Название: Эффективность управления показатели, критерии, факторы
Вид работы: курсовая работа
Рубрика: Экономика
Размер файла: 51.81 Kb
Скачать файл: referat.me-385168.docx
Краткое описание работы: ФЕДЕРАЛЬНОЕ ГОСУДАРСТВЕННОЕ ОБРАЗОВАТЕЛЬНОЕ УЧРЕЖДЕНИЕ ВЫСШЕГО ПРОФЕССИОНАЛЬНОГО ОБРАЗОВАНИЯ «СЕВЕРО-КАВКАЗСКАЯ АКАДЕМИЯ ГОСУДАРСТВЕННОЙ СЛУЖБЫ»
Эффективность управления показатели, критерии, факторы
ФЕДЕРАЛЬНОЕ ГОСУДАРСТВЕННОЕ ОБРАЗОВАТЕЛЬНОЕ УЧРЕЖДЕНИЕ ВЫСШЕГО ПРОФЕССИОНАЛЬНОГО ОБРАЗОВАНИЯ
«СЕВЕРО-КАВКАЗСКАЯ АКАДЕМИЯ ГОСУДАРСТВЕННОЙ СЛУЖБЫ»
Кафедра государственного и муниципального управления
Курсовая работа
на тему: «Эффективность управления: показатели, критерии, факторы».
Выполнил:студент 2 курса заочного отделения факультета ГМУ группы 616
Отроков
Олег
Юрьевич
Научный руководитель:
Содержание
Введение.
1. Эффективность управления: показатели и критерии
1.1 Общее представление
1.2 Показатели и критерии эффективности управления
2. Факторы эффективности управления
3. Оценка эффективности деятельности менеджера
3.1 Формы оценки деятельности менеджера
3.2 Оценка вклада менеджера в эффективность управления
3.3 Ранговый метод планирования и оценки эффективности менеджмента
4. Основные теоретические аспекты системы управления персоналом
4.1 Система управления персоналом
4.2 Формирование системы управления персоналом
Заключение.
Список использованных источников.
ВВЕДЕНИЕ
Деятельность менеджера заключается в руководстве людьми (то есть в управлении), направленном на достижение поставленных перед организацией целей. Если управленческая деятельность решает поставленные задачи, обеспечивает реализацию целей, причем на основе оптимального использования имеющихся ресурсов, то она считается эффективной. Иными словами, эффективность показывает, в какой мере управляющий орган реализует цели, и в этом смысле проблема эффективности управления является составной частью экономики управления, частью эффективности производства. В связи с этим оценка эффективности менеджмента будет являться основополагающей при стратегическом и оперативном планировании организации.
Эффективность менеджмента – сложная, многогранная категория. Она отражает характерные особенности экономических, социальных и иных явлений. Анализ категории эффективности, факторов ее определяющих позволяет сделать вывод, что адекватными содержанию и формам проявления эффективности являются группы показателей экономической эффективности, которые могут выступать в качестве измерителя, критерия эффективности организации. Анализ категории эффективности, факторов ее определяющих позволяет сделать вывод, что адекватными содержанию и формам проявления эффективности являются группы показателей экономической эффективности, которые могут выступать в качестве измерителя, критерия эффективности организации. В качестве критерия эффективности производства и управления используются частные показатели использования отдельных видов ресурсов: материальных ресурсов, основных производственных фондов, капитальных вложений, производительности труда, характеризующей экономическую деятельность персонала, и обобщающие показатели, характеризующие конечные результаты. Улучшение показателей эффективности деятельности организации возможно в результате разработки и реализации путей роста экономической эффективности управления.
Эффективность управленческой деятельности применительно к субъекту управления характеризуется не только количественными показателями (экономический эффект), но и качественными (социальная эффективность), характеризующимися только результирующими составляющими основных показателей: завоевание общественного доверия, управляемость системы, мобильность и др.
Формирование системы управления персоналом также является сложным и трудоемким процессом, требующим от менеджера глубоких знаний начиная с экономических аспектов и заканчивая психологией людей. Главная цель системы управления персоналом – обеспечить выполнение решений вышестоящих органов для решения единых целей.
Эффективность управления, которая, по сути, определяет и успешность функционирования фирмы, и ее адаптивность к внешним угрозам и изменениям, и ее выживаемость будет рассмотрена мной в данной курсовой работе.
1. ЭФФЕКТИВНОСТЬ УПРАВЛЕНИЯ: ПОКАЗАТЕЛИ И КРИТЕРИИ
1.1 Общее представление
Осуществление и совершенствование управления организацией вызывают необходимость определения результативности данной деятельности. В связи с этим возникает вопрос: «Что такое эффективность менеджмента или управления, каковы виды и принципы эффективности?».
Какую бы деятельность ни осуществлял человек, он всегда стремится выполнять свою работу рационально и эффективно. Рационализм предполагает поиск наиболее удобных и производительных методов выполнения работы, эффективность – наилучший результат, сопоставимый с затратами усилий или ресурсов на достижение этого результата.
В данном случае закономерен вопрос, насколько ваша организация экономична (цена которую пришлось заплатить за полученный результат) или выгодна, одним словом во сколько раз результат больше затрат?
Однако часто главным бывает не то, во сколько раз результат больше затрат, а является ли он более ценным. Так как на сегодняшний день в условиях рыночной экономики во главу угла встают вопросы конкурентоспособности, то руководитель должен заботиться о производительности, возрастании роли управления и общественной значимости его деятельности. В связи с этим, нам нужно научиться оценивать уровень управления, возможности организации, но перед нами всегда будет стоять задача выбора наиболее выгодного варианта управления.
Соотношение результатов и затрат это и есть содержание эффективности как управленческой категории.
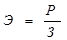
В общем виде эффективность управленческой деятельности (Э) выражают следующей формулой:
![]()
где Р - результат функционирования системы управления (результирующая составляющая);
3 - затраты на управленческую деятельность или объем использованных ресурсов (затратная составляющая).
Под эффективностью менеджмента понимают, сложную многогранную категорию, которая отражает характерные особенности экономических, социальных, организационных и иных явлений.
Эффективность управления, как социально-экономическая категория, - это результативность данной деятельности, степень рационального использования материальных, финансовых и трудовых ресурсов. Функциональная роль эффективности управления – отражать уровень и динамику его развития, качественную и количественную стороны данного процесса.
Эффективность можно различать как потенциальную и реальную. Потенциальная эффективность оценивается предварительно, реальная определяется полученными на практике результатами.
Эффективность управления бывает тактической и стратегической. Тактическая эффективность отражает получение эффекта в ближайшем времени, стратегическая в будущем.
В достижении высокой эффективности менеджмента большую роль играют характеристики системы, механизма и процесса (технологии) менеджмента. Однако, эффективность менеджмента всегда изменчива и определяется не только внутренними факторами, но и внешними – состоянием экономики, конкуренцией, социально политической обстановки и др. При этом внешняя и внутренняя эффективность менеджмента должны быть сбалансированы.
Современная наука выделяет три группы основных принципов, определяющих эффективность менеджмента. Они получили название - принципы приоритетов в менеджменте. Главными из них являются:
· приоритеты человеческого фактора – мотивированная деятельность, профессионализм;
· принципы критических факторов – учет фактора времени, развитие информационных технологий, корпоративность, как форма эффективного сотрудничества и партнерства;
· основные принципы ориентирования – управленческая деятельность включает в себя разработку цели, миссии и стратегии менеджмента, обеспечение качества, создание условий творчества (система «думай сам») и др.
В чем же состоит проблематика оценки эффективности менеджмента?
В первую очередь проблемы в оценки эффективности управления связаны с тем, что результат может быть как прямым (непосредственным), так и косвенным (отдаленным), что не позволяет в настоящее время судить об эффективности менеджмента фирмы (временной фактор). Но времени на проверку «команды» нет, ведь в рыночной экономике необходимо реагировать на изменения рынка мгновенно, незамедлительно, при этом подбирать квалифицированный персонал, способный быстро перестраиваться и подстраиваться под изменение экономического состояния. Все это подталкивает на нахождение все новых и новых методов оценки эффективности работы системы управления.
Во-вторых, результат деятельности может принести социально-экономический, социально-психологический и социально-организационный эффект, которые сложно оценивать в совокупности. Каждый результат является по своему положительным, но необходимо выделить наиболее важный и значимый для конкретной организации.
В-третьих, мы можем получить исключительно экономический, производственный эффект, что, конечно, хорошо, но для того, чтобы говорить об эффективности менеджмента организации лишь экономических успехов не достаточно. Кроме того, следует оценивать период и длительность экономических успехов, ведь на определенном этапе деятельности фирмы может сложиться впечатление, что она экономически выгодна, но это впечатление может быть обманчиво.
Социальный и экономический эффект находятся в постоянном противоречии. Рост социального эффекта может вызывать снижение экономического эффекта и наоборот.
1.2 Показатели и критерии эффективности управления
В оценке управления наибольшую сложность представляет понимание его результата. Можно оценить ресурсы, легко измерить время, трудно оценить результат.
Есть конечный результат, в котором управление проявляется лишь опосредовано, и можно назвать непосредственный результат, который присущ любому виду деятельности человека.
Непосредственный результат управления может характеризовать комплекс критериев и показателей эффективности.
Что же такое критерий и показатель эффективности управления?
Критерий эффективности - признак, на основании которого производится оценка, определение или классификация чего либо; мерило суждения, оценки.
Критерий эффективности управления определяется не только оптимальностью функционирования объекта управления, но и качеством труда персонала, социальной эффективностью.
Рассмотрим критерии эффективности, относящиеся к объекту управления. Современная наука выделяет общие, локальные и качественные критерии эффективности управления.
Общий критерий – экономические результаты деятельности управляемой подсистемы в целом, т.е. осуществление предприятием (или организацией) своей миссии при наименьших затратах. Данный критерий является узким, хотя достаточно точным на определенном этапе деятельности организации.
Группа более частных локальных критериев:
· затраты живого труда на производство продукции или оказание услуг;
· затраты материальных ресурсов;
· затраты финансовых ресурсов;
· показатели использования основных производственных фондов;
· ускорение оборачиваемости оборотных средств;
· сокращение срока окупаемости капиталовложений.
Группа качественных критериев:
· увеличение доли продукции высшей категории качества;
· обеспечение экологической чистоты;
· выпуск продукции, необходимой обществу;
· улучшение условий труда и быта работников;
· ресурсоэнергосбережение и др.
Критерием эффективности управления, кроме того, при определенных условиях может быть максимум выпуска продукции или максимум услуг.
Все эти критерии должны быть отражены в определенной системе показателей экономической эффективности, которые мы рассмотрим ниже.
Показатель эффективности – количественная характеристика работы предприятия, косвенно характеризует эффективность управления.
Такие показатели эффективности как производительность труда, материалоемкость, фондоотдача основных производственных фондов, оборачиваемость оборотных средств, окупаемость капиталовложений условно можно объединить в группу частных или локальных показателей.
Кроме того, выделяют обобщающие показатели: рентабельность и ликвидность. Они отражают результат хозяйственной деятельности и управления в целом но не в полной мере характеризуют эффективность и качество управления трудовыми процессами, производственными фондами, материальными ресурсами.
Показателями, характеризующими работу аппарата управления являются стратегическая эффективность управления и своевременность принятия и осуществления управленческих решений.
При оценке эффективности управления необходимо комплексное применение всей системы обобщающих и частных показателей. Не возможно с большой точностью сказать о менеджменте фирмы, взяв во внимание лишь несколько показателей эффективности. Ведь деятельность неоднородна – по некоторым показателям можно лидировать, а по некоторым быть стабильно отстающим.
2. ФАКТОРЫ ЭФФЕКТИВНОСТИ УПРАВЛЕНИЯ
Для обеспечения эффективности менеджмента необходимо учитывать все влияния на ее же факторы. Но это можно сделать только тогда, когда эти факторы систематизированы и выделены основные и определяющие.
Что же такое фактор, по каким признакам их можно классифицировать?
Фактор - момент, существенное обстоятельство в каком-то процессе, явлении. Эффективность управления формируется под воздействием ряда факторов, которые можно классифицировать по следующим признакам:
1) по продолжительности влияния;
2) по характеру влияния;
3) по степени формализации;
4) в зависимости от масштаба влияния;
5) по содержанию;
6) по форме влияния;
Рассмотрим более подробно основные факторы, оказывающие влияние на эффективность менеджмента.
По продолжительности влияния выделяют факторы, влияние которых сказывается на протяжении длительного времени (технический уровень производства, стиль управления и др.) и которые действуют непродолжительное время (прогулы, простои, нарушения трудовой дисциплины и т.п.).
По характеру влияния различают факторы интенсивные и экстенсивные. Первые обеспечивают повышение эффективности менеджмента за счет мобилизации внутренних ресурсов, совершенствование организации труда управленческих работников и улучшение его условий, подготовка кадров управления. Вторые предусматривают привлечение дополнительных ресурсов – увеличение численности управленческого персонала, расширение технического оснащения труда управленцев на качественно неизменной основе и т.д.
По степени формализации выделяют количественно измеримые и количественно неизмеримые факторы. К количественно измеримым факторам относятся различные распорядительные документы (приказы, распоряжения), поручения, отдаваемые в письменной форме. В данном случае оценка происходить по количественному, а не качественному показателю. К неизмеримым относятся устные, неофициальные поручения.
В зависимости от масштаба влияния факторы можно подразделить на: народно-хозяйственные, отраслевые (оказывают влияние на определенную отрасль), на уровне организаций (оказывают влияние на внутреннюю структуру организации), на уровне подразделений (оказывает влияние лишь на определенное подразделение организации, не распространяя свое влияния на всю организацию).
По содержанию различают факторы:
· научно-технические (уровень механизации и автоматизации труда),
· организационные (рациональная структура аппарата управления, расстановка кадров, документооборот, трудовая дисциплина),
· экономические (система материального поощрения и материальной ответственности),
· социально-психологические (мотивация труда, межличностные отношения),
· технические,
· физиологические (санитарно-гигиенические условия труда) и др.
По форме влияния различают факторы прямые (квалификация персонала, состояние оборудования) и косвенные (психологический климат, групповая динамика). Первые непосредственно влияют на эффективность управленческого труда, вторые - опосредованно.
Каждый из перечисленных факторов может воздействовать на систему управления сам по себе, в отдельности, а также в совокупности с другими. При совместном положительном воздействии они обеспечивают существенный рост результативности менеджмента (за счет синергического эффекта), при отрицательном - снижают ее. Роль менеджеров состоит в том, чтобы планомерно воздействовать на указанные факторы. Рост эффективности должен стать объектом постоянной управленческой деятельности на всех уровнях организации.
3. ОЦЕНКА ЭФФЕКТИВНОСТИ ДЕЯТЕЛЬНОСТИ МЕНЕДЖЕРА
В современных условиях бизнеса на российских предприятиях недостаточное внимание уделяется проблемам труда и оценке его эффективности, и в частности эффективности работы менеджеров.
Для оценки эффективности работы менеджера, необходимо определить, с помощью каких форм и по каким направлениям оценивается деятельность менеджера.
3.1. Формы оценки деятельности менеджера
В зависимости от постановки цели при определении результата деятельности менеджера выбираются соответствующие формы ее оценки. В настоящее время наиболее широкое применение получили следующие формы оценки деятельности менеджера: анкетирование, психологический аудит, собеседование, графологический анализ, изучение кадровых документов, оценочные испытания.
Исходя из форм, оценку деятельности менеджера, можно разделить на два главных направления. Это оценка эффективности труда менеджера и оценка качеств менеджера.
Оценка эффективности труда менеджера, в свою очередь, является комплексным процессом и состоит из следующих этапов:
· оценка личного вклада менеджера в деятельность организации;
· оценка эффективности использования рабочего времени менеджера;
· оценка результатов работы менеджера;
· оценка содержания труда менеджера.
Личностные и профессиональные качества менеджера являются теми средствами, которые применяются им каждодневно в процессе анализа и принятия управленческих решений, контроля за их выполнением. При проведении аттестации работников, как правило, оценка проводится по трем группам качеств:
· профессионализм и компетентность;
· деловые качества;
· личные характеристики.
Значительное место в оценке деятельности менеджера занимает проблема определения личного вклада менеджера в итогах деятельности компании. В настоящее время существует несколько подходов к решению данной проблемы, а именно: определять личный вклад по удельному весу заработной платы работников аппарата управления в себестоимости готовой продукции или измерять личный вклад с помощью показателя выработки на одного работающего с учетом сложности труда и качества продукции. Но в конечном итоге предлагаемые варианты сводятся к их первоначальному назначению - вычислению затрат предприятия на содержание аппарата управления, что не отвечает поставленной задаче - определению личного вклада управленца.
3.2. Оценка вклада менеджера в эффективность управления
Интересный подход к оценке личного вклада нашли в японской корпорации «Сони». Он подразумевает измерение вклада менеджера с помощью управленческой добавленной стоимости.
Управленческая добавленная стоимость - это разница между расходами предприятия на содержание менеджеров и ценностью, которая ими создается. Управленческая добавленная стоимость рассчитывается с учетом добавленной бизнесом стоимости и добавленной акционерами стоимости:
УДС = ДБС - ДАС - ОИ - УИ
где: УДС - управленческая добавленная стоимость; ДБС - добавленная бизнесом стоимость; ДАС - добавленная акционерами стоимость; ОИ - операционные издержки; УИ - управленческие издержки.
Добавленная акционерами стоимость - это величина дохода, который могли бы получить акционеры при альтернативном инвестировании собственного капитала. Объем добавленной акционерами стоимости может выражаться банковской процентной ставкой, умноженной на величину собственного капитала.
Операционные издержки - это фонд заработной платы, амортизационные исчисления, а так же текущие расходы.
Управленческие издержки - это расходы на содержание управленческого персонала.
Добавленная бизнесом стоимость - это разница между величиной общего дохода фирмы от реализации товаров и услуг и объемов затрат и налогов. В затраты включаются: расходы на сырье и материалы, запасные части, электроэнергию, услуги, платежи по банковским кредитам.
ДБС = ОД - ЗН
где: ОД - общий доход фирмы; ЗН - затраты и налоги.
Отрицательное значение УДС говорит о неэффективной деятельности менеджера
Для более подробного анализа деятельности менеджера вводится показатель рентабельности управления.
Рентабельность управления - это отношение управленческой добавленной стоимости к управленческим затратам, аналогичное понятию рентабельности инвестирования:
Ру=УДС/УЗ
где: Ру - рентабельность управления.
Отрицательная рентабельность управления требует оптимизации структуры управления.
В условиях отсутствия единой методики определения личного вклада, данный подход может применяться наиболее результативно в случае, если определяется личный вклад целого подразделения управленческих работников, группы менеджеров.
На современном этапе в производственной и управленческой деятельности интеллектуальным дополнением к экономике и современной организации различной деятельности становится человеческий фактор.
3.3 Ранговый метод планирования и оценки эффективности управления
В современных условиях большой интерес представляет метод оценки эффективности деятельности предприятий, основанный на системном подходе к анализу результатов деятельности. Чаще всего эта задача решается при помощи вовлечения в анализ все большего числа показателей и отыскания из их числа таких, которые в большей степени отражают результативность работы коллектива предприятия. Однако при увеличении количества показателей неизбежно возникает вопрос определения их значимости, роли в достижении эффективной деятельности. Для учета наравнозначности показателей применяется их ранжирование - присвоение показателям фиксированной балльной оценки, которая тем больше, чем важнее рассматриваемый показатель.
И.М. Сыроежин предложил метод ранговой оценки эффективности менеджмента.
Основу методики представляет нормативная система показателей (НСП). НСП упорядочивает показатели путем присвоения показателям соответствующих закономерностей соотношений темпов их роста. Чем выше должен быть темп роста одного показателя по отношению к темпам роста других, тем выше его ранг.
Правила построения НСП:
· не включаются производные показатели, т.е. те показатели, которые рассчитываются как производные или являются частными других показателей, например, себестоимость, производительность труда.
· набор показателей оценивается по их воздействию на значение управляемой переменной, ее ускорение.
· показатели, для которых периодичность учета больше, чем интервал регулирования режима, исключаются из дальнейшего анализа.
· могут входить самые разнообразные показатели, как натуральные, так и стоимостные, так как фиксируется их относительная величина - темп роста.
· НСП является динамичной системой: с учетом требований изменяющихся приоритетов, можно менять и системы показателей.
Следующее правило формирования НСП состоит в определении приоритетов показателей путем установления соотношений между их ростом. Для этого используются экономические закономерности роста эффективности. Так, из закономерности роста прибыли как условия, обеспечивающего эффективность производства следует, что рост этого показателя должен опережать рост всех остальных показателей.
Далее, из закономерности роста производительности труда вытекает, что рост объема продаж должен обгонять рост численности работающих; из закономерности роста фондоотдачи следует, что рост объема продаж должен обгонять рост основных фондов; из закономерности роста фонда вооруженности труда - рост основных фондов должен обгонять рост численности. Из этих четырех закономерностей вместе взятых следует, что рост прибыли должен обгонять рост объема продаж, который, в свою очередь, должен обгонять рост основных фондов, а рост основных фондов - рост численности работающих. Таким образом, ранг прибыли будет старше ранга показателя, отражающего величину продаж, а он, в свою очередь, старше ранга производственных фондов, который будет старше ранга показателя среднесписочной численности работающих. Рост фонда заработной платы должен опережать рост численности промышленно-производственного персонала, иначе не будет обеспечен рост средней заработной платы.
Таким образом, нормативная система рассмотренных нами показателей будет выглядеть следующим образом.
| Наименование показателя | Ранг |
| Прибыль | 1 |
| Объем продаж | 2 |
| Основные производственные фонды | 3 |
| Материальные затраты | 4 |
| Фонд заработной платы | 5 |
| Численность ППП | 6 |
В построенной таким образом НСП заложено, что если фактические значения роста показателей будут соотносится в порядке их значимости в НСП, то в этом случае будут выполняться условия эффективности. Задача численной оценки эффективности в этом случае сводится к оценке соотношения между оптимальной и фактической величинами роста показателей, вошедших в НСП.
Такая оценка имеет следующие преимущества перед другими методиками расчета эффективности:
· осуществляется системный подход к анализу деятельности предприятий, поскольку в НСП входят показатели, отражающие основные факторы роста эффективности;
· известные закономерности роста эффективности обобщаются в единый критерий роста эффективности, выражением которого является НСП;
· поскольку в НСП входят показатели, отражающие как результаты деятельности предприятия, так и ресурсы, которые имеются у него, то при использовании этой методики осуществляется учет условий производства, в которых находится данное предприятие;
· поскольку данная методика опирается не на анализ достигнутого уровня, а на оценку динамики, изменения основных технико-экономических показателей, то с единых позиций можно подходить к оценке как эффективных, так и нерентабельных предприятий;
· так как в НСП фиксируется только относительная величина - темп роста показателей, то в нее могут входить самые разнообразные показатели, как натуральные, так и стоимостные;
· НСП очень динамична, так как мы легко можем изменить ранги показателей, входящих в НСП, и таким образом учесть последние требования, предъявляемые к промышленности, например, повышение конкурентоспособности продукции или ориентация на расширение рынков сбыта продукции и другие показатели.
Процесс анализа эффективности по данному методу включает следующие этапы:
· разрабатывается нормативная система показателей;
· анализируются отчетные данные по показателям, вошедшим в НСП;
· на основании аналитических расчетов определяется рост показателей и на его основе устанавливаются фактические ранги;
· сравниваются оптимальные (определенные в НСП) и фактические ранги.
4. ОСНОВНЫЕ ТЕОРЕТИЧЕСКИЕ АСПЕКТЫ СИСТЕМЫ
УПРАВЛЕНИЯ ПЕРСОНАЛОМ
4.1 Персонал, как объект управления
Кадры являются основой любой организации. Она живет и функционирует только потому, что в ней есть люди, которые создают ее продукт, формируют культуру организации, ее внутренний климат, от них зависит то, чем является организация.
Люди, работающие в организации, сильно отличаются друг от друга по многим параметрам: пол, возраст, образование, семейное положение и т.д. Все эти отличия могут оказывать серьезное влияние как на характеристики работы и поведение отдельного работника, так и на действие и поведение других членов организации. Поэтому задача управления состоит в том, чтобы способствовать развитию положительных результатов деятельности каждого отдельного человека и стараться устранять отрицательные последствия его действий.
Персонал - это работники, выполняющие производственные или управленческие операции и занятые переработкой предметов труда с помощью средств труда. Персонал - личный состав организации, работающий по найму и обладающий определенными признаками. Термин «персонал» объединяет все составные части трудового коллектива предприятия.
Рассмотрим понятие «персонал» на примере торгового предприятия. Оно характеризуется численностью и составом занятых на нем работников. В целях эффективного управления процессом формирования и использования персонала на предприятии торговли применяется классификация работников по следующим основным признакам:
· по категориям (управленческий, торгово-оперативный, вспомогательный);
· по должностям и профессиям (руководители, специалисты, продавцы, кассиры, грузчики и т.д.);
· по специальностям (экономисты, финансисты, бухгалтеры, продавцы продовольственных товаров, продавцы непродовольственных товаров и т.п.);
· по уровню квалификации (продавец, продавец второй категории, продавец первой категории и т.д.);
· по полу и возрасту (мужчины: до 30 лет, от 30 до 60, свыше 60; женщины: до 30 лет, от 30 до 55, свыше 55 лет);
· по стажу работы в торговле (до 1 года, от 1 до 3 лет, от 3 до 10 лет, свыше 10 лет);
· по отношению к собственности (работники-собственники имущества предприятия, наемные работники);
· по характеру трудовых отношений (постоянные работники, временные работники).
Управление персоналом связано с использованием возможностей работников для достижения целей организации. Управлять персоналом означает планировать, организовывать, осуществлять мотивацию и контроль за формированием, распределением, перераспределением и использованием кадров. Кадровая работа включает в себя следующие элементы:
· подбор и расстановка кадров;
· обучение и развитие кадров;
· компенсацию за выполненную работу;
· создание условий на рабочем месте;
· разрешение трудовых споров;
· и т.д.
В 80-х гг. Госкомтрудом СССР была предложена квалификация работников, которая по сегодняшний день является базовой. Она предполагает выделение двух основных групп персонала в зависимости от участия в процессе производства: работников и служащих.
Рабочие или производственный персонал, осуществляют трудовую деятельность в материальном производстве с преобладающей долей физического труда. Он подразделяется на основной (производство ключевых для фирмы работ) и вспомогательный (дополнительные, не столь важные работы). Результатом их труда является продукция в вещественной форме.
Служащие или управленческий персонал осуществляют трудовую деятельность в процессе управления производством с преобладающей долей умственного труда. Результатом их трудовой деятельности является изучение проблем управления, подготовка управленческих решений, а после выбора руководителем наиболее эффективного варианта – реализация и контроль за исполнением.
Управленческий персонал подразделяется на две основные группы: руководители и специалисты. Принципиальное отличие руководителя от специалиста в юридическом праве принятия решений и наличии в подчинении других работников.
В зависимости от масштаба управления различают линейных руководителей, отвечающих за принятие решений по всем функциям управления, и функциональных руководителей, реализующих отдельные функции управления. Кроме того, различают руководителей высшего (директор и его заместители), среднего (начальники цехов и подразделений) и нижнего уровня (начальники участков, мастера).
Эффективность управления персоналом во многом зависит от выбранной системы управления персоналом организации. Таким образом, следует рассмотреть систему управления персоналом в целом.
4.2 Формирование системы управления персоналом
С учетом изложенных принципов классификации строится процесс управления персоналом торгового предприятия. Главная цель управления персоналом состоит в формировании численности и состава работников, отвечающих специфике данного торгового предприятия и способных обеспечивать основные задачи его развития в предстоящем периоде.
Процесс управления персоналом торгового предприятия базируется на следующих принципах:
· подчиненность общей стратегии развития торгового предприятия;
· обеспечение стабилизации состава работников;
· отказ от жесткой классификации работ;
· отбор основных работников на конкурсной основе;
· учет трудовой мотивации основных работников;
· учет правовых норм и государственного регулирования занятости и оплаты труда.
С учетом изложенных основных принципов формируется система управления персоналом на конкретном торговом предприятии, дифференцируются функции этого управления.
Система управления персоналом предполагает формирование целей, функций, организационной структуры управления персоналом, взаимосвязей руководителей и специалистов в процессе выработки, принятия и реализации управленческих решений. Система работы с персоналом – это совокупность принципов и методов управления кадрами рабочих и служащих на предприятии. Управление персоналом подразумевает целенаправленную деятельность руководящего звена, руководителей и специалистов подразделений, в том числе разработку принципов и методов управления персоналом.
Основной целью управления численностью и составом персонала является оптимизация затрат живого труда на выполнение основных работ, связанных с деятельностью торгового предприятия, и обеспечение заполнения необходимых рабочих мест работниками соответствующих профессий, специальностей и уровней квалификации. Управление численностью и составом персонала охватывает ряд последовательно выполняемых этапов работ:
· проектирование трудовых процессов на предприятии;
· нормирование затрат труда на выполнение отдельных видов работ;
· планирование численности работников отдельных должностей, профессий и уровней квалификации;
· формирование персонала предприятия.
Эффективное использование сформированного на торговом предприятии персонала в значительной степени обеспечивается разработкой системы мероприятий, направленных на повышение производительности труда.
Под производительностью труда понимается отношение основных результатов деятельности торгового предприятия и отдельных его работников к затратам труда персонала на ее осуществление в определенном периоде. Основной целью управления производительностью труда на торговом предприятии является поиск и реализация возможных резервов ее роста при обеспечении высокого уровня торгового обслуживания покупателей. Это управление охватывает следующий ряд последовательно выполняемых этапов работ:
· построение системы показателей, в наибольшей степени характеризующих производительность труда персонала данного предприятия;
· поиск и оценка возможных резервов роста производительности труда на предприятии;
· разработка мероприятий по обеспечению реализации резервов роста.
Система управления стимулированием труда призвана создать новый мотивационный механизм трудовой активности персонала на предприятиях торговли всех форм собственности и организационно-правовых форм деятельности.
Основной целью управления стимулированием труда является обеспечение роста доходов персонала и дифференциации их выплат в соответствии с трудовым вкладом отдельных работников в общие результаты деятельности торгового предприятия. Управление стимулированием труда охватывает ряд последовательно выполняемых этапов работ:
· выбор форм и систем заработной платы;
· построение на предприятии тарифной системы заработной платы;
· построение системы дополнительного стимулирования отдельных аспектов трудовой активности работников;
· индивидуализация условий материального стимулирования наиболее квалифицированных работников;
· планирование средств на стимулирование труда.
Целями управления персоналом в организации являются:
· удовлетворение потребности организации в кадрах;
· обеспечение рациональной расстановки кадров;
· наиболее эффективное использование кадров.
Заключение
Персонал – это личный состав организации, работающий по найму, выполняющий производственные и управленческие операции и обладающий определенными признаками.
Управлять персоналом означает планировать, организовывать, осуществлять мотивацию и контроль за формированием, распределением, перераспределением и использованием кадров предприятия.
Персонал является главным звеном системы управления. Персонал классифицируется на производственный и управленческий, каждый из которых имеет свои функции.
Основными функциями управления персоналом организации являются: управление численностью, производительностью и стимулированием труда.
Управление персоналом базируется на следующих принципах: человек – основа корпоративной культуры, менеджмент для всех, эффективность, взаимоотношения и качество – критерии успеха организации, обучение – ключ к развитию и переменам.
Система работы с персоналом – это совокупность принципов и методов управления кадрами рабочих и служащих на предприятии (административные, экономические и социаьльно-психологические).
Удовлетворение потребности организации в персонале, рациональная расстановка и эффективное использование кадров – основные цели управления персоналом предприятия.
Целью исследования системы управления персоналом является выявление положительных и отрицательных моментов при воздействии на трудовой потенциал организации и определение более эффективного влияния в дальнейшем.
Эффективность управления -- это характеристика степени управляемости организации, скорости и формы ее реагирования на принимаемые менеджером управленческие решения; степень достижения управляющим органом поставленных целей и запланированных результатов.
Оценка эффективности является важным элементом разработки проектных и плановых решений, позволяющим определить уровень прогрессивности действующей структуры, разрабатываемых проектов или плановых мероприятий, и проводится с целью выбора наиболее рационального варианта структуры или способа ее совершенствования.
Заключение
Эффективность управления, как социально-экономическая категория, - это результативность данной деятельности, степень оптимальности использования материальных, финансовых и трудовых ресурсов. Эффективность управления формируется под воздействием ряда факторов, которые можно классифицировать по следующим признакам: продолжительность влияния; характер влияния; степень формализации; зависимость от масштаба влияния; содержание; форма влияния.
Экономическую эффективность управления можно определить с использованием основных показателей: экономическая эффективность использования материальных ресурсов, производственных фондов, капитальных вложений, деятельности персонала, а так же обобщающего и динамического показателей оценки эффективности.
1) Основными мероприятиями повышения экономической эффективности управления являются: технические, организационные и социально-экономические.
Оценка социальной эффективности отражает социальный результат управленческой деятельности и характеризует степень использования потенциальных возможностей коллектива для осуществления миссии организации.
Оценить вклад менеджера в деятельность организации можно с помощью показателей: управленческая добавленная стоимость; добавленная бизнесом стоимость и рентабельность. Показатели оценки персонала позволяют создать систему мотивации работников управления, поставить оплату их труда в определенную зависимость от эффективности управления.
Внедрение информационных технологий способствует совершенствованию управления организацией и требует определенных капиталовложений и инвестиций.
Литература:
1. Коротков Э.М. Концепция Российского менеджмента.- М.: ООО Издательско-Консалтинговое Предприятие «ДеКА, 2004.
2. Румянцева З.П. Общее управление организацией. Теория и практика: Учебник. -М.: ИНФРА-М, 2004.
3. Виханский О.С., Наумов А.И. Менеджмент: человек, стратегия, организация, процесс: Учебник.- М.: Изд-во МГУ, 1995.
4. Мыльник В.В., Титаренко Б.П.Системы управления. Учебное пособие.- М.: «Экономика и финансы», 2002.
5. Васькин А.А. Оценка менеджеров. Учебно-практическое пособие.- М.: Компания Спутник+, 2000.
6. Мескон М.Х., Альберт М, Хедоури Ф. Основы менеджмента: Пер. с англ.- М.: «Дело», 1992.
7. Джеральд Гринберг, Роберт Бейрон. Организационное поведение: от теории к практике.- М.: ООО»Вершина», 2004.
8. Бовыкин В.И. Новый менеджмент. Учебник.- М.: «Экономика», 2004.
9. Веснин В.Р. Менеджмент : Учебник.М.: -ТК Велби, Изд-во Проспект, 2004.
10.Черкасов Ю.М. Информационные технологии управления. Учебное пособие.- М: «ИНФРА-М», 2001.
Похожие работы
-
Экономика строительства 2
Федеральное агентство по образованию Государственное образовательное учреждение высшего профессионального образования «Санкт-Петербургский государственный
-
по предмету Оценка и анализ рисков
Министерство образования и науки Российской Федерации Федеральное агентство по образованию Государственное образовательное учреждение высшего профессионального образования
-
Анализ цен на недвижимость
федеральное агентство по образованию федеральное государственное образовательное учреждение высшего профессионального образования "сибирская академия государственной службы"
-
Оценка масштабов государственного сектора в Кыргызстане вчера, сегодня, завтра
Государственное образовательное учреждение высшего профессионального образования КЫРГЫЗСКО-РОССЙСКИЙ СЛАВЯНСКИЙ УНИВЕРСИТЕТ Экономический факультет
-
Модели спроса и предложения труда
ФЕДЕРАЛЬНОЕ ГОСУДАРСТВЕННОЕ ОБРАЗОВАТЕЛЬНОЕ УЧРЕЖДЕНИЕ ВЫСШЕГО ПРОФЕССИОНАЛЬНОГО ОБРАЗОВАНИЯ «СЕВЕРО - КАВКАЗСКАЯ АКАДЕМИЯ ГОСУДАРСТВЕННОЙ СЛУЖБЫ»
-
Демографическая ситуация в Северо-Кавказском федеральном округе
Федеральное Государственное Образовательное бюджетное учреждение высшего профессионального образования Финансовый университет при Правительстве РФ
-
Разработка мероприятий по повышению эффективности функционирования проектно-строительной фирмы
МИНИСТЕРСТВО ОБРАЗОВАНИЯ РОССИЙСКОЙ ФЕДЕРАЦИИ ГОСУДАРСТВЕННОЕ ОБРАЗОВАТЕЛЬНОЕ УЧРЕЖДЕНИЕ ВЫСШЕГО ПРОФЕССИОНАЛЬНОГО ОБРАЗОВАНИЯ ТЮМЕНСКИЙ ГОСУДАРСТВЕННЫЙ НЕФТЕГАЗОВЫЙ УНИВЕРСИТЕТ
-
Эконометрика 12
Министерство образования и науки Российской Федерации Федеральное агентство по образованию Государственное образовательное учреждение высшего профессионального
-
Информационная политика в России проблемы и пути развития
Министерство образования и науки Российской Федерации Федеральное агентство по образованию Государственное образовательное учреждение высшего
-
Тестовые задания по Макроэкономике
Федеральное агентство по образованию Государственное образовательное учреждение Высшего профессионального образования «Удмуртский государственный университет»