Название: Анализ и оценка финансовой устойчивости предприятия 3
Вид работы: реферат
Рубрика: Экономика
Размер файла: 394.58 Kb
Скачать файл: referat.me-385220.zip
Краткое описание работы: МИНИСТЕРСТВО ОБРАЗОВАНИЯ И НАУКИ РОССИЙСКОЙ ФЕДЕРАЦИИ Государственное образовательное учреждение высшего профессионального образования Московской области
Анализ и оценка финансовой устойчивости предприятия 3
МИНИСТЕРСТВО ОБРАЗОВАНИЯ И НАУКИ РОССИЙСКОЙ ФЕДЕРАЦИИ
Государственное образовательное учреждение высшего профессионального образования Московской области
Международный университет природы, общества и человека “Дубна”
Филиал «Протвино»
БАКАЛАВРСКАЯ РАБОТА
Тема «Анализ и оценка финансовой устойчивости предприятия»
__________________________________________________________________________________________________
__________________________________________________________________________________________________
ФИО студента Камнева Екатерина Ивановна_____________________________________
Группа ПЗЭ-051 Направление 080100.62 – «Экономика»_______________
Выпускающая кафедра Экономики и управления ____________________________
Руководитель работы _____________________ / ст.преп. Е.В. Алексикова /
Консультант (ы) _____________________ /______________________/
______________________ /______________________/
_____________________ /______________________
Рецензент _____________________ / гл. бух. С.В. Чеснокова /
Бакалаврская работа допущена к защите “______” ______________ 200__ г.
Заведующий кафедрой _____________________ / проф. Ю.В. Иванов /
ОГЛАВЛЕНИЕ
Введение …………………………………………………………...…..….………...3
Раздел 1. Теоретическая часть. Теоретические и методологические основы анализа и оценки эффективности финансовой устойчивости в условиях рыночной экономики
1.1.Теоретические и методические подходы к анализу и оценке финансовой устойчивости предприятия……………..……….…………….................................6
1.2.Ликвидность как способ оценки финансового состояния предприятия……..9
1.3.Оценка платежеспособности на основе показателей ликвидности ………...111.4.Методики оценки финансовой устойчивости предприятия…………………14
1.5.Факторы, влияющие на финансовую устойчивость предприятия…………..18
1.6.Расчет и оценка коэффициентов финансовой устойчивости………………..19
1.7.Проблемы эффективности управления финансовой устойчивостью предприятия в условиях рыночной экономики…………………………………..24
Раздел 2. Аналитическая часть. Анализ и оценка финансовой устойчивости ОАО «Актив Плюс».Характеристика ОАО «Актив Плюс»……………………………..…..….…..28
2.2.Оценка уровня эффективности управления финансовой устойчивостью ОАО «Актив Плюс»...……………………………………………………………...37
2.3. Анализ абсолютных и относительных показателей как основа повышения эффективности управления финансовой устойчивостью ОАО «Актив Плюс»..42
Заключение…………………………...…………………...………….……………..57
Список использованной литературы……...………….…………….…………….63
Приложение А «Бухгалтерский баланс».
Приложение Б «Отчет о прибылях и убытках».
Приложение В «Сравнительный аналитический баланс»
Введение
В современных условиях правильное определение реального финансового состояния предприятия имеет огромное значение не только для самих субъектов хозяйствования, но и для многочисленных акционеров.
В условиях рынка, когда главной целью работы любого предприятия является получение максимальной прибыли, а убыточные предприятия объявляются банкротами, очень важно своевременно и правильно оценить финансовое состояние.
Именно поэтому рассматриваются вопросы оценки финансового состояния на основе бухгалтерской отчетности.
Анализ бухгалтерской отчетности имеет свои источники, свою цель и свою методику. Источниками информации являются формы отчета, включая приложения к ним, а также сведения, привлекаемые из самого учета, когда такой анализ проводится внутри самого предприятия. Цель анализа бухгалтерского отчета – возможность глубже заглянуть во внутренние и внешние отношения хозяйственного субъекта, выявить его финансовое состояние, платежеспособность и доходность.
Оценка ликвидности, платежеспособности и эффективности финансовой устойчивости предприятия является основным элементом анализа финансового состояния, необходимым для контроля, позволяющего оценить риск нарушения обязательств по расчетам предприятия. Актуальность темы бакалаврской работы обоснована тем, что в условиях финансово-экономического кризиса залогом выживаемости и основой стабильного положения предприятия служит его финансовая устойчивость, которая основывается на эффективной финансовой политике. Если предприятие финансово устойчиво и платежеспособно, то оно имеет ряд преимуществ перед другими предприятиями того же профиля для получения кредитов, привлечения инвестиций, в выборе поставщиков и в подборе квалифицированных кадров. Чем выше устойчивость предприятия, тем более оно независимо от неожиданного изменения рыночной конъюнктуры и, следовательно, тем меньше риск оказаться на краю банкротства.
Интерес к такому предприятию как ОАО «АКТИВ Плюс» был вызван многими причинами. Главные из них: предприятие производит, обслуживает и ремонтирует системы управления зенитно-ракетных и артиллерийских комплексов, аппаратуры управления крылатыми ракетами, комплексы пассивных помех, средства технического обслуживания и учебно-технических средств управления, телевизионные системы управления и ЗИП к ним.Цель исследования заключается в анализе эффективности финансовой устойчивости предприятия в сложившихся условиях рыночной экономики.
Для реализации поставленной цели в работе решались следующие задачи:
1) анализ финансовой устойчивости предприятия за два года (по состоянию на третий квартал 2009 года и аналогичный период предыдущего года) на основе финансовых документов ОАО «АКТИВ Плюс»: баланса, отчета о прибылях и убытках;
2) разработка мероприятий по совершенствованию эффективности управления системой финансовой устойчивости предприятия.
Предмет исследования - финансовое состояние предприятия в аспекте финансовой устойчивости. Для оценки финансовой устойчивости исследуемого объекта использовались следующие методы:1) метод аналитических коэффициентов;
2) горизонтальный и вертикальный анализы;
3) анализ абсолютных и относительных показателей;
4) сравнительный анализ,
5) табличный метод.
Методологической и теоретической основой исследования являлись труды ведущих российских ученых в области финансово-экономического анализа таких как Шеремета А.Д., Сайфеулина Р.С., Ковалева В.В. и Стояновой Е.С.
Практическая значимость данной работы заключается в оценке и анализе эффективности финансовой устойчивости ОАО «АКТИВ Плюс» и определение типа его устойчивости, что позволяет построить работу предприятия в независимости от неожиданного изменения рыночной конъюнктуры, а следовательно, уменьшить риск оказаться на краю банкротства.
В работе были использованы материалы ОАО «АКТИВ Плюс» (рассматривались данные финансовой отчетности только за два предшествующих года, потому как вся информация, касающаяся деятельности и финансового положения предприятия является конфиденциальной и массовому распространению не подлежит).Бакалаврская работа состоит из теоретической и аналитической части.
Первая часть бакалаврской работы посвящена теоретическим и методологическим аспектам финансовой устойчивости предприятия. В параграфах 1-3 первой главы описываются проблемы финансовой устойчивости в современных условиях хозяйствования, методологические подходы к принятию управленческих решений и на их основе осуществляется выбор методов оценки и анализа эффективности управления финансовой устойчивостью.
Аналитическая часть бакалаврской работы посвящена анализу элементов и оценке уровня эффективности финансовой устойчивости, которая включает анализ относительных и абсолютных показателей финансовой устойчивости.
В заключении предлагаются мероприятия по повышению эффективности финансовой устойчивости, совершенствование системы управления.
Список литературы дает перечень использованной в работе источников и авторов.
В работе присутствует фрагмент применения программных средств Excel^2003 для составления и оценки аналитического баланса.
Раздел 1. ТЕОРЕТИЧЕСКАЯ ЧАСТЬ Теоретические и методологические основы анализа и оценки эффективности финансовой устойчивости в условиях рыночной экономики
1.1. Теоретические и методологические подходы к анализу и оценке финансовой устойчивости предприятия
Основу любой науки составляют ее предмет и метод. Предмет финансового анализа, то есть то, что изучается в рамках данной науки, - финансовые ресурсы и их потоки. Содержание и основная целевая установка финансового анализа - оценка эффективности финансового состояния предприятия и выявление возможностей повышения эффективности финансовой устойчивости, и функционирования хозяйствующего субъекта, с помощью рациональной финансовой политики. Достижение этой цели осуществляется с помощью присущего данной науке метода. Метод финансового анализа – это диалектический способ познания, путь исследования своего предмета, то есть хозяйственных и финансовых процессов и явлений в их взаимосвязи и взаимозависимости.
Устойчивое финансовое состояние формируется в процессе всей производственно-хозяйственной деятельности предприятия. Определение его на ту или иную дату отвечает на вопрос, насколько эффективно предприятие управляло финансовыми ресурсами в течение отчетного периода. В настоящее время важно не только оценить ситуацию на предприятии, но и разработать мероприятия по улучшению эффективности финансовой устойчивости предприятия.
Финансово-экономическое состояние предприятия – важнейший критерий деловой активности и надежности организации, определяющий его конкурентоспособность и эффективность реализации экономических интересов всех участников хозяйственной деятельности. Оно характеризуется размещением и использованием активов и источников их формирования, то есть пассивов.
Финансовое состояние предприятия (ФСП) - это совокупность показателей, отражающих наличие, размещение и использование финансовых ресурсов.
В процессе снабженческой, производственной, сбытовой и финансовой деятельности происходит непрерывный кругооборот капитала, изменяются структура средств и источников их формирования, наличие и потребность в финансовых ресурсах и как следствие - финансовое состояние предприятия, внешним проявлением которого является платежеспособность.
Финансовое состояние может быть устойчивым, неустойчивым (предкризисным) и кризисным. Способность предприятия своевременно производить платежи, финансировать свою деятельность на расширенной основе, переносить непредвиденные потрясения и поддерживать свою платежеспособность в неблагоприятных обстоятельствах свидетельствует о его устойчивом финансовом состоянии, и наоборот.
Если платежеспособность – это внешнее проявление финансового состояния предприятия, то финансовая устойчивость – внутренняя его сторона, отражающая сбалансированность денежных и товарных потоков, доходов и расходов, средств и источников их формирования.
Для обеспечения финансовой устойчивости предприятие должно обладать гибкой структурой капитала, уметь организовать его движение таким образом, чтобы обеспечить постоянное превышение доходов над расходами с целью сохранения платежеспособности и создания условий для нормального функционирования.
Следовательно, финансовая устойчивость предприятия - это способность субъекта хозяйствования функционировать и развиваться, сохранять равновесие своих активов и пассивов в изменяющейся внутренней и внешней среде, гарантирующее его постоянную платежеспособность и инвестиционную привлекательность в границах допустимого уровня риска.
Финансовое состояние предприятия, его устойчивость и стабильность зависят от результатов его производственной, коммерческой и финансовой деятельности. Если производственный и финансовый планы успешно выполняются, то это положительно влияет на финансовое положение предприятия. И наоборот, в результате недовыполнения плана по производству и реализации продукции происходит повышение ее себестоимости, уменьшение выручки и суммы прибыли и как следствие ухудшение финансового состояния предприятия и его платежеспособности. Следовательно, устойчивое финансовое состояние не является счастливой случайностью, а итогом грамотного, умелого управления всем комплексом факторов, определяющих результаты хозяйственной деятельности предприятия.
Устойчивое финансовое положение, в свою очередь, положительно влияет на объемы основной деятельности, обеспечение нужд производства необходимыми ресурсами. Поэтому финансовая деятельность как составная часть хозяйственной деятельности должна быть направлена на обеспечение планомерного поступления и расходования денежных ресурсов, выполнение расчетной дисциплины, достижение рациональных пропорций собственного и заемного капитала и наиболее эффективное его использование.
Главная цель финансовой деятельности сводится к одной стратегической задаче - увеличению активов предприятия. Для этого оно должно постоянно поддерживать платежеспособность и рентабельность, а также оптимальную структуру актива и пассива баланса.
Основные задачи анализа.
1. Своевременное выявление и устранение недостатков в финансовой деятельности предприятия, поиск резервов улучшения финансового состояния предприятия, его платежеспособности и финансовой устойчивости.
2. Прогнозирование возможных финансовых результатов, экономической рентабельности исходя из реальных условий хозяйственной деятельности и наличия собственных и заемных ресурсов, разработка моделей финансового состояния при разнообразных вариантах использования ресурсов.
3. Разработка конкретных мероприятий, направленных на более эффективное использование финансовых ресурсов и укрепление финансового состояния предприятия.
1.2. Ликвидность как способ оценки финансового состояния предприятия
Платежеспособность и финансовая устойчивость являются важнейшими характеристиками финансово-экономической деятельности предприятия в условиях рыночной экономики. Если предприятие финансово устойчиво, платежеспособно, то оно имеет преимущество перед другими предприятиями того же профиля в привлечении инвестиций, в получении кредитов, в выборе поставщиков и в подборе квалифицированных кадров. Наконец, оно не вступает в конфликт с государством и обществом, так как своевременно выплачивает налоги в бюджет, взносы в социальные фонды, заработную плату – рабочим и служащим, дивиденды – акционерам, а банкам гарантирует возврат кредитов и уплату процентов по ним.
Чем выше устойчивость предприятия, тем более оно независимо от неожиданного изменения рыночной конъюнктуры и, следовательно, тем меньше риск оказаться на краю банкротства [20, 36].
Одним из важнейших показателей эффективности деятельности предприятия является ликвидность. Задача анализа ликвидности баланса возникает в связи с необходимостью давать оценку кредитоспособности организации, т.е. ее способности своевременно и полностью рассчитываться по своим обязательствам.
Оценка платежеспособности осуществляется на основе характеристики ликвидности текущих активов, то есть времени, необходимого для превращения их в денежную наличность. Понятия платежеспособности и ликвидности очень близки, но второе более емкое. От степени ликвидности баланса зависит платежеспособность. Кроме того, ликвидность характеризует не только текущее состояние расчетов, но и перспективу [20, 36].
Ликвидность баланса определяется как степень покрытия обязательств организации ее активами, срок превращения которых в деньги соответствует сроку погашения обязательств. Ликвидность - способность фирмы:
1) быстро реагировать на неожиданные финансовые проблемы и возможности;
2) увеличивать активы при росте объема продаж;
3) возвращать краткосрочные долги путем обычного превращения активов в наличность.
Недостаточная ликвидность, как правило, означает, что предприятие не в состоянии воспользоваться преимуществами скидок и возникающими выгодными коммерческими возможностями. На этом уровне недостаток ликвидности означает, что нет свободы выбора, и это ограничивает свободу действий руководства. Более значительный недостаток ликвидности приводит к тому, что предприятие не способно оплатить свои текущие долги и обязательства. В результате - продажа долгосрочных вложений и активов, а в худшем случае - неплатежеспособность и банкротство.
Для собственников предприятия недостаточная ликвидность может означать уменьшение прибыльности, потерю контроля и частичную или полную потерю вложений капитала. Для кредиторов недостаточная ликвидность у должника - задержка в уплате процентов и основной суммы долга или частичная либо полная потеря ссуженных средств. Текущее состояние ликвидности компании может повлиять также на ее отношения с клиентами и поставщиками товаров и услуг. Такое изменение может выразиться в неспособности данного предприятия выполнить условия контрактов и привести к потере связей с поставщиками. Вот почему ликвидности придается такое большое значение.
Если предприятие не может погасить свои текущие обязательства по мере того, как наступает срок их оплаты, его дальнейшее существование ставится под сомнение, и это отодвигает все остальные показатели деятельности на второй план. Иными словами, недостатки финансового управления проектом приведут к возникновению риска приостановки и даже его разрушения, т.е. к потере средств инвестора.
1.3. Оценка платежеспособности на основе показателей ликвидности
Одним из показателей, характеризующих финансовое положение предприятия, является его платежеспособность, т.е. возможность своевременно погашать свои платежные обязательства наличными денежными ресурсами.
Оценка платежеспособности по балансу осуществляется на основе характеристики ликвидности оборотных активов, которая определяется временем, необходимым для превращения их в денежные средства. Чем меньше требуется времени для инкассации данного актива, тем выше его ликвидность. Ликвидность баланса — возможность субъекта хозяйствования обратить активы в наличность и погасить свои платежные обязательства, а точнее — это степень покрытия долговых обязательств предприятия его активами, срок превращения которых в денежную наличность соответствует сроку погашения платежных обязательств. Она зависит от степени соответствия величины имеющихся платежных средств величине краткосрочных долговых обязательств.
Ликвидность предприятия — это более общее понятие, чем ликвидность баланса. Ликвидность баланса предполагает изыскание платежных средств только за счет внутренних источников (реализации активов). Но предприятие может привлечь заемные средства со стороны, если у него имеется соответствующий имидж в деловом мире и достаточно высокий уровень инвестиционной привлекательности [21, 205].
На рис. 1.1. приведена блок-схема, отражающая взаимосвязь между платежеспособностью, ликвидностью предприятия и ликвидностью баланса, которую можно сравнить с многоэтажным зданием, в котором все этажи равнозначны, но второй этаж нельзя возвести без первого, а третий — без первого и второго; если рухнет первый этаж, то и все остальные тоже. Следовательно, ликвидность баланса - основа (фундамент) платежеспособности и ликвидности предприятия. Иными словами, ликвидность - это способ поддержания платежеспособности. Но в то же время, если предприятие имеет высокий имидж и постоянно является платежеспособным, ему легче поддерживать свою ликвидность.
![]()
![]()




Рисунок 1.1. Взаимосвязь между показателями ликвидности и платежеспособности предприятия
Анализ ликвидности баланса заключается в сравнении средств по активу, сгруппированных по степени убывающей ликвидности (табл. 1.1.), с краткосрочными обязательствами по пассиву, которые группируются по степени срочности их погашения.
Таблица 1.1 - Группировка активов по степени ликвидности
| Вид актива | На начало периода | На конец периода |
| Группа А1 | ||
| Денежные средства | ||
| Краткосрочные финансовые вложения | ||
| Группа А2 | ||
| Готовая продукция | ||
| Товары отгруженные | ||
| Дебиторская задолженность (платежи по которой ожидаются в течение 12 месяцев) | ||
| Группа А3 | ||
| Дебиторская задолженность (платежи по которой ожидаются более чем через 12 месяцев) | ||
| Сырье и материалы | ||
| Незавершенное производство | ||
| Расходы будущих периодов | ||
| НДС по приобретенным ценностям | ||
| Группа А4 | ||
| Внеоборотные активы |
Первая группа (А1) включает в себя абсолютно ликвидные активы, такие, как денежная наличность и краткосрочные финансовые вложения.
Вторая группа (А2) — это быстро реализуемые активы: готовая продукция, товары отгруженные и дебиторская задолженность. Ликвидность этой группы оборотных активов зависит от своевременности отгрузки продукции, оформления банковских документов, скорости платежного документооборота в банках, спроса на продукцию, ее конкурентоспособности, платежеспособности покупателей, форм расчетов и др.
Третья группа (Аз) — это медленно реализуемые активы. Значительно больший срок понадобится для превращения их в готовую продукцию, а затем в денежную наличность.
Четвертая группа (А4) — это трудно реализуемые активы: основные средства, нематериальные активы, долгосрочные финансовые вложения, незавершенное строительство.
Соответственно, на четыре группы разбиваются и обязательства предприятия:
П1 — наиболее срочные обязательства, которые должны быть погашены в течение месяца (кредиторская задолженность и кредиты банка, сроки возврата которых наступили, просроченные платежи);
П2 – среднесрочные обязательства со сроком погашения до одного года (краткосрочные кредиты банка);
П3 — долгосрочные кредиты банка и займы;
П4 — собственный капитал, находящийся постоянно в распоряжении предприятия.
Баланс считается абсолютно ликвидным, если:
А1 ≥ П1; А2 ≥ П2; А3 ≥ П3; А4 ≤ П4.
Изучение соотношений этих групп активов и пассивов за несколько периодов позволит установить тенденции изменения в структуре баланса и его ликвидности.
1.4. Методики оценки финансовой устойчивости предприятия
Для промышленных предприятий, обладающих значительной долей материально-производственных запасов в активах, применяют методику оценки достаточности источников финансирования для формирования запасов и затрат. Материально-производственные запасы могут формироваться за счет собственных оборотных средств и привлеченных источников.
Наиболее обобщающим абсолютным показателем финансовой устойчивости является излишек или недостаток источников средств для формирования запасов и затрат, т.е. разницы между величиной источников средств и величиной запасов и затрат. При этом имеется в виду обеспеченность источниками собственных и заемных средств, за исключением кредиторской задолженности и прочих пассивов.
В зависимости от соотношения величин показателей материально-производственных запасов, собственных оборотных средств и иных источников формирования запасов можно с определенной степенью условности выделить следующие типы финансовой устойчивости:
- абсолютная финансовая устойчивость;
- нормальная финансовая устойчивость;
- неустойчивое финансовое состояние;
- кризисное финансовое состояние.
При абсолютной финансовой устойчивости запасы и затраты покрываются собственными оборотными средствами, и предприятие не зависит от внешних источников. Абсолютная финансовая устойчивость характеризуется неравенством:
З < СОС , (1.1)
где З – сумма запасов и затрат;
СОС – собственные оборотные средства, определяемые как разница между собственным капиталом и внеоборотными активами.
Нормальная финансовая устойчивость характеризуется неравенством:
СОС< З<СОС+ДП, (1.2)
где ДП – долгосрочные пассивы.
Данное соотношение показывает, что сумма запасов и затрат превышает сумму собственных оборотных средств, но меньше суммы собственных оборотных и долгосрочных заемных источников. Для покрытия запасов и затрат используются собственные и привлеченные средства долгосрочного характера.
При неустойчивом финансовом состоянии для покрытия запасов и затрат используются собственные и привлеченные средства долгосрочного и краткосрочного характера. Неустойчивое финансовое состояние характеризуется неравенством:
СОС+ДП< З< СОС+ДП+КП, (1.3)
где КП – краткосрочные кредиты и займы.
Данное соотношение показывает, что сумма запасов и затрат превышает сумму собственных оборотных и долгосрочных заемных источников, но меньше суммы собственных оборотных, долгосрочных и краткосрочных заемных источников.
Кризисное финансовое состояние характеризуется ситуацией, когда сумма запасов и затрат превышает общую сумму нормальных (обоснованных) источников финансирования. Кризисное финансовое состояние характеризуется неравенством:
СОС+ДП+КП< З, (1.4)
Данная ситуация означает, что предприятие не может вовремя расплатиться со своими кредиторами и может быть объявлено банкротом.
Для оценки финансовой устойчивости применяют методику расчета трехкомпонентного показателя типа финансовой ситуации [21, с.120].
Для характеристики источников формирования запасов и затрат используются показатели, которые отражают различные виды источников (табл. 1.2.).
Таблица 1.2 - Алгоритм расчета абсолютных показателей, характеризующих различные виды источников
| Показатели | Алгоритм расчета |
| 1. Наличие собственных оборотных средств (СОС) | Собственный капитал за минусом внеоборотных активов По балансу (с.490+с.640-с.190) |
| 2. Наличие собственных и долгосрочных заемных источников (СОС+ДП) | Собственные оборотные и долгосрочные заемные средства за минусом внеоборотных активов По балансу (с.490+с.640+с.590-с.190) |
| 3. Наличие собственных, долгосрочных и краткосрочных заемных источников (СОС+ДП+КП) | Собственные, долгосрочные и краткосрочные заемные источники за минусом внеоборотных активов По балансу (с.490+с.640+с.590+с.610-с.190) |
Трем показателям наличия источников формирования запасов и затрат соответствуют три показателя обеспеченности запасов и затрат источниками их формирования:
1. Излишек (+) или недостаток (-) собственных оборотных средств (ФС), определяемый как разница между наличием собственных оборотных средств и величиной запасов и затрат:
ФС= СОС – З, (1.5)
2. Излишек (+) или недостаток (-) собственных и долгосрочных заемных источников формирования запасов и затрат (ФД), определяемый как разница между наличием собственных и долгосрочных заемных источников и величиной запасов:
ФД= (СОС+ДП) – З, (1.6)
3. Излишек (+) или недостаток (-) общей величины основных источников для формирования запасов и затрат (ФО), определяемый как разница между общей величиной основных источников и величиной запасов:
ФО= (СОС+ДП +с.610) – З, (1.7)
С помощью данных показателей можно определить трехкомпонентный показатель типа финансовой ситуации. Выделяют четыре типа финансовых ситуаций:
1. Абсолютная финансовая устойчивость отвечает следующим условиям:
ФС > 0; ФД > 0; ФО > 0, (1.8)
Трехкомпонентный показатель равен: S=(1; 1; 1).
2.Нормальная финансовая устойчивость гарантирует платежеспособность предприятия:
ФС< 0; ФД > 0; ФО > 0, (1.9)
Трехкомпонентный показатель равен: S=(0; 1; 1).
3. Неустойчивое финансовое состояние, сопряженное с нарушением платежеспособности предприятия. При данном типе финансовой ситуации сохраняется возможность восстановления равновесия за счет пополнения источников собственных средств:
ФС< 0; ФД< 0; ФО > 0, (1.10)
Трехкомпонентный показатель равен: S=(0; 0; 1).
4. Кризисное финансовое состояние, при котором предприятие полностью зависит от заемных источников финансирования. Собственного капитала, долго- и краткосрочных кредитов и займов не хватает для финансирования материально-производственных запасов. Пополнение запасов осуществляется за счет средств, образующихся в результате погашения кредиторской задолженности:
ФС< 0; ФД< 0; ФО < 0, (1.11)
Трехкомпонентный показатель равен: S=(0; 0; 0).
1.5. Факторы, влияющие на финансовую устойчивость предприятия
Залогом выживаемости и основой стабильности положения предприятия служит его устойчивость. На устойчивость предприятия оказывают влияние различные факторы:
положение предприятия на товарном рынке;
производство и выпуск дешёвой, пользующейся спросом продукции;
её потенциал в деловом сотрудничестве;
степень зависимости от внешних кредиторов и инвесторов;
наличие неплатежеспособных дебиторов;
эффективность хозяйственных и финансовых операций и т.п.
Финансовая устойчивость является отражением стабильного превышения доходов над расходами, обеспечивает свободное маневрирование денежными средствами предприятия и путем эффективного их использования способствует бесперебойному процессу производства и реализации продукции. Иными словами, финансовая устойчивость фирмы — это состояние ее финансовых ресурсов, их распределение и использование, которые обеспечивают развитие фирмы на основе роста прибыли и капитала при сохранении платежеспособности и кредитоспособности в условиях допустимого уровня риска. Поэтому финансовая устойчивость формируется в процессе всей производственно-хозяйственной деятельности и является главным компонентом общей устойчивости предприятия. Анализ устойчивости финансового состояния на ту или иную дату позволяет ответить на вопрос: насколько правильно предприятие управляло финансовыми ресурсами в течение периода, предшествующего этой дате. Важно, чтобы состояние финансовых ресурсов соответствовало требованиям рынка и отвечало потребностям развития предприятия, поскольку недостаточная финансовая устойчивость может привести к неплатежеспособности предприятия и отсутствию у него средств для развития производства, а избыточная — препятствовать развитию, отягощая затраты предприятия излишними запасами и резервами. Таким образом, сущность финансовой устойчивости определяется эффективным формированием, распределением и использованием финансовых ресурсов, а платежеспособность выступает её внешним проявлением.
1.6. Расчет и оценка коэффициентов финансовой устойчивости
Общий уровень финансовой устойчивости предприятия характеризуют следующие показатели, рассчитываемые по данным баланса:
коэффициент соотношения заемных и собственных средств;
коэффициент долга;
коэффициент автономии;
коэффициент финансовой устойчивости;
коэффициент маневренности собственных средств;
коэффициент устойчивости структуры мобильных средств;
коэффициент обеспеченности оборотного капитала собственными источниками финансирования [5, с.16].
Есть такая точка зрения, что число коэффициентов не должно превышать семи, так как если число превышает семь, то человеческий контроль над ними легко теряется [5, c. 31].
Коэффициент финансового риска (коэффициент задолженности, соотношения заемных и собственных средств, рычага) - это отношение заемных средств к собственным. Он показывает, сколько заемных средств предприятие привлекло на рубль собственных.
Кфр=ЗС/СС=(стр.590+стр.690)/стр.490, (1.12)
где Кфр- коэффициент финансового риска;
ЗС- заемные средства.
Оптимальное значение этого показателя, выработанное практикой - 0,5. Считается, что если значение его превышает единицу, то финансовая автономность и устойчивость оцениваемого предприятия достигает критической точки, однако все зависит от характера деятельности и специфики отрасли, к которой относится предприятие [10, с.16].
Коэффициент долга (индекс финансовой напряженности) – это отношение заемных средств к валюте баланса:
Кд=ЗС/Вб=(стр.590+стр.690)/стр. 700, (1.13)
где Кд – коэффициент долга;
Вб – валюта баланса.
Международный стандарт (европейский) до 50 % . Тенденцию нормальной устойчивости подтверждает и коэффициент долга: если доля заемных средств в валюте баланса снижается, то на лицо тенденция укрепления финансовой устойчивости предприятия, что делает его более привлекательным для деловых партнеров [10, c. 17].
Нормативное значение коэффициента привлеченного капитала должно быть меньше или равно 0,4.
Коэффициент автономии (финансовой независимости) – это отношение собственных средств к валюте баланса предприятия:
Ка= СС /Вб = стр. 490 / стр. 700, (1.14)
где СС – собственные средства,
Вб – валюта баланса.
По этому показателю судят, насколько предприятие независимо от заемного капитала [16, c 63].
Коэффициент автономии является наиболее общим показателем финансовой устойчивостью предприятия. Оптимальное значение данного коэффициента- 50%, т.е. желательно, чтобы сумма собственных средств была больше половины всех средств, которыми располагает предприятие. Рост этого коэффициента говорит об усилении финансовой устойчивости предприятия [10, c.17].
Коэффициент финансовой устойчивости – это отношение итога собственных и долгосрочно заемных средств к валюте баланса предприятия (долгосрочные займы правомерно присоединяются к собственному капиталу, т.к. по режиму их использования они похожи):
Кфу=ПК/Вб=(стр.490+стр.590)/стр. 700, (1.15)
где ПК – итог собственных и долгосрочно заемных средств;
Вб – валюта баланса.
Долгосрочные заемные средства (включая долгосрочные кредиты) вполне правомерно присоединить к собственным средствам предприятия, поскольку по режиму их использования они приближаются к собственным источникам. Поэтому кроме расчета коэффициентов финансовой устойчивости и независимости предприятия анализируют структуру его заемных средств: большой удельный вес в ней долгосрочных кредитов является признаком устойчивого финансового состояния предприятия [10, c.17].
Оптимальное значение этого показателя составляет 0,8-0,9.
Коэффициент маневренности собственных источников - это отношение его собственных оборотных средств к сумме источников собственных средств:
Км=(СС-ВА-У)/СС=(стр.490-стр.190-(стр.390))/стр.490, (1.16)
где СС – собственные средства;
ВА – внеоборотные активы;
У – убытки.
Коэффициент маневренности собственных источников, показывает величину собственных оборотных средств приходящихся на один рубль собственного капитала [22, c.22].
Коэффициент маневренности собственных источников, указывает на степень мобильности (гибкости) использования собственных средств, т.е. какая часть собственного капитала не закреплена в ценностях иммобилизованного характера и дает возможность маневрировать средствами предприятия [10, c.17].
Обеспечение собственных текущих активов собственным капиталом является гарантией устойчивой кредитной политики. Высокое значение коэффициента маневренности положительно характеризует финансовое состояние предприятия, а так же убеждает в том, что управляющие предприятием проявляют достаточную гибкость в использовании собственных средств [13, c.51].
Нормативное значение данного коэффициента: 0,2-0,5. Чем ближе значение показателя к верхней границе, тем больше возможностей финансового маневра у предприятия [15,c.43].
Коэффициент устойчивости структуры мобильных средств – это отношение чистого оборотного капитала ко всему оборотному капиталу:
Куст.мс.=(ОБ-КП)/ОБ=(стр.290-стр.690)/стр.290, (1.17)
где ОБ – величина оборотных активов;
КП – краткосрочные пассивы.
Чистый оборотный капитал – это текущие активы, которыми располагает компания после погашения текущих обязательств. Стандарта по данному коэффициенту нет.
Коэффициент обеспеченности оборотного капитала собственными источниками – это отношение собственных оборотных средств к оборотным активам. Он показывает, какая часть оборотных активов финансируется за счет собственных источников и не нуждается в привлечение заемных:
Ксос=(СС-ВА-У)/ОБ=(стр.490-стр.190-(390))/стр.290, (1.18)
где СС – собственные средства;
ВА – внеоборотные активы;
У – убытки;
ОБ – величина оборотных активов.
Нижняя граница данного коэффициента – 0,1 [15,c.43].
При показателе ниже значения 0,1 структура баланса признается неудовлетворительной, а организация неплатежеспособной. Более высокая величина показателя (0,5) свидетельствует о хорошем финансовом состоянии организации, о ее возможности проводить независимую финансовую политику [7, c.35].
Финансовая устойчивость предполагает комплексное управление текущими активами и текущими пассивами, или, выражаясь языком «импортной» терминологией, управления «работающим» капиталом [19, c.119].
К текущим активам относятся запасы, дебиторская задолженность, краткосрочные финансовые вложения, денежные средства.
Текущие пассивы состоят из краткосрочных кредитов и займов, кредиторской задолженности и той части долгосрочных кредитов и займов, срок погашения которой наступает в данном периоде.
Управление финансовой устойчивостью – это управление оборотным и заемным капиталом. Разница между текущими активами и текущими пассивами представляет собой чистый оборотный капитал предприятия. Его еще называют работающим, рабочим капиталом, а в традиционной терминологии – собственными оборотными средствами (СОС) [19, c.120].
По величине СОС судят, достаточно ли у предприятия постоянных ресурсов (собственных средств и долгосрочных заимствований) для финансирования постоянных активов (основных средств).
Если да, то СОС>0, потому что постоянные пассивы больше постоянных активов. Это означает, что предприятие генерирует больше постоянных ресурсов, чем это необходимо для финансирования постоянных активов.
Если нет, то СОС < 0, потому что постоянные пассивы меньше постоянных активов и предприятие испытывает недостаток собственных оборотных средств. Это означает, что предприятию не хватает ресурсов для финансирования иммобилизованных активов. Для предприятия это не катастрофа, если масштабные инвестиции в основные средства еще не успели окупиться, при хорошей перспективе проекта можно говорить о временном недостатке СОС, который со временем исчезнет: наращивание продаж покроет убытки, даст прибыль, и часть ее – нераспределенная прибыль - прирастит капитал предприятия. Таким образом, постоянные ресурсы увеличатся за счет нераспределенной прибыли и поглотят недостаток СОС. Если же недостаток СОС наблюдается из года в год, то складывается рискованная ситуация.
1.7. Проблемы эффективности управления финансовой устойчивостью предприятия в условиях рыночной экономики
В современных рыночных условиях залогом выживаемости и основой стабильного положения предприятия служит его финансовая устойчивость. На устойчивость предприятия оказывают влияние различные факторы, среди них можно выделить:
1) положение предприятия на товарном рынке;
2) выпуск пользующейся спросом продукции;
3) его потенциал в деловом сотрудничестве;
4) степень зависимости от внешних кредиторов и инвесторов.
Оценка финансовой устойчивости и платежеспособности является основным элементом анализа финансового состояния. Она позволяет оценить риск нарушения обязательств по расчетам предприятия и разработать мероприятия по их ликвидации.
В условиях финансово-экономического кризиса деятельность каждого хозяйствующего субъекта является предметом внимания обширного круга участников рыночных отношений (организаций и лиц), заинтересованных в результатах его функционирования. На основании доступной им отчетно-учетной информации они стремятся оценить финансовое положение предприятия. Основным инструментом для этого служит финансовый анализ, при помощи которого можно объективно оценить внутренние и внешние отношения анализируемого объекта, а затем по его результатам принять обоснованные решения [9, c.12].
К внутренним пользователям относится управленческий персонал предприятия. Он принимает различные решения производственного и финансового характера. Например, на базе отчетности составляется финансовый план предприятия на следующий год, принимаются решения об увеличении или уменьшении объема реализации, ценах продаваемых товаров, направлениях инвестирования ресурсов предприятия, целесообразности привлечения кредитов и другого. Очевидно, что для принятия таких решений требуется полная, своевременная и точная информация, поскольку в противном случае предприятие может понести большие убытки и даже обанкротиться.
К внешним пользователям финансовой отчетности можно отнести следующие группы, представленные на рисунке 1.2.
|
| Собственники, акционеры предприятия - для оценки эффективности использования вкладываемых ресурсов руководством компании; |
|
| Нынешние и потенциальные кредиторы и инвесторы - для оценки целесообразности предоставления или продления кредита, определения условий кредитования и гарантий возврата кредита, для оценки эффективности инвестиционных проектов; |
|
| Поставщики и покупатели - для определения надежности деловых партнерских связей; |
|
| Служащие государственных органов, прежде всего налоговых, - для проверки правильности расчета налогов и составления отчетности; |
|
| Служащие самой компании - для оценки перспектив работы на данном предприятии; · фондовые биржи; |
|
| Юристы - для оценки выполнения условий контрактов, соблюдения законодательных норм при распределении прибыли и т.п.; |
|
| Аудиторские службы - для проверки соответствия данных отчетности законодательным требованиям, правилам и стандартам учета и отчетности с целью защиты интересов инвесторов; |
|
| Консультанты - для выработки рекомендаций своим клиентам; |
|
| Различные статистические органы; |
|
| Пресса и информационные агентства. |
Рисунок 1.2. Внешние пользователи финансовой отчетности
Финансовая отчетность является также связующим звеном между предприятием и его внешней средой. В современных условиях основной целью предоставления отчетности внешним пользователям является получение дополнительных финансовых ресурсов. Поэтому от того, что представлено в финансовой отчетности, во многом зависит будущее предприятия.
Ответственность за обеспечение эффективной связи между предприятием и финансовыми рынками несут финансовые менеджеры высшего управленческого звена предприятия. Поэтому для них финансовая отчетность важна, так как они должны знать, какую информацию получат внешние пользователи и как она повлияет на принимаемые ими решения.
Главной целью финансового анализа является расчет ключевых (наиболее емких) параметров, дающих объективную и точную картину финансового состояния предприятия, его прибылей и убытков, изменения в структуре активов и пассивов, в расчетах с дебиторами и кредиторами. При этом менеджера может интересовать как текущее финансовое состояние предприятия, так и его состояние на ближайшую или более отдаленную перспективу. Но не только временные границы определяют альтернативность целей финансового анализа. Они зависят также от целей субъектов финансового анализа, то есть конкретных пользователей финансовой информации. Основа для принятия управленческих решений – глубокий финансовый анализ, оценка качества фактического финансового состояния предприятия [20, с.16].
Традиционно оценка финансового состояния проводится по пяти основным направлениям:
имущественное положение;
ликвидность;
финансовая устойчивость;
деловая активность;
рентабельность.
Финансовый анализ, как уже отмечалось, может выполняться как для внутренних, так и для внешних пользователей. При этом состав оценочных показателей варьируется в зависимости от поставленных целей.
Оценка финансового состояния внешними пользователями проводится по двум направлениям:
1) сравнение расчетных оценочных коэффициентов с нормативными
значениями;
2) анализ динамики изменения показателей.
После возникновения финансово-экономического кризиса перед руководством предприятия встает задача не столько овладеть самими методами финансового анализа (для выполнения профессионального анализа необходимы соответствующим образом подготовленные кадры), сколько возможность эффективного использования результатов анализа.
Стремясь решить конкретные вопросы и получить квалифицированную оценку финансового положения, руководители предприятий всё чаще начинают прибегать к помощи финансового анализа и рассчитывают получить конкретное заключение о достаточности платежных средств, нормальных соотношениях собственного и заемного капитала, скорости оборота капитала и причинах её изменения, типах финансирования тех или иных видов деятельности [9, с.20].
Результаты финансового анализа позволяют выявить уязвимые места, требующие особого внимания. Нередко оказывается достаточным обнаружить эти места, чтобы разработать мероприятия по их ликвидации.
Раздел 2. АНАЛИТИЧЕСКАЯ ЧАСТЬ
Анализ и оценка финансовой устойчивости ОАО «Актив Плюс»
2.1. Характеристика ОАО «Актив Плюс»
ОАО «Актив Плюс» находится по адресу: 142211, Московская область, г. Серпухов, ул. Верхние Гончары, д.15.
ОАО «Актив Плюс» - предприятие, осуществляющее производство, обслуживание и ремонт систем управления зенитно-ракетных и артиллерийских комплексов, аппаратуры управления крылатыми ракетами, комплексами пассивных помех, средств технического обслуживания и учебно-технических средств систем управления, телевизионных систем наблюдения, радиолокационного оборудования и ЗИП к ним.
Кроме продукции специального назначения, предприятие выпускает гражданскую продукцию - энергосберегающее электрооборудование для городского (метро) и междугороднего (тепловозы) транспорта, товары народного потребления – электробытовые приборы.
В советский период ОАО «АКТИВ Плюс» получало высокую прибыль (минимальная составляла 15% от выручки), что давало возможность создавать фонды для развития производства, для строительства жилья, санаторно-курортных и детских учреждений, домов отдыха, создавались фонды материального поощрения (выплата 13-й зарплаты, премий).
В условиях финансово-экономического кризиса и сложившейся на сегодня рыночной экономики - ситуация изменилась. Резко стала падать прибыль, уменьшились объемы работ, увеличилась дебиторская и кредиторская задолженность, возникла большая текучесть кадров, которая привела к потере квалифицированных работников. Для того чтобы выяснить причины, приведшие к дестабилизации финансовой устойчивости, следует провести анализ и оценку эффективности финансовой устойчивости и разработать мероприятия по ее улучшению.
Методика анализа финансового состояния проводится на базе финансовой отчетности [3] и призвана обеспечить оценку основных аспектов хозяйственной жизни предприятия. Бухгалтерский баланс (См. Прил. А) служит индикатором для оценки финансового состояния. Для общей оценки финансового состояния предприятия составляет группировку статей бухгалтерского баланса по признаку ликвидности и по срочности обязательств.
Такая форма имеет ряд преимуществ:
позволяет определить структуру имущества предприятия и источников формирования;
рассчитать ряд аналитических показателей;
сравнить группировку статей актива и пассива.
Анализ ликвидности бухгалтерского баланса занимает центральное место в процессе оценки финансового состояния предприятия. Финансовое состояние предприятия оценивается показателями ликвидности, которые характеризуют способность предприятия своевременно и в полном объёме производить расчёты с кредиторами.
Для определения ликвидности баланса составим таблицу 2.1. и рассчитаем показатели.
Таблица 2.1 - Анализ ликвидности баланса, тыс. руб.
| Активы по степени ликвидности | 3 кв. 2008 год | 3 кв. 2009 год | Пассивы по сроку погашения | 3 кв. 2008 год | 3 кв. 2009 год | Платежный излишек (недостаток) | |
| 2008 год | 2009 год | ||||||
| 1 | 2 | 3 | 4 | 5 | 6 | 7 | 8 |
| Наиболее ликвидные активы (А1) | 4 | 3 | Наиболее срочные обязатель- ства (П1) | 5762 | 6919 | -5758 | -6916 |
| Быстрореали- зуемые активы (А2) | 3398 | 4896 | Кратко- срочные пассивы (П2) | 0 | 0 | 3398 | 4896 |
| Медленнореа-лизуемые активы (А3) | 5910 | 5296 | Долго и средне- срочные пассивы (П3) | 60 | 40 | 5850 | 5256 |
| Труднореали- зуемые активы (А4) | 3349 | 3771 | Постоянные пассивы (П4) | 6839 | 7007 | -3490 | -3236 |
| БАЛАНС | 12661 | 13966 | БАЛАНС | 12661 | 13966 | - | - |
Из четырех соотношений, характеризующих наличие ликвидных активов у организации, выполняются все, кроме одного. Наиболее ликвидные активы не покрывают наиболее срочные обязательства организации (разница составляет 6 916 тыс. руб.). В соответствии с принципами оптимальной структуры активов по степени ликвидности, краткосрочной дебиторской задолженности должно быть достаточно для покрытия краткосрочных обязательств (краткосрочных кредитов и займов). В данном случае краткосрочные кредиты и займы отсутствуют.
Данные таблицы 2.1. показывают, что в отчетном периоде наблюдается платежный недостаток наиболее ликвидных активов денежных средств (А1) и краткосрочных финансовых вложений на сумму 6916 тыс. руб. Группа актива А3 превышает группу пассива П3, группа П4 намного больше группы А4. Баланс является абсолютно неликвидным, так как не выполняются 1 и 4 условия (наиболее ликвидные активы оказались гораздо меньше наиболее срочных обязательств, а труднореализуемые активы оказались ниже постоянных пассивов). На предприятии не выполняется важное условие платежеспособности, а именно: постоянные пассивы не перекрывают труднореализуемые активы, и это говорит о нехватке собственных оборотных средств для осуществления бесперебойного воспроизводственного процесса.
Для оценки структуры оборотных средств рассчитаем коэффициенты ликвидности по данным финансовой отчетности по состоянию на 3 квартал 2008 – 2009 гг. и сведем их в отдельную таблицу 2.2.
За 3 кв. 2008 года:
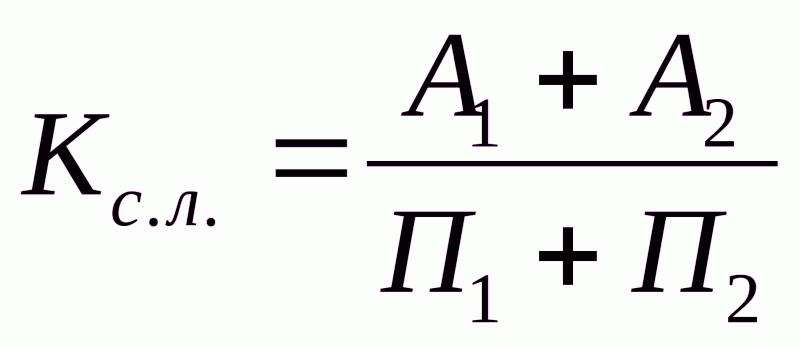
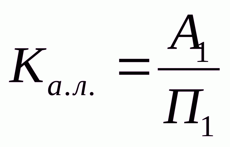
Коэффициент абсолютной ликвидности : 
Коэффициент срочной ликвидности :
Коэффициент общей ликвидности (покрытия): 
Кредитный риск : 
За 3 кв. 2009 года:
Коэффициент абсолютной ликвидности: 
Коэффициент срочной ликвидности: 
Коэффициент общей ликвидности (покрытия): 
Кредитный риск : 
Таблица 2.2 - Коэффициенты ликвидности ОАО «Актив Плюс»
| Показатели | Формула | 3 кв. 2008 год | 3 кв. 2009 год | Отклонение |
| 1 | 2 | 3 | 4 | 5 |
| Коэффициент абсолютной ликвидности |
| 0,00069 | 0,00043 | -0,00026 |
| Коэффициент срочной ликвидности |
| 0,59 | 0,71 | 0,12 |
| Коэффициент общей ликвидности (покрытия) |
| 1,62 | 1,47 | -0,15 |
| Кредитный риск |
| 2,75 | 2,07 | -0,68 |
Общая ликвидность соответствует общепринятой норме (1 - 2) и составляет 1,62 за 2008 год против 1,47 – за 2009 год. Срочная ликвидность несколько занижена, но к концу 2009 года возрастает от 0,59 до 0,71 и приближается к оптимальному значению (0,7 – 0,8). Что касается абсолютной ликвидности, то она не соответствует норме (0,2 – 0,25) и слишком занижена.
Таким образом, предприятие ОАО «Актив Плюс» к концу 2009 года обладает не слишком устойчивой структурой оборотных средств в отношении своих обязательств, что выражено в заниженных показателях абсолютной и срочной ликвидности (См. Рис. 2.1).

Рисунок 2.1. Соотношение коэффициентов ликвидности 2008-2009 гг.
Массовое проведение взаимозачетов приводит к дефициту денежных ресурсов, росту кредиторской задолженности, о чем свидетельствуют низкий показатель абсолютной ликвидности. Невыполнение условленных нормативов создает угрозу финансовой нестабильности ввиду различной степени ликвидности активов и невозможности их срочной реализации в случае одновременного обращения кредиторов.
Коэффициент кредитного риска не удовлетворяет нормативному значению. Нормальным следует считать соотношение коэффициента покрытия к коэффициенту срочной ликвидности на уровне 4/1.
Анализ изменений в составе имущества предприятия и источниках его формирования начинают с определения соотношения отдельных статей актива и пассива баланса, их удельного веса в общем, итоге (валюте) баланса, а также суммы отклонений в структуре основных статей баланса по сравнению с предшествующим периодом. При этом из общей суммы изменения валюты баланса вычленяют составные части, что позволяет сделать предварительные выводы о характере происшедших сдвигов в обусловленности.
Таблица 2.3 - Структура имущества и источники его формирования
| Показатель | Значение показателя | Изменение за анализируемый период | ||||
| на начало анализируемого периода (на 31.10.2008) | на конец анализируемого периода (31.10.2009) | (гр.4-гр.2), тыс. руб. | (гр.4 : гр.2), % | |||
| в тыс. руб. | в % к валюте баланса | в тыс. руб. | в % к валюте баланса | |||
| 1 | 2 | 3 | 4 | 5 | 6 | 7 |
| Актив | ||||||
| 1. Иммобилизованные средства* | 5 729 | 45,2 | 6 150 | 44 | +421 | +7,3 |
| 2. Текущие активы**, всего | 6 932 | 54,8 | 7 816 | 56 | +884 | +12,8 |
| в том числе: | 2 777 | 21,9 | 2 275 | 16,3 | -502 | -18,1 |
| в том числе: | 2 481 | 19,6 | 1 701 | 12,2 | -780 | -31,4 |
| - готовая продукция (товары). | – | – | – | – | – | – |
| затраты в незавершенном производстве (издержках обращения) и расходах будущих периодов; | 296 | 2,3 | 574 | 4,1 | +278 | +93,9 |
| НДС по приобретенным ценностям | 369 | 2,9 | 246 | 1,8 | -123 | -33,3 |
| ликвидные активы, всего | 3 480 | 27,5 | 5 051 | 36,2 | +1 571 | +45,1 |
| из них: | 4 | <0,1 | 3 | <0,1 | -1 | -25 |
| - дебиторская задолженность (срок платежа по которой не более года) и товары отгруженные; | 3 476 | 27,5 | 5 048 | 36,1 | +1 572 | +45,2 |
| Пассив | ||||||
| 1. Собственный капитал | 6 839 | 54 | 7 007 | 50,2 | +168 | +2,5 |
| 2. Долгосрочные обязательства, всего | 60 | 0,5 | 40 | 0,3 | -20 | -33,3 |
| из них: | 60 | 0,5 | 40 | 0,3 | -20 | -33,3 |
| - прочие долгосрочные обязательства. | – | – | – | – | – | – |
| 3. Краткосрочные обязательства (без доходов будущих периодов), всего | 5 762 | 45,5 | 6 919 | 49,5 | +1 157 | +20,1 |
| из них: | – | – | – | – | – | – |
| - прочие краткосрочные обязательства. | 5 762 | 45,5 | 6 919 | 49,5 | +1 157 | +20,1 |
| Валюта баланса | 12 661 | 100 | 13 966 | 100 | +1 305 | +10,3 |
*Иммобилизованные средства включают внеоборотные активы и долгосрочную дебиторскую задолженность (т.е. наименее ликвидные активы).
**Текущие активы - это оборотные активы, за исключением долгосрочной дебиторской задолженности.
Структура активов организации на 31.10.2009 г. характеризуется соотношением: 44% иммобилизованных средств и 56% текущих активов. Активы организации за анализируемый период увеличились на 1 305 тыс. руб. (на 10,3%). Отмечая увеличение активов, необходимо учесть, что собственный капитал увеличился в меньшей степени – на 2,5%. Отстающее увеличение собственного капитала относительно общего изменения активов является негативным показателем.
Рост величины активов организации связан, в первую очередь, с ростом следующих позиций актива баланса (в скобках указана доля изменения данной статьи в общей сумме всех положительно изменившихся статей):
дебиторская задолженность (платежи по которой ожидаются в течение 12 месяцев после отчетной даты) – 1 498 тыс. руб. (65,9%)
основные средства – 422 тыс. руб. (18,6%)
запасы: затраты в незавершенном производстве – 278 тыс. руб. (12,2%)
Одновременно, в пассиве баланса наибольший прирост наблюдается по строкам:
кредиторская задолженность: поставщики и подрядчики – 1 028 тыс. руб. (69,2%)
нераспределенная прибыль (непокрытый убыток) – 159 тыс. руб. (10,7%)
кредиторская задолженность: задолженность по налогам и сборам – 158 тыс. руб. (10,6%)
кредиторская задолженность: задолженность перед государственными внебюджетными фондами – 123 тыс. руб. (8,3%)
Среди отрицательно изменившихся статей баланса можно выделить "запасы: сырье, материалы и другие аналогичные ценности" в активе и "кредиторская задолженность: прочие кредиторы" в пассиве (-780 тыс. руб. и -95 тыс. руб. соответственно).
За анализируемый период имело место повышение собственного капитала организации до 7 007,0 тыс. руб. (+168 тыс. руб.).
Итак, соотношение мобильных и иммобилизованных (внеоборотных) средств отклоняется в сторону мобильных. При этом уменьшение внеоборотных активов связано с износом и списанием пришедшего в негодность оборудования. А увеличение оборотных активов связано с увеличением запасов и дебиторской задолженности. В условиях российской гиперинфляции «запас» является резервом, повышающим финансовую надежность предприятия при условии возможности маневрировать этим резервом. Высокий рост дебиторской задолженности свидетельствует о том, что произошло снижение поступлений из федерального бюджета и поэтому бюджетные организации не могут расплатиться с предприятием ОАО «Актив Плюс». Конечно, можно ждать пока изменится ситуация в г. Серпухов и будут налажены поступления денежных средств из федерального бюджета для предприятий бюджетной сферы, тогда пойдет снижение дебиторской задолженности. Однако, предприятие должно вести свой внутренний контроль. Это немаловажно, т.к. это позволит увеличить финансовые возможности для его технического развития.
Соотношение собственного и заемного капиталов практически сравнялось. Резкий скачек заемного капитала свидетельствует об увеличении кредиторской задолженности, которая связана с неспособностью предприятия погасить за данный период свою задолженность перед своими работниками, государственными внебюджетными фондами и бюджетом.
Итак, для 2009 года характерно дальнейшее увеличение мобильных активов и заемного капитала. Большое количество дебиторов свидетельствует о том, что предприятие ОАО «Актив Плюс» кредитуя своих клиентов, фактически делится с ними частью своего дохода, а это тормозит погашение собственной кредиторской задолженности. В результате чего, внебюджетные фонды и ГНИ правомерно начисляют пени, увеличивая долги предприятия.
Таким образом, оценивая финансово-экономическую ситуацию и имущественное положение предприятия за два года можно сделать следующие выводы.
соотношение мобильных и иммобилизованных активов с 2008 года отклоняется, в сторону мобильных средств (оптимальным считается равное соотношение), что свидетельствует о повышении платежеспособности и в то же время уменьшении прибыли.
довольно большая часть средств отвлечена в дебиторскую задолженность, причем негативным фактором является ее увеличение к концу 3 кв. 2009 года до 7275 тыс. рублей против 5778 тыс. рублей на конец 3 кв. 2008 года. (См. Прил. А).
3) к концу 2009 года наблюдается резкое увеличение заемного капитала в виде кредиторской задолженности, т.е. предприятие не способно вовремя погашать свою задолженность, т.к. большая часть активов отвлечена в дебиторскую задолженность.
Увеличение дебиторской и кредиторской задолженности связано с ухудшением расчетно-платежной дисциплиной. Такая ситуация может быть связана с растущими инфляционными процессами, приведшими к массовому внедрению взаимозачетов, а так же с ослаблением контроля за дебиторскими и кредиторскими счетами.
Для оздоровления структуры имущества предприятию необходимо повысить качество управления дебиторскими счетами: путем проведения претензионно-исковой работы с покупателями и заказчиками за просрочку платежей; улучшения постановки на учет; введения в практику взаимоотношений с неплательщиками возможности индексации просроченных платежей с целью обеспечения защиты денежных средств от инфляции и повышении заинтересованности потребителей в своевременных расчетах; проведения взаимозачетов.
2.2. Оценка уровня эффективности управления финансовой устойчивостью ОАО «Актив Плюс»
Для оценки эффективности финансовой устойчивости предприятия, необходимо знать насколько эффективно используется собственный капитал предприятия, т.е. какой доход получает предприятие на денежную единицу денежных средств. Чтобы получить общее представление о финансовом положении ОАО «Актив Плюс» проанализируем рентабельность собственного капитала применив расширенную формулу «Du Pont» к данным отчета о прибылях и убытках (См. Прил. Б) за 3 кв. 2008 – 2009 гг [19, с.113].
Данная формула представляет собой трехфакторную модель динамики рентабельности собственного капитала, которая показывает зависимость темпов увеличения собственного капитала от рентабельности продаж, оборачиваемости всего капитала, финансовой активности предприятия по привлечению заемных средств.
ROE = ROS · TAT · EM, (2.1)
где ROE – отношение чистой прибыли к собственному капиталу;
ROS - отношение чистой прибыли к выручке;
TAT - отношение выручки к валюте баланса;
EM - отношение валюты баланса к собственному капиталу.
=
*
*
; (2.2)


ROE2008= 2,44 · 0,74 · 1,85 = 3,35


ROE2009= 4,08 · 0,68 · 1,99 = 5,52
Рассчитав необходимые для анализа факторы из полученных данных видно, что 2009 году произошло увеличение показателя рентабельности продаж на 2,17%.
(ROE2009 – ROE2008 = 5,52 - 3,35 = 2,17).
Финансовое состояние предприятия улучшилось, что свидетельствует о высокой эффективности управления финансовой устойчивостью ОАО «Актив Плюс» и об эффективности работы финансового отдела. Показатель рентабельности собственного капитала увеличился почти в два раза, основной причиной этого является агрессивная финансовая политика менеджмента предприятия, который активно привлекает и использует внешние займы.
Данная политика предприятия связана со значительным финансовым риском, однако анализ результатов деятельности фирмы и управление финансовой устойчивостью позволяет сделать предварительный вывод о том, что данный риск в целом оправдан и компенсируется более весомой отдачей для акционеров.
Используя метод цепных подстановок (последовательная замена базовой величины показателя на его фактическую величину) определим влияние факторов на изменение рентабельности собственного капитала (См. Таб. 2.4.).
1) фактор прибыльности продукции:
0,0244 · 0,74 · 1,85 = 0,0334
0,0408 · 0,74 · 1,85 = 0,0559
0,0559 – 0,0334 = 0,0225 (2,25 %)
Увеличение рентабельности продукции в 2009 году на 1,2 % (0,0408 – 0,0244 = 0,0164) по сравнению с 2008 годом привело к повышению рентабельности собственного капитала на 2,25 %.
2) фактор оборачиваемости капитала:
0,0408 · 0,68 · 1,85 = 0,0513
0,0513 – 0,0559 = -0,005 (0,5 %)
Изменение оборачиваемости всего капитала в 2009 году по сравнению с 2008 годом на 6 % (0,68 – 0,74 = -0,06) привело к снижению рентабельности собственного капитала 0,5 %.
3) фактор финансовой активности предприятия по привлечению заемных средств (финансовый рычаг).
0,0408 · 0,68 · 1,99 = 0,0552
0,0552 – 0,0513 = 0,0039 (0,4%)
Рост доли собственного капитала в 2009 году по сравнению с 2008 годом на 14 % (1,85 – 1,99 = -0,14) привело к повышению рентабельности собственного капитала, что привело к снижению финансового риска (риск неплатежеспособности) на 0,4 %.
При определении суммарного влияния всех факторов (0,0225 - 0,005 + 0,0039 = 0,00217 (2,17%)) полученное значение соответствует полученному показателю при расчете формулы «Du Pont» и равно 2,17.
Составим таблицу сравнения коэффициентов (См. Табл. 2.4.).
Таблица 2.4 - Коэффициенты рентабельности собственного капитала
| Коэффициенты | 2008г. | 2009г. | Отклонения (+,-) |
| ROE, % | 3,35 | 5,52 | 2,17 |
| ROS, % | 2,44 | 4,08 | 1,64 |
| TAT | 0,74 | 0,68 | -0,06 |
| EM | 1,85 | 1,99 | 0,14 |
В 2009 году произошло увеличение рентабельности капитала на 2,17 % (См. Рис. 2.2), которое произошло в результате повышения рентабельности продаж (1,64%), однако, произошло снижение ресурсоотдачи (0,06 единица). Мультипликатор собственного капитала немного повысился (0,14 единицы), что говорит об активном использовании заемных средств. Однако, ОАО «Актив Плюс» привлекало, привлекает и планирует привлекать дополнительный заемный капитал.

Рисунок 2.2. Динамика рентабельности собственного капитала по состоянию на 3 кв. 2008 – 2009 гг.
Рентабельность собственного капитала увеличилась чуть больше, чем в 2 раза. Это объясняется тем, что в 2009 году на каждый полученный рубль выручки, приходилось 4,1 копейки чистой прибыли; а в 2008 году на 1 рубль выручки приходилось всего 2,4 копейки.
Повышение рентабельности продаж свидетельствует об усилении контроля за расходами и эффективности управления финансовой устойчивостью ОАО «Актив Плюс» со стороны финансового отдела.
ROA=
; или ROA =ROS · TAT, (2.3)
где ROA – рентабельность активов;
ROS - отношение чистой прибыли к выручке;
TAT - отношение выручки к валюте баланса;
ROA2008 = 2,44 · 0,74 = 1,8
ROA2009 = 4,08 · 0,68 = 2,77
Коэффициент рентабельности активов, который позволяет оценить результаты основной деятельности предприятия показывает, что в 2009 году рентабельность активов ОАО «Актив Плюс» превышает рентабельность активов 2008 года более чем в 1,5 раза. Следовательно, в 2009 году собственные и заемные ресурсы используются более эффективно, и на 1 рубль выручки получают большую прибыль. У предприятия не должны возникнуть проблемы в дальнейшем с привлечением заемных средств.
Подведем некоторые итоги. Рентабельность предприятия, выраженная собственным капиталом, является комплексным показателем оценки успешности деятельности ОАО «Актив Плюс» и играет значительную роль в определении инвесторами объектов и проектов для инвестиций. Нетрудно заметить, что чем выше значение рентабельности капитала, тем при прочих равных условиях, будет выше капитализация предприятия, а следовательно финансовым менеджерам будет легче управлять финансовой устойчивостью предприятия и повышать эффективность управления финансовой устойчивостью.
2.3. Анализ абсолютных и относительных показателей как основа повышения эффективности управления финансовой устойчивостью ОАО «Актив Плюс»
Обобщающим показателем финансовой независимости является излишек или недостаток источников средств для формирования запасов, который определяется в виде разницы величины источников средств и величины запасов.
По данным финансовой отчетности ОАО «Актив Плюс» (См. Прил. А) определим тип его финансовой устойчивости по обеспеченности источниками процесса формирования запасов и затрат за отчетный период, все показатели сведем в таблице (См. Таб.2.5).
Таблица 2.5 - Абсолютные показатели финансовой устойчивости ОАО «Актив Плюс» за период с 2008 по 2009 год.
| Показатели | 3 кв. 2008г. тыс.руб. | 3 кв. 2009 г. тыс.руб. |
| 1 | 2 | 3 |
| Общая величина запасов и затрат | 3224 | 2673 |
| Наличие собственных оборотных средств | 3490 | 3236 |
| Наличие собственных и долгосрочных заемных источников формирования запасов (функционирующий капитал) | 3550 | 3276 |
| Общая величина основных источников формирования запасов | 3244 | 3276 |
| ФСОС | 266 | 563 |
| ФФК | 326 | 603 |
| ФВИ | 326 | 603 |
| Трехкомпонентный показатель (S) | {1,1 ,1 } | {1,1,1} |
Расчет трехкомпонентного показателя позволяет сделать вывод, что и для 2008 года и для 2009 года характерна абсолютная финансовая устойчивость, т.к. S={1,1,1}. Это означает, что ОАО «Актив Плюс» использует все свои источники финансовых ресурсов и полностью покрывает запасы и затраты, а это главное.
Таким образом, предприятие имеет способность провести расчеты по краткосрочным обязательствам, а для их погашения могут использоваться разнообразные виды активов, отличающиеся друг от друга своей оборачиваемостью, т.е. временем, необходимым для превращения в деньги.
Запас источников собственных средств – это запас финансовой устойчивости предприятия при условии, что его собственные средства превышают заемные. Оценка финансовой устойчивости как раз и характеризует одно из условий финансовой гибкости – наличие резервов.
Одна из важнейших характеристик финансового состояния предприятия – стабильность его деятельности в свете долгосрочной перспективы. Она связана с общей финансовой структурой предприятия, степенью его зависимости от кредиторов и инвесторов. Однако, если структура «собственный капитал – заемный капитал» имеет значительный перекос в сторону долгов, предприятие может обанкротиться, если несколько кредиторов одновременно потребуют свои деньги обратно в «неудобное» время [24, с.104].
Очень важно правильно оценить уровень и динамику коэффициентов финансовой устойчивости на конкретном предприятии. Рассмотрим это на примере ОАО «Актив Плюс». Вид деятельности предприятия – предоставление услуг строительно-ремонтных работ, имеет на балансе долгосрочную задолженность. Всё это позволяет рассчитать по его данным (См. Прил. А) полный набор коэффициентов финансовой устойчивости, оценить их уровень и динамику.
Таблица 2.6 - Коэффициенты финансовой устойчивости ОАО «Актив Плюс» 2008 - 2009 гг.
| Показатель | Значение показателя | Изменение показателя | Описание показателя и его нормативное значение | |
| 3 кв. 2008г. | 3 кв. 2009г. | |||
| 1 | 2 | 3 | 4 | 5 |
| 1. Коэффициент автономии | 0,54 | 0,50 | -0,04 | Отношение собственного капитала к общей сумме капитала. |
| 2. Коэффициент финансового риска | 0,85 | 0,99 | +0,14 | Отношение заемного капитала к собственному. |
| 3. Коэффициент финансовой зависимости (долга) | 0,46 | 0,50 | +0,04 | Отношение заемного капитала к валюте баланса. |
| 4. Коэффициент финансовой устойчивости | 0,55 | 0,50 | -0,05 | Отношение собственного капитала и долгосрочных обязательств к общей сумме капитала. |
| 5. Коэффициент маневренности собственного капитала | 0,47 | 0,43 | -0,04 | Отношение собственных оборотных средств к источникам собственных средств. |
| 6. Коэффициент устойчивости структуры мобильных средств | 0,38 | 0,32 | -0,06 | Отношение чистого оборотного капитала к общему оборотному капиталу. Характеризует отраслевую специфику организации. |
| 7. Коэффициент обеспеченности оборотного капитала собственными источниками | 0,34 | 0,29 | -0,05 | Отношение собственных оборотных средств к общей стоимости оборотных активов. Нормальное значение: 0,1 |
По данным финансовой отчетности ОАО «Актив Плюс» определили относительные показатели финансовой устойчивости за период с 2008 по 2009 год. На основании полученных расчетов (См. Таб. 2.6.) можно сделать следующие выводы.
Исследуемое предприятие имеет хорошие показатели по относительным коэффициентам финансовой устойчивости.
Динамика коэффициента соотношения собственных и заемных средств свидетельствует о том, что на каждый рубль собственных средств на конец 3 кв. 2009 года приходиться 0,99 рубля заемных против 0,85 рублей на конец 3 кв. 2008 года, т.е. выявлена тенденция повышения зависимости предприятия от привлеченных средств.
За исследуемый период, коэффициент долга растет с 0,46 до 0,50, т.е. на лицо превышение нормативного значения равного 0,40 %. Казалось бы чем ниже коэффициент долга, тем меньше зависимость предприятия от внешних источников финансирования. Однако, если посмотреть на это с другой стороны, то возникает вопрос: если бы 100% источников финансирования были предоставлены собственным капиталом, а заемные источники не привлекались бы, означало бы это очень высокую финансовую устойчивость предприятия или нет? Едва ли целесообразно совершенно не пользоваться заемными источниками. Границы рационального объема заемных источников зависят от характера активов. Те элементы активов, которые формируют производственный потенциал предприятия, создают главные условия для его бесперебойной деятельности, должны иметь собственные источники финансирования. Остальные элементы активов могут обеспечиваться заемными источниками. Заемные источники позволяют предприятию обходиться меньшим собственным капиталом для достижения необходимых результатов. С этой точки зрения, чем больше заемных источников, тем выше рентабельность собственного капитала при прочих равных условиях. Однако – это не должно ставить под угрозу надежность обеспечения предприятия имуществом, необходимым для его бесперебойной работы.
Данные бухгалтерского баланса ОАО «Актив Плюс» свидетельствуют об уменьшении значения коэффициента финансовой независимости (автономии) с 0,54 до 0,50 за период 2008-2009 гг. В данном случае, значение коэффициента автономии соответствует нормативному значению.
Для ОАО «Актив Плюс» уровень коэффициента финансовой устойчивости не высок и снижается с 0,55 до 0,50, т.к. на балансе предприятия числится небольшая сумма долгосрочных заемных средств и поэтому при расчете этого показателя получается результат идентичный предыдущему.
Коэффициент маневренности собственных источников показывает, что на рубль собственного капитала приходиться 47 копеек собственных оборотных средств в 2008 году, а в 2009 году значение уменьшается до 43 копеек и при этом остается приближенным к верхней границе норматива-50 копеек, что указывает на высокую степень мобильности использования собственных средств. Обеспечение собственных текущих активов собственным капиталом является гарантией устойчивой кредитной политики.
Высокое значение коэффициента маневренности положительно характеризует финансовое состояние предприятия, а также убеждает в том, что управляющие предприятием осуществляют достаточную гибкость в использовании собственных средств.
Коэффициент устойчивости структуры мобильных средств снижается с 38 % до 32 % на конец 3 кв. 2009 года, что свидетельствует об уменьшении текущих активов, которыми располагает предприятие после погашения текущих обязательств.
На предприятии коэффициент обеспеченности оборотного капитала собственными источниками финансирования выше норматива (10%), но снижается до 29 % в 2009 году против 34 % за 2008 год.
Рассчитаем величины СОС, ТФП и ДС, используя формулы и данные бухгалтерского баланса (См. Прил. А) за 2008 и 2009 годы.
1) СОС2008 = 9312 – 5762 = 3550 тыс.рублей,
т.е. СОС>0 – это ресурсы превышающие потребности в финансировании основных активов.
ТФП 2008 = 2855 + 2380 + 3398 – 5762 = 2871 тыс.рублей,
т.е. ТФП>0- это потребности в покрытии не денежных оборотных средств (дефицит). Часть ресурсов (2871 тыс.рублей) идет на покрытие текущих финансовых потребностей.
ДС2008= СОС – ТФП = 3550 – 2871 = 679 тыс.рублей
представляет собой свободный остаток денежной наличности.
2) СОС 2009 = 10195 – 6919 = 3276 тыс.рублей
ТФП 2009 = 2427 + 2379 + 4896 – 6919 = 2783 тыс. рублей
ДС 2009 = 3276 – 2783 = 493 тыс. рублей.
В 2009 году СОС, ТФП и ДС больше нуля, т.е. сохраняются те же условия, что и 2008. Но при этом остаток денежной наличности уменьшился до 493 тыс. рублей против 679 тыс. рублей. Это положительный признак, т.к. свидетельствует о сокращении замороженных денег.
Если выразить ТФП и ДС в процентах к величине собственных оборотных средств, то получится следующая картина (См. Рис. 2.3.).
Потребности Ресурсы
| ТПФ = 2871 тыс. руб. = 81% | СОС = 3550 тыс. руб. = 100% | |||
| ДС = 679 тыс. руб. = 19% | ||||
Рисунок 2.3. Равновесие потребностей и ресурсов за 2008 год
Итак, 81% СОС идет на покрытие операционных потребностей, а 19% представляют собой свободный остаток денежных средств, из которого можно надеяться оплатить ближайшие расходы, сформировать необходимый страховой запас наличности.
Для 2009 года картина будет такова (См. Рис. 2.4.).
Потребности Ресурсы
| ТПФ = 2783 тыс. руб. = 85% | СОС = 3276 тыс. руб. = 100% | |||
| ДС = 493 тыс. руб. = 15% | ||||
Рисунок 2.4. Равновесие потребностей и ресурсов за 2009 год
В 2009 году остаток свободной наличности сократился до 15%, что свидетельствует об улучшении использования собственных оборотных средств.
Итак, предприятие обладает собственными оборотными средствами, достаточными для финансирования основных средств. И генерирует свободный остаток денежной наличности в общей сумме 1 172 тыс.рублей.
Но в этой ситуации есть одна слабость: «спящие деньги», не приносящие дохода - это упущенная выгода-тот же убыток. При условии, что предприятие оказывает услуги бюджетным организациям, получить деньги будет очень сложно.
Чтобы определить сумму оборотных средств, замороженных вследствие замедления их оборачиваемости, необходимо исчислить излишек средств исходя из выручки от реализации и из оборачиваемости в днях предыдущего отчетного периода для всех оборотных средств.
Проведем анализ использования оборотных средств, сформировав таблицу (См. Таб. 2.7). Оборачиваемость всех оборотных средств замедлилась на 83 дня в 2009 году по сравнению с 2008, что привело к замораживанию этих оборотных средств на 3122 тыс. рублей.
(9535х240:360=6357 тыс. рублей; 9479-6357=3122 тыс. рублей).
Таблица 2.7 - Оборачиваемость оборотных средств
| № | Показатель | 3 кв. 2008 г. | 3 кв. 2009 г. | Отклонение (+/-) |
| 1 | Выручка от реализации, тыс. руб. | 9379 | 9535 | +156 |
| 2 | Средний остаток оборотных средств, тыс. руб. | 7402 | 9479 | +2077 |
| 3 | Оборачиваемость оборотных средств, Раз В днях | 1,3 277 | 1 360 | -0,3 83 |
На замораживание оборотных средств из оборота в результате замедления их оборачиваемости оказали влияние следующие факторы:
-изменение средних остатков оборотных средств: 9479 – 7402 = 2077 тыс.рублей;
-изменение выручки от реализации: 9535 – 9379 = 156 тыс. рублей
Таким образом, дополнительное вовлечение оборотных средств произошло за счет увеличения средних остатков оборотных средств.
Проанализируем, насколько эффективно ОАО «Актив Плюс» использует свои оборотные средства.
Рассчитаем основные коэффициенты деловой активности и сведем показатели в единую таблицу (См. Таб. 2.8.).
Коэффициент оборачиваемости активов характеризует эффективность использования предприятием всех имеющихся ресурсов, независимо от источников их привлечения, т.е. показывает сколько раз в год совершается полный цикл производства и обращения, приносящий соответствующий эффект в виде прибыли или сколько денежных единиц реализованной продукции принесла каждая денежная единица активов.
Оборачиваемость активов:
1) 2008 год: 9379 : ((9359 + 12661): 2) = 0,85
2) 2009 год: 9535 : ((12661 + 13966): 2) = 0,72
Коэффициент оборачиваемости дебиторской задолженности показывает, сколько раз в среднем дебиторская задолженность превращалась в денежные средства в течение отчетного периода. Коэффициент рассчитывается посредством деления выручки от реализации продукции на среднегодовую стоимость чистой дебиторской задолженности.
Оборачиваемость дебиторской задолженности (только по покупателям):
1) 2008 год: 9379: ((1601 + 5778) : 2) = 2,54
В днях: 360 : 2,54 = 142
2) 2009 год: 9535 : ((5778 + 7275) : 2) = 1,46
В днях: 360 : 1,46 = 247
Коэффициент оборачиваемости кредиторской задолженности рассчитывается как частное от деления себестоимости реализованной продукции на среднегодовую стоимость кредиторской задолженности, и показывает, сколько предприятию требуется оборотов для оплаты выставленной ей счетов.
Оборачиваемость кредиторской задолженности (только по поставщикам и подрядчикам):
2008 год: 8594 : ((1370 + 3440) : 2) = 3,57
В днях: 360 : 3,57 = 101
2009 год: 8666 : ((3440 + 4468) : 2) = 2,19
В днях : 360 : 2,19 = 164
Коэффициент оборачиваемости материально-производственных запасов. Отражает скорость реализации этих запасов. Он рассчитывается как частное от деления себестоимости реализованной продукции на среднегодовую стоимость материально-производственных запасов. Для расчета коэффициента в днях себестоимости реализованной продукции на среднегодовую стоимость материально-производственных запасов. Тогда можно узнать, сколько дней требуется для продажи (без оплаты) материально-производственных запасов.
Длительность операционного цикла определяется как сумма срока оборачиваемости материально - производственных запасов и дебиторской задолженности.
Длительность финансового цикла находиться из разницы операционного и срока оборачиваемости кредиторской задолженности.
Оборачиваемость МПЗ:
2008 год: 8594 : ((2345 + 2855) : 2) = 3,31
В днях: 360 : 3,31 = 109
2009 год: 8666 : ((2855 + 2427) : 2) = 3,28
В днях: 360 : 3,28 = 110
Длительность операционного цикла показывает, сколько дней в среднем требуется для производства, продажи и оплаты продукции, иначе говоря, в течение5 связаны в материально-производственных запасах:
Длительность операционного цикла:
2008 год: 142 + 109 = 251 день
2009 год: 247 + 110 = 357 дней
Длительность финансового цикла:
2008 год: 251 – 101 = 150 дней
2009 год: 357 – 110 = 247 дней
Как следует из наших расчетов (См. Таб. 2.8.), условия на которых предприятие получает поставки сырья и материалов улучшились, так как увеличился срок кредита, предоставляемого поставщиком на 63 дня. Одновременно увеличился срок оплаты предоставляемой предприятием заказчику на 105 дней. В целом, отток денежных средств кредиторам превышает приток от дебиторов всего на 42 дня.
Таблица 2.8 - Коэффициенты деловой активности ОАО «Актив Плюс»
№ | Показатели | 3 кв. 2008 г. | 3 кв. 2009 г. | Отклоненение (+/-) | |
| Абс. (дни) | Отн. % | ||||
| 1. | Оборачиваемость активов, раз | 1,3 | 1 | - 0,3 | 23 |
| 2. | Оборачиваемость дебиторской задолженности, в днях | 142,0 | 247,0 | +105 | 74 |
| 3. | Оборачиваемость кредиторской задолженности, в днях | 101,0 | 164,0 | +63 | 62 |
| 4. | Оборачиваемость МПЗ, в днях | 109 | 110 | 1 | 0,9 |
| 5. | Длительность операционного цикла, в днях | 251 | 357 | +106 | 42 |
| 6. | Длительность финансового цикла, в днях | 150 | 247 | +97 | 65 |
Это незначительное увеличение. Все же следует провести тщательный анализ дебиторской и кредиторской задолженности, и выяснить причины приведшие к росту долгов.
Проведем анализ состояния дебиторской и кредиторской задолженности (См. Таб. 2.9.) по статьям баланса (См. Прил. А).
Таблица 2.9 - Структура дебиторской и кредиторской задолженности
ОАО «Актив Плюс»
| Вид задолженности | 3 кв. 2008 г. тыс. руб. | кв. 2009г. тыс. руб. | Отклонения | |
| Абс. тыс.руб. | Отн. % | |||
| 1 | 2 | 3 | 4 | 5 |
| 1. Дебиторская задолженность: -покупатели и заказчики: | 5778 | 7275 | +1497 | 26 |
| Итого: | 5778 | 7275 | +1497 | 26 |
| 2. Кредиторская задолженность: -поставщики и подрядчики: -задолженность перед персоналом организации: -задолженность перед государственными внебюджетными фондами: -задолженность по налогам и сборам: -прочие кредиторы | 3440 183 801 1139 199 | 4468 126 924 1297 104 | +1028 -57 +123 +158 -95 | 30 31 15 14 48 |
| Итого: | 5762 | 6919 | 1157 | 20 |
Анализ таблицы 2.9. показывает, что рост дебиторской задолженности с 2008 по 2009 год обусловлен увеличением долга покупателям и заказчикам на 1497 тыс. рублей или 26%. В результате чего произошло увеличение кредиторской задолженности, в частности, поставщикам и подрядчикам на 1028 тыс. рублей (30%) (См. Рис. 2.5.), в фонд социального страхования и обеспечения на 158 тыс.рублей (14%) и перед бюджетом на 123 тыс.рублей (15 %).

2008 год

2009 год
Рисунок 2.5. Структура кредиторской задолженности 2008 – 2009 гг.
Следует отметить положительные сдвиги по оплате труда на 57 тыс. рублей (31%).
Анализ собственных оборотных средств и текущих финансовых потребностей показывает превышение первых над вторыми на сумму 1172 тыс.рублей. Это свободный остаток денежных средств из которого можно было бы оплатить ближайшие расходы, сформировать необходимый страховой запас наличности или же сделать краткосрочные финансовые вложения. Этот резерв денежной наличности не был использован, а следовательно не принес дохода.
Любое предприятие стремиться к разумному сокращению текущих финансовых потребностей и этого можно достичь путем уменьшения запасов сырья и материалов и дебиторской задолженности, и увеличения срока оплаты кредиторской задолженности.
Оборачиваемость всех оборотных средств замедлилась на 83 дня к концу 3 кв. 2009 года, что привело к замораживанию этих оборотных средств из оборота на сумму 3122 тыс.рублей. Это свидетельствует о росте неплатежеспособных дебиторов.
В целом рост дебиторской задолженности не желателен и является с одной стороны результатом проводимой экономической политике в стране, которая способствовала свертыванию производства сети промышленных предприятий, упадку сельского хозяйства, недостаточности финансирования бюджетной сферы, что обусловило низкий уровень денежной массы в расчетах, а с другой - ослабление финансовой и расчетно-платежной дисциплины, ухудшение контроля за дебиторскими счетами.
За счет увеличения дебиторской задолженности предприятие не может своевременно рассчитаться по своим краткосрочным обязательствам. Высокая доля приходиться на задолженность перед поставщиками, социальному страхованию, перед бюджетом.
Тем не менее, ОАО «Актив Плюс» в полной мере обеспечен собственными оборотными средствами. В соответствии с Приказом Министерства Экономики РФ от 01.10.1997г. № 118 «Методические рекомендации по разработке финансовой политики предприятия» [2] и Распоряжением ФУДН № 31-р «Методические положения по оценке финансового состояния предприятий» [4] структура баланса предприятия на конец отчетного периода признается удовлетворительной, а организация платежеспособной. Высокий уровень данного коэффициента обусловлен большой долей оборотных активов в имуществе и добавочного капитала в источниках.
В целом улучшение состояния оборотных средств зависит от опережающего роста суммы собственных оборотных средств по сравнению с ростом материальных запасов. Зависимость можно определить и исходя из того, что собственных оборотных средств у предприятия тем больше, чем меньше внеоборотных активов приходиться на рубль источников собственных средств. Понятно, что стремиться к уменьшению внеоборотных активов (или к относительно медленному их росту) не всегда целесообразно.
Увеличить собственные оборотные средства можно с помощью увеличения долгосрочного заимствования, если долгосрочных кредитов в структуре пассивов относительно немного, то можно попробовать получить дополнительный долгосрочный кредит или нарастить собственный капитал, путем увеличения Уставного капитала, подъемом рентабельности с помощью контроля затрат.
Таким образом, ОАО «Актив Плюс» устойчиво во времени, но следует обратить внимание на заемный капитал, который представлен в виде кредиторской задолженности, т.к. увеличивает риск оказаться на краю банкротства. Вместе с тем, предприятие имеет достаточно стабильный рынок сбыта, и его успех целиком зависит от правильной стратегии поведения на рынке. Эффективная стратегия сбыта, борьбы за своего клиента позволяет ему иметь достаточно высокие резервы финансовых средств для снижения риска.
Заключение
В данной работе был проведен анализ эффективности финансовой устойчивости ОАО «Актив Плюс».
По состоянию на конец третьего квартала 2009 года видно, что общая ликвидность соответствует общепринятой норме (1 - 2) и составляет 1,62 за 2008 год против 1,47 – за 2009 год. Срочная ликвидность несколько занижена, но к концу 2009 года возрастает от 0,59 до 0,71 и приближается к оптимальному значению (0,7 – 0,8). Что касается абсолютной ликвидности, то она не соответствует норме (0,2 – 0,25) и занижена.
Таким образом, предприятие ОАО «Актив Плюс» к концу 2009 года обладает не слишком устойчивой структурой оборотных средств в отношении своих обязательств.
Анализ источников имущества предприятия показал, что в общей сумме имущества изменилась доля собственного капитала с 52,21% до 47,39%, т.е. уменьшилась на 4,82% по сравнению с прошлым годом. А вот доля заемного увеличилась с 45,98% до 49,83%, т.е. на 3,85%. Увеличение заемного капитала на 1137 тыс. руб. и собственного на 230 тыс. руб. повлекло рост источников имущества на 1367 тыс. руб.
Итак, для 2009 года характерно дальнейшее увеличение мобильных активов и заемного капитала. Большое количество дебиторов свидетельствует о том, что предприятие ОАО «Актив Плюс» кредитуя своих клиентов, фактически делится с ними частью своего дохода, а это тормозит погашение собственной кредиторской задолженности. В результате чего, внебюджетные фонды и ГНИ правомерно начисляют пени, увеличивая долги предприятия.
Оценив финансово-экономическую ситуацию и имущественное положение ОАО «Актив Плюс» за два года сделаны следующие выводы.
соотношение мобильных и иммобилизованных активов с 2008 года отклоняется, в сторону мобильных средств (оптимальным считается равное соотношение), что свидетельствует о повышении платежеспособности и в то же время уменьшении прибыли. Доля оборотного капитала в среднем за период составляет 73 %, а внеоборотного-27 %.
довольно большая часть средств отвлечена в дебиторскую задолженность, причем негативным фактором является ее увеличение к концу 3 кв. 2009 года до 7275 тыс. рублей против 5778 тыс. рублей на конец 3 кв. 2008 года и 3030 тыс. руб. на начало 2008 года.
3) к концу 2009 года наблюдается резкое увеличение заемного капитала в виде кредиторской задолженности, т.е. предприятие не способно вовремя погашать свою задолженность, т.к. большая часть активов отвлечена в дебиторскую задолженность.
Увеличение дебиторской и кредиторской задолженности связано с ухудшением расчетно-платежной дисциплины. Такая ситуация может быть связана с растущими инфляционными процессами, приведшими к массовому внедрению взаимозачетов, а так же с ослаблением контроля за дебиторскими и кредиторскими счетами.
Увеличение рентабельности продаж на 2,17%, повлекло за собой улучшение финансового состояния предприятия, что свидетельствует о высокой эффективности финансовой устойчивости ОАО «Актив Плюс» и об эффективности работы финансового отдела.
Причиной увеличения показателя рентабельности собственного капитала на 2,25 % послужило повышение рентабельности продукции в 2009 году на 1,64 %.
Изменение оборачиваемости всего капитала в 2009 году по сравнению с 2008 годом на 6 % (0,68 – 0,74 = -0,06) привело к снижению рентабельности собственного капитала 0,5 %.
Рентабельность собственного капитала увеличилась чуть больше, чем в 2 раза. Это объясняется тем, что в 2009 году на каждый полученный рубль выручки, приходилось 4,1 копейки чистой прибыли; а в 2008 году на 1 рубль выручки приходилось всего 2,4 копейки.
Повышение рентабельности продаж свидетельствует об усилении контроля за расходами и эффективности финансовой устойчивости ОАО «Актив Плюс» со стороны финансового отдела
Анализ рентабельности активов показал, что в 2009 году собственные и заемные ресурсы используются более эффективно, и на 1 рубль выручки получают большую прибыль, таким образом, у предприятия не должны возникнуть проблемы в дальнейшем с привлечением заемных средств.
На основании анализа полученных показателей финансовой устойчивости можно сделать вывод, что исследуемое предприятие имеет хорошие показатели по относительным коэффициентам финансовой устойчивости.
Динамика коэффициента соотношения собственных и заемных средств свидетельствует о том, что на каждый рубль собственных средств на конец 3 кв. 2009 года приходится 0,99 рубля заемных против 0,85 рублей на конец 3 кв. 2008 года, т.е. выявлена тенденция повышения зависимости предприятия от привлеченных средств.
Для ОАО «Актив Плюс» уровень коэффициента финансовой устойчивости не высок и снижается с 0,55 до 0,50, т.к. на балансе предприятия числится небольшая сумма долгосрочных заемных средств и поэтому при расчете этого показателя получается результат идентичный предыдущему.
Коэффициент маневренности собственных источников показывает, что на рубль собственного капитала приходится 47 копеек собственных оборотных средств в 2008 году, а в 2009 году значение уменьшается до 43 копеек и при этом остается приближенным к верхней границе норматива-50 копеек, что указывает на высокую степень мобильности использования собственных средств.
Достаточно высокое значение коэффициента маневренности положительно характеризует финансовое состояние предприятия, а также убеждает в том, что управляющие предприятием осуществляют достаточную гибкость в использовании собственных средств.
Коэффициент устойчивости структуры мобильных средств снижается с 38 % до 32 % на конец 3 кв. 2009 года, что свидетельствует об уменьшении текущих активов, которыми располагает предприятие после погашения текущих обязательств.
Оборачиваемость всех оборотных средств замедлилась на 83 дня в 2009 году по сравнению с 2008 годом. Это привело к замораживанию оборотных средств на 3122 тыс. рублей, что является отрицательным фактором.
На замораживание оборотных средств из оборота в результате замедления их оборачиваемости оказали влияние следующие факторы:
-изменение средних остатков оборотных средств на 2077 тыс.рублей;
-изменение выручки от реализации на 156 тыс. рублей
Структура дебиторской задолженности показывает, что её рост обусловлен увеличением долга по покупателям и заказчикам на 1497 тыс. рублей или 26 %. В результате чего произошло увеличение кредиторской задолженности, в частности, по поставщикам и подрядчикам на 1028 тыс. рублей (30%) (См. Рис. 2.4), по социальному страхованию и обеспечению на 158 тыс.рублей (14%) и перед бюджетом на 123 тыс.рублей (15 %).
Следует отметить положительные сдвиги по оплате труда на 57 тыс. рублей (31%).
Анализ собственных оборотных средств и текущих финансовых потребностей показал превышение первых над вторыми на сумму 1172 тыс.рублей. Это свободный остаток денежных средств из которого можно было бы оплатить ближайшие расходы, сформировать необходимый страховой запас наличности или же сделать краткосрочные финансовые вложения. Этот резерв денежной наличности не был использован, а следовательно не принес дохода.
Баланс является ликвидным, но не абсолютным, так как на расчетном счету отсутствуют денежные средства из-за больших долгов по налогам, сборам и взносам. Поэтому банки по распоряжению налоговой инспекции и внебюджетным фондам приостановили расчетно-платежные отношения. Вся денежная наличность идет на погашение долгов.
Для устранения недостатков финансово-хозяйственной деятельности ОАО «Актив Плюс» необходимо провести следующие мероприятия:
1) по управлению оборотным капиталом:
-укрепление финансовой и расчетно-платежной дисциплины;
-проведение претензионно-исковой работы с покупателями и заказчиками за просрочку платежей (в случае неуплаты в течение месяца заказчик должен дополнительно оплатить штраф, величина которого зависит от момента оплаты);
-принятие мер по увеличению уровня оплаты денежными средствами путем использования прибыльного портфеля заказов;
-разработка технических мероприятий, обеспечивающих возможность индивидуального воздействия на потребителя в зависимости от его платежеспособности (отказ от заказов неплатежеспособным покупателям и заказчикам);
-рассмотреть как поощрительную меру для покупателей, который регулярно оплачивает счета (снижать наценку на материалы, предоставлять скидки в случае оплаты продукции в течении 10 дней с момента ее отгрузки);
-разработка и введение дополнительного стимулирования работников путем введения договоров с гибкими условиями оплаты (премии за качество выпущенной продукции);
-разработка и реализация мероприятий, связанных с поиском дешевых источников материальных ресурсов путем установления связей с промышленными производствами;
-развитие собственного производства путем внедрения новейших технологий;
-экономия материалов в результате упрощения конструкций изделий, совершенствования техники и технологий производства, заготовки более качественных строительных материалов и уменьшение потерь во время хранения и перевозки, недопущение брака, сокращение до минимума отходов, повышение квалификации работников;
-проведение мероприятий по обеспечению бесперебойной деятельности предприятия путем улучшения материально-технического снабжения.
С целью максимизации притока денежных средств предприятию следует разрабатывать широкое разнообразие моделей договоров с гибкими условиями оплаты. Система скидок за ускорение оплаты более эффективна, чем система штрафных санкций за просроченную оплату.
2) по управлению заемным капиталом:
-уменьшение кредиторской задолженности путем реструктуризации налогов;
- продажа дебиторской задолженности компании финансовому институту, известному как фактор-компания (при реализации товара в кредит, продавец может получить незамедлительную оплату от факторингового банка с дисконтом 15-50%, в зависимости от кредитоспособности покупателя и качества товара);
-сокращения задолженности перед работниками за счет реализации продовольственных и промышленных товаров;
-использование долгосрочных займов для расширения производственной деятельности;
по управлению собственным капиталом:
-увеличение нераспределенной прибыли и резервов путем перехода на упрощенную систему учета и отчетности;
-подъем рентабельности с помощью контроля затрат, и использования дешевых материальных ресурсов.
Чтобы предприятию не утратить свой финансово-экономический статус и достигнуть более высоких результатов деятельности, руководству ОАО «Актив Плюс» необходимо постоянно изыскивать резервы увеличения прибыли.
Существуют следующие резервы роста прибыли:
- увеличение объема и цены выпускаемой продукции;
- изменение ее ассортимента;
- снижение затрат выпускаемой продукции.
Таким образом, выше перечисленные мероприятия позволят ОАО «Актив Плюс» достигнуть абсолютной финансовой устойчивости, стать устойчивым во времени и сохраниться положительным под воздействием неблагоприятных внутренних и внешних факторов.
Список использованной литературы
Законодательные акты:
Федеральный закон РФ «О несостоятельности (банкротстве) от 26.10.2002г. № 127-ФЗ// КонсультантПлюс.
Нормативные акты:
Приказ Министерства экономики РФ «Методические рекомендации по разработке финансовой политики предприятия» № 118 от 01.10.1997 г.// КонсультантПлюс
Приказ Минфина России от 22 июля 2003 года N 67н "О формах бухгалтерской отчетности организаций"// КонсультантПлюс.
Распоряжение ФУДН при Госкомимуществе РФ от 12.08.1994 N 31-р "Об утверждении методических положений по оценке финансового состояния предприятий и установлению неудовлетворительной структуры баланса"// КонсультантПлюс.
Учебники, монографии, диссертации:
Артименко, В.Г. Финансовый анализ: учебное пособие / В.Г. Артименко, М.В. Белендир. - М.: Дело и сервис, 2006, -367с.
Баканов, М.И. Теория экономического анализа: учебник / М.И. Баканов, А.И. Шеремет. - М.: ЮНИТИ - ДАНА, 2007, -352с.
Муравьева, Т.В. Экономика фирмы / Т.В. Муравьева, Н.В. Зиньковская, Н.А. Волкова, Г.Н. Лиференко – 4-е изд., ред. и доп., – М.: Academia, 2008-400с.
Глазунов, М.И. Оценка финансовой устойчивости организации на основе данных бухгалтерского баланса / М.И. Глазунов. Экономический анализ: теория и практика. - 2009.- № 21. - С. 58-65.
Донцова, Л.В. Анализ финансовой годовой отчетности / Л.В. Донцова, Н.А. Никифорова - 7-е изд.; перераб. и доп.- М.: Дело и Сервис, 2009. - 384с.
Коротков, Е.М. Антикризисное управление: учебник / Е.М. Коротков; 2-е издание доп. и перераб.; под ред. Проф. Е.М.Короткова.- М.:ИНФРА-М, 2008-620с.
Круглова, Н.Ю. Антикризисное управление: Учебное пособие / Н.Ю. Круглова. - М.: КноРус, 2009. - 512с.
Кулешов, В.В. Финансово-экономический кризис: нынешняя ситуация и условия выхода / В.В. Кулешов. ЭКО. - 2009.- № 9. - С. 3-21.
Любушин, Н.П., Комплексный экономический анализ хозяйственной деятельности: учеб пособие / Н.П. Любушин. 2-е издание- М.:ЮНИТИ-ДАНА, 2006,- 615с.
Механизм антикризисного управления в российских и зарубежных странах "Экономический анализ: теория и практика", 2008, N 4.
Орехов, В.И. Антикризисное управление: Учебное пособие / В.И. Орехов, К.В. Балдин, Т.Р. Орехова. - 2-е изд.; испр. - М.: ИНФРА-М, 2009. - 540с.
Рейтинговая оценка финансового состояния организации "Экономический анализ: теория и практика", 2008, N 6.
Савицкая, Г.В. Анализ хозяйственной деятельности предприятия: учебник / Г.В. Савицкая. третье издание -М.: ИНФРА-М, 2006, -330с.
Сосненко, Л.С. Комплексный экономический анализ хозяйственной деятельности / Л.С. Сосенко, А.Ф. Черненко. - М.: КНОРУС, 2007, -344с.
Стоянова, Е.С. Финансовый менеджмент: российская практика / Е.С. Стоянова. М.: Перспектива, 2008, -656с
Прусакова, М.Ю. Оценка финансового состояния предприятия: методики и приемы / М.Ю. Прусакова. – М.: Вершина, 2008. – 80с.: табл. – ISBN 978-5-9626-0518-0.
Савицкая, Г.В. Методика комплексного анализа хозяйственной деятельности / Г.В. Савицкая. – М.: ИНФРА-М, 2006 – 320с.: ISBN: 5-16-002174-4.
Шеремет, А.Д. Методика финансового анализа/А.Д. Шеремет, А.Д., Р.С. Сайфулин, Е.В.Негашев.– 3-е изд., перераб. и доп.– М.: ИНФРА-М, 2007.- 218 с.
Источники Internet
23. http:// www.cbr.ru.
24. http:// www.fin-izdat.ru.
Приложение А
Приложение
к приказу Министерства финансов РФ
от 22.07.03 № 67н
БУХГАЛТЕРСКИЙ БАЛАНС
н
30 сентября
а __________________2009 г.| | Коды | |||
| Форма № 1 по ОКУД | 0710001 | |||
| Дата (год, месяц, число) | 2009 | 10 | 20 | |
| О Открытое акционерное общество «Актив Плюс» рганизация _______________________________________________________ по ОКПО | ||||
| И | 5043050800 | |||
| Вид деятельности _________________________________________________по ОКВЭД | ||||
| О | ||||
| _ Частная собственность __________________________________________________по ОКОПФ / ОКФС | 16 | |||
| Единица измерения: тыс. руб./млн руб. (ненужное зачеркнуть) по ОКЕИ | 384/385 | |||
| М 142211, МО., г.Серпухов, ул.Верхние Гончары, д.15 естонахождение (адрес) | ||||
| _ | ||||
| Дата утверждения | 20.10.2009 | |||
| Дата отправки (принятия) | ||||
| Актив | Код показа-теля | На начало отчетного периода 3 кв. 2008г. | На конец отчетного периода 3 кв. 2009г. |
| 1 | 2 | 3 | 4 |
| I. ВНЕОБОРОТНЫЕ АКТИВЫ | |||
| Нематериальные активы | 110 | - | - |
| Основные средства | 120 | 3 349 | 3 771 |
| Незавершенное строительство | 130 | - | - |
| Доходные вложения в материальные ценности | 135 | - | - |
| Долгосрочные финансовые вложения | 140 | - | - |
| Отложенные налоговые активы | 145 | - | - |
| Прочие внеоборотные активы | 150 | - | - |
| ИТОГО по разделу I | 190 | 3 349 | 3 771 |
II. ОБОРОТНЫЕ АКТИВЫ | |||
| Запасы в том числе: | 210 | 2 855 | 2 427 |
| сырье, материалы и другие аналогичные ценности | 211 | 2 481 | 1 701 |
| животные на выращивании и откорме | 212 | - | - |
| затраты в незавершенном производстве | 213 | 296 | 574 |
| готовая продукция и товары для перепродажи | 214 | - | - |
| товары отгруженные | 215 | 78 | 152 |
| расходы будущих периодов | 216 | - | - |
| прочие запасы и затраты | 217 | - | - |
| Налог на добавленную стоимость по приобретенным ценностям | 220 | 369 | 246 |
| Дебиторская задолженность (платежи по которой ожидаются более чем через 12 месяцев после отчетной даты) | 230 | 2 380 | 2 379 |
| в том числе покупатели и заказчики | 231 | 2 380 | 2 379 |
| Дебиторская задолженность (платежи по которой ожидаются в течение 12 месяцев после отчетной даты) | 240 | 3 398 | 4 896 |
| в том числе: покупатели и заказчики | 241 | 3 398 | 4 896 |
| Краткосрочные финансовые вложения (56, 58, 82) | 250 | - | - |
| Денежные средства | 260 | 4 | 3 |
| Прочие оборотные активы | 270 | 306 | 244 |
| ИТОГО по разделу II | 290 | 9 312 | 10 195 |
| БАЛАНС (сумма строк 190 + 290) | 300 | 12 661 | 13 966 |
Форма 0710001 с. 2
| Пассив | Код показа-теля | На начало отчетного | На конец отчетного | |
| 1 | 2 | 3 | 4 | |
III. КАПИТАЛ И РЕЗЕРВЫ | ||||
| Уставный капитал | 410 | 2 970 | 2 970 | |
| Собственные акции, выкупленные у акционеров | 411 | () | () | |
| Добавочный капитал | 420 | 3 598 | 3 598 | |
| Резервный капитал в том числе: | 430 | 42 | 51 | |
| резервы, образованные в соответствии с законодательством | 431 | 42 | 51 | |
| резервы, образованные в соответствии с учредительными документами | 432 | - | - | |
| Нераспределенная прибыль (непокрытый убыток ) | 470 | 229 | 388 | |
ИТОГО по разделу III | 490 | 6 839 | 7 007 | |
IV. ДОЛГОСРОЧНЫЕ ОБЯЗАТЕЛЬСТВА | ||||
| Займы и кредиты | 510 | 60 | 40 | |
| Отложенные налоговые обязательства | 515 | - | - | |
| Прочие долгосрочные обязательства | 520 | - | - | |
ИТОГО по разделу IV | 590 | 60 | 40 | |
V. КРАТКОСРОЧНЫЕ ОБЯЗАТЕЛЬСТВА | ||||
| Займы и кредиты | 610 | - | - | |
| Кредиторская задолженность в том числе: | 620 | 5 762 | 6 919 | |
| поставщики и подрядчики | 621 | 3 440 | 4 468 | |
| задолженность перед персоналом организации | 622 | 183 | 126 | |
| задолженность перед государственными внебюджетными фондами | 623 | 801 | 924 | |
| задолженность по налогам и сборам | 624 | 1 139 | 1 297 | |
| прочие кредиторы | 625 | 199 | 104 | |
| Задолженность участникам (учредителям) по выплате доходов | 630 | - | - | |
| Доходы будущих периодов | 640 | - | - | |
| Резервы предстоящих расходов | 650 | - | - | |
| Прочие краткосрочные обязательства | 660 | - | - | |
ИТОГО по разделу V | 690 | 5 762 | 6 919 | |
БАЛАНС | 700 | 12 661 | 13 966 | |
| Справка о наличии ценностей, учитываемых на забалансовых счетах | ||||
| Арендованные основные средства | 910 | - | - | |
| в том числе по лизингу | 911 | - | - | |
| Товарно-материальные ценности, принятые на ответственное хранение | 920 | - | - | |
| Товары, принятые на комиссию | 930 | - | - | |
| Списанная в убыток задолженность неплатежеспособных дебиторов | 940 | - | - | |
| Обеспечение обязательств и платежей полученные | 950 | - | - | |
| Обеспечение обязательств и платежей выданные | 960 | - | - | |
| Износ жилищного фонда | 970 | - | - | |
| Износ объектов внешнего благоустройства и других аналогичных объектов | 980 | - | - | |
| Нематериальные активы, полученные в пользование | 990 | - | - | |
Руководитель __________ Фесенко А.В. Главный бухгалтер ____________ Семенова И.Н.
(подпись) (подпись)
« 20» октября 2009г.
Приложение Б
Приложение к приказу Министерства финансов РФ от 22.07.03 № 67н
в ред. приказа Министерства финансов РФ от 18.09.06 № 115н
ОТЧЕТ О ПРИБЫЛЯХ И УБЫТКАХ
з
3 квартал
а __________________2009г.
| Коды | ||||
| Ф Открытое акционерное общество «Актив Плюс» орма № 2 по ОКУДДата (год, месяц, число) Организация ______________________________________________________________по ОКПО | 0710002 | |||
| 2009 | 10 | 20 | ||
| И | 5043050800 | |||
| Организационно-правовая форма/форма собственности ________________________________ | 16 | |||
| _ Открытое акционерное общество/Частная собственность ____________________________________________________________по ОКОПФ / ОКФС | ||||
| Единица измерения: тыс. руб./млн руб. (ненужное зачеркнуть) по ОКЕИ | 384/385 | |||
| Показатель | За отчетный период | За аналогичный период предыдущего года | |
| наименование | код | ||
| 1 | 2 | 3 | 4 |
| Доходы и расходы по обычным видам деятельности | |||
| Выручка (нетто) от продажи товаров, продукции, работ, услуг (за минусом налога на добавленную стоимость, акцизов и аналогичных обязательных платежей) | 010 | (9 535) | (9 379) |
| Себестоимость проданных товаров, продукции, работ, услуг | 020 | 8 666 | 8 594 |
| Валовая прибыль | 029 | 869 | 785 |
| Коммерческие расходы | 030 | (340) | (430) |
| Управленческие расходы | 040 | (19) | (20) |
| Прибыль (убыток) от продаж | 050 | 510 | 335 |
| Прочие доходы и расходы | |||
| Проценты к получению | 060 | - | - |
| Проценты к уплате | 070 | 63 | 76 |
| Доходы от участия в других организациях | 080 | (-) | (-) |
| Прочие доходы | 090 | - | - |
| Прочие расходы | 100 | (-) | (-) |
| Прибыль (убыток) до налогообложения | 447 | 259 | |
| Отложенные налоговые активы | 141 | ||
| Отложенные налоговые обязательства | 142 | ||
| Текущий налог на прибыль | 150 | (59) | (30) |
| Чистая прибыль прибыль (убыток) отчетного периода | 388 | 229 | |
| Справочно. | |||
| Постоянные налоговые обязательства (активы) | 200 | - | - |
| Базовая прибыль (убыток) на акцию | - | - | |
| Разводненная прибыль (убыток) на акцию | - | - | |
Форма 0710002 с. 2
Расшифровка отдельных прибылей и убытков
| Показатель | За отчетный период | За аналогичный период предыдущего года | |||
| наименование | код | прибыль | убыток | прибыль | убыток |
| 1 | 2 | 3 | 4 | 5 | 6 |
| Штрафы пени и неустойки, признанные или по которым получены решения суда (арбитражного суда) об их взыскании | - | - | - | - | |
| Прибыль (убыток) прошлых лет | - | - | - | - | |
| Возмещение убытков, причиненных неисполнением или ненадлежащим исполнением обязательств | - | - | - | - | |
| Курсовые разницы по операциям в иностранной валюте | - | - | - | - | |
| Отчисления в оценочные резервы | х | х | х | х | |
| Списание дебиторских и кредиторских задолженностей, по которым истек срок исковой давности | - | - | - | - | |
| | |||||
Руководитель __________ Фесенко А.В. Главный бухгалтер ________ Семенова И.Н.
20
2009
(подпись) (подпись)20 октября 2009г.
Похожие работы
-
по предмету Оценка и анализ рисков
Министерство образования и науки Российской Федерации Федеральное агентство по образованию Государственное образовательное учреждение высшего профессионального образования
-
по Формам организации бизнеса
Министерство образования и науки Российской Федерации Федеральное агентство по образованию Государственное образовательное учреждение высшего образовательного образования
-
Оценка масштабов государственного сектора в Кыргызстане вчера, сегодня, завтра
Государственное образовательное учреждение высшего профессионального образования КЫРГЫЗСКО-РОССЙСКИЙ СЛАВЯНСКИЙ УНИВЕРСИТЕТ Экономический факультет
-
Материально-техническая база швейной промышленности
Министерство образования и науки Мурманской области Государственное областное образовательное учреждение среднего профессионального образования
-
Разработка мероприятий по повышению эффективности функционирования проектно-строительной фирмы
МИНИСТЕРСТВО ОБРАЗОВАНИЯ РОССИЙСКОЙ ФЕДЕРАЦИИ ГОСУДАРСТВЕННОЕ ОБРАЗОВАТЕЛЬНОЕ УЧРЕЖДЕНИЕ ВЫСШЕГО ПРОФЕССИОНАЛЬНОГО ОБРАЗОВАНИЯ ТЮМЕНСКИЙ ГОСУДАРСТВЕННЫЙ НЕФТЕГАЗОВЫЙ УНИВЕРСИТЕТ
-
Общий анализ финансового состояния предприятия 2
ФЕДЕРАЛЬНОЕ АГЕНТСТВО ПО ОБРАЗОВАНИЮ Государственное образовательное учреждение высшего профессионального образования "ТЮМЕНСКИЙ ГОСУДАРСТВЕННЫЙ НЕФТЕГАЗОВЫЙ УНИВЕРСИТЕТ"
-
Эконометрика 12
Министерство образования и науки Российской Федерации Федеральное агентство по образованию Государственное образовательное учреждение высшего профессионального
-
Информационная политика в России проблемы и пути развития
Министерство образования и науки Российской Федерации Федеральное агентство по образованию Государственное образовательное учреждение высшего
-
Тестовые задания по Макроэкономике
Федеральное агентство по образованию Государственное образовательное учреждение Высшего профессионального образования «Удмуртский государственный университет»
-
по Экономическому анализу 2
ОБРАЗОВАТЕЛЬНОЕ УЧРЕЖДЕНИЕ СРЕДНЕГО ПРОФЕССИОНАЛЬНОГО ОБРАЗОВАНИЯ «САНКТ-ПЕТЕРБУРГСКАЯ БАНКОВСКАЯ ШКОЛА (КОЛЛЕДЖ) ЦЕНТРАЛЬНОГО БАНКА РОССИЙСКОЙ ФЕДЕРАЦИИ»



