринимательства Эко6номико –правовое обеспечение хозяйственной деятельности Стандартизация, сертификация, управление качеством
-
Планирование и управление корректировкой конструкторских документов по результатам изготовления и испытаний опытного образца (партии) при выполнении ОКР
смотреть на рефераты похожие на "Планирование и управление корректировкой конструкторских документов по результатам изготовления и испытаний опытного образца (партии) при выполнении ОКР"
-
Лизинг как инструмент обеспечения конкурентоспособности
Захарченко В.И. ЛИЗИНГ КАК ИНСТРУМЕНТ ОБЕСПЕЧЕНИЯ КОНКУРЕНТОСПОСОБНОСТИ В период трансформации украинской экономики от плановой к смешанной появляется интерес к новым нетрадиционным формам деятельности предприятий. Одной из таких форм является лизинг. Закон Украины о лизинге определяет: «Лизинг – это предпринимательская деятельность, направленная на инвестирование собственных или привлеченных финансовых средств и заключающаяся в предоставлении лизингодателем в исключительное пользование на определенный срок лизингополучателю имущества, которое является собственностью лизингодателя или приобретается им в собственность по поручению и согласованию с лизингополучателем у соответствующего продавца имущества, при условии уплаты лизингополучателем периодических лизинговых платежей » (1,с.7).
-
Системное описание ОЭС "Университет" на базе модели "черного ящика"
Принципы и этапы составления системного описания организационно-экономической системы "Харьковский национальный экономический университет" для системного и экономического анализа функционирования объекта, а также структуры годовых доходов и расходов ОЭС.
-
Международные экономические отношения Украины и Соединенных Штатов Америки проблемы и перспекти
МЕЖДУНАРОДНЫЕ ЭКОНОМИЧЕСКИЕ ОТНОШЕНИЯ УКРАИНЫ И США. ПРОБЛЕМЫ И ПЕРСПЕКТИВЫ В статье проведен анализ международных экономических отношений Украины и США на современном этапе. Рассмотрены различные направления данных отношений и перспективы их развития.
-
Этапы разработки производственной программы предприятия
Комплексный подход к разработке производственной программы предприятия. Производственная программа предприятия. Система внутрифирменного планирования. Разработка программы. Расчет потребности в ресурсах. Планирование доходов и расходов.
Доля
в достижении
Продукт